当期目录
2025年 第43卷 第5期
2025, 43(5): 1-2.
摘要:
2025, 43(5): 1535-1554.
doi: 10.14027/j.issn.1000-0550.2025.037
摘要:
意义 沉积学作为地球科学的重要分支,其理论体系与研究范式经历了由描述性观察向成因机制解析的系统演进。【 进展 】通过系统回顾近百年来沉积学的发展脉络,认为学科发展进程主要体现在研究尺度的变化,指出沉积学体系的不断完善得益于沉积岩石学的推进、现代沉积环境观测的积累、板块构造理论的融入、层序地层学与旋回地层学的兴起,以及深时古气候的快速发展。历史进程表明,“将今论古”的现实主义原理是沉积学研究的核心理念,人类社会对能源资源的需求是学科持续演进的根本驱动力,技术革新与新的科研数据是重构学科研究范式的关键要素。【 结论与展望 】当下,社会可持续发展面临能源供给不足、气候变化、环境污染等重大问题,作者提出“沉积圈科学”概念,倡导以沉积圈为研究对象,聚焦地球演化、气候响应机制、物质分异规律与社会可持续发展四个方向,整合多学科和大数据等手段开展交叉创新研究,以解决人类面对的资源、能源、环境、气候、灾害等多重挑战。
意义 沉积学作为地球科学的重要分支,其理论体系与研究范式经历了由描述性观察向成因机制解析的系统演进。【 进展 】通过系统回顾近百年来沉积学的发展脉络,认为学科发展进程主要体现在研究尺度的变化,指出沉积学体系的不断完善得益于沉积岩石学的推进、现代沉积环境观测的积累、板块构造理论的融入、层序地层学与旋回地层学的兴起,以及深时古气候的快速发展。历史进程表明,“将今论古”的现实主义原理是沉积学研究的核心理念,人类社会对能源资源的需求是学科持续演进的根本驱动力,技术革新与新的科研数据是重构学科研究范式的关键要素。【 结论与展望 】当下,社会可持续发展面临能源供给不足、气候变化、环境污染等重大问题,作者提出“沉积圈科学”概念,倡导以沉积圈为研究对象,聚焦地球演化、气候响应机制、物质分异规律与社会可持续发展四个方向,整合多学科和大数据等手段开展交叉创新研究,以解决人类面对的资源、能源、环境、气候、灾害等多重挑战。
2025, 43(5): 1555-1568.
doi: 10.14027/j.issn.1000-0550.2025.052
摘要:
目的 随着深层—超深层海相碳酸盐岩勘探的持续推进,传统“深层—超深层白云岩优先”的勘探认知范式已难以充分指导新阶段的勘探实践,面临新一轮的升级。 方法 以四川盆地中部二叠系为例,通过岩心观察、薄片鉴定、微区碳氧同位素及U-Pb同位素定年等多种技术手段,系统研究了超深层条件下多类型海相碳酸盐岩储层的形成机理与优势储集条件。 结果 川中地区二叠系茅口组、长兴组埋深超过5 900 m处仍发育白云岩、弱云化灰岩、灰岩等海相碳酸盐岩全岩类的优质储层,储层厚度5~50 m,孔隙度范围为2.0%~12.0%。这些储层并非孤立存在,而是在统一的构造—沉积—成岩动态系统中协同演化,形成复合型储层集群。研究提出四川盆地二叠系海相碳酸盐岩具备“全储层效应”,即在统一的构造—沉积—成岩框架下,二叠纪古裂陷、东吴古侵蚀面及多期古断裂活化联合控制孔隙形成、保持与优化,促使灰岩、弱云化岩、白云岩储层协同发育,构成海相碳酸盐岩全岩类规模成储。在这一机制下,超深层海相碳酸盐岩中不仅白云岩能够有效成储,弱云化灰岩及灰岩亦具备良好的储集潜力。 结论 “全储层效应”的勘探理念不仅对四川盆地二叠系海相碳酸盐岩勘探具有指导意义,也为深层—超深层碳酸盐岩勘探迈向“多岩类并重”的“后白云岩时代”勘探提供时代理论支撑及思路借鉴,推动深层碳酸盐岩勘探进程与发现突破。
目的 随着深层—超深层海相碳酸盐岩勘探的持续推进,传统“深层—超深层白云岩优先”的勘探认知范式已难以充分指导新阶段的勘探实践,面临新一轮的升级。 方法 以四川盆地中部二叠系为例,通过岩心观察、薄片鉴定、微区碳氧同位素及U-Pb同位素定年等多种技术手段,系统研究了超深层条件下多类型海相碳酸盐岩储层的形成机理与优势储集条件。 结果 川中地区二叠系茅口组、长兴组埋深超过5 900 m处仍发育白云岩、弱云化灰岩、灰岩等海相碳酸盐岩全岩类的优质储层,储层厚度5~50 m,孔隙度范围为2.0%~12.0%。这些储层并非孤立存在,而是在统一的构造—沉积—成岩动态系统中协同演化,形成复合型储层集群。研究提出四川盆地二叠系海相碳酸盐岩具备“全储层效应”,即在统一的构造—沉积—成岩框架下,二叠纪古裂陷、东吴古侵蚀面及多期古断裂活化联合控制孔隙形成、保持与优化,促使灰岩、弱云化岩、白云岩储层协同发育,构成海相碳酸盐岩全岩类规模成储。在这一机制下,超深层海相碳酸盐岩中不仅白云岩能够有效成储,弱云化灰岩及灰岩亦具备良好的储集潜力。 结论 “全储层效应”的勘探理念不仅对四川盆地二叠系海相碳酸盐岩勘探具有指导意义,也为深层—超深层碳酸盐岩勘探迈向“多岩类并重”的“后白云岩时代”勘探提供时代理论支撑及思路借鉴,推动深层碳酸盐岩勘探进程与发现突破。
2025, 43(5): 1569-1591.
doi: 10.14027/j.issn.1000-0550.2025.046
摘要:
意义 重建青藏高原地区海洋消亡的时限和过程对于理解高原地貌隆升、气候—环境演变及生物多样性演化具有重要意义。【 进展 】本文系统汇编了青藏高原中生代以来最年轻海相地层及其年代学资料,根据盆地形成机制,将最年轻海相盆地划分为两类:一类为大洋消失后残留的大陆边缘海盆,称为残留海,其沉积记录分布于缝合带及两侧陆缘;另一类为海侵淹没早先陆地而新形成的浅海,称为陆表海,其沉积记录位于陆块之上。青藏高原地区3个残留海由北向南依次消亡,其中金沙江残留海消亡于三叠纪末期,班公—怒江残留海消亡于侏罗纪末期—早白垩世,雅鲁藏布残留海消亡于中始新世,分别受控于青藏高原主要地体羌塘的拼贴、拉萨—羌塘碰撞、印度—亚洲碰撞事件。青藏高原6个陆表海的形成和消亡主要反映全球海平面变化,其中北羌塘陆表海、甘孜陆表海存在于中—晚侏罗世,北拉萨陆表海存在于早白垩世,阿克赛钦陆表海存在于晚白垩世,塔里木陆表海存在于晚白垩世—始新世,低喜马拉雅陆表海存在于中始新世。这些陆表海发育的时期是全球海平面高位期,而陆表海的消亡时期对应于全球海平面低位时期。【 结论与展望 】构造作用和全球海平面变化共同控制了青藏高原地区的海陆变迁,进而影响了该地区的气候—环境变化。
意义 重建青藏高原地区海洋消亡的时限和过程对于理解高原地貌隆升、气候—环境演变及生物多样性演化具有重要意义。【 进展 】本文系统汇编了青藏高原中生代以来最年轻海相地层及其年代学资料,根据盆地形成机制,将最年轻海相盆地划分为两类:一类为大洋消失后残留的大陆边缘海盆,称为残留海,其沉积记录分布于缝合带及两侧陆缘;另一类为海侵淹没早先陆地而新形成的浅海,称为陆表海,其沉积记录位于陆块之上。青藏高原地区3个残留海由北向南依次消亡,其中金沙江残留海消亡于三叠纪末期,班公—怒江残留海消亡于侏罗纪末期—早白垩世,雅鲁藏布残留海消亡于中始新世,分别受控于青藏高原主要地体羌塘的拼贴、拉萨—羌塘碰撞、印度—亚洲碰撞事件。青藏高原6个陆表海的形成和消亡主要反映全球海平面变化,其中北羌塘陆表海、甘孜陆表海存在于中—晚侏罗世,北拉萨陆表海存在于早白垩世,阿克赛钦陆表海存在于晚白垩世,塔里木陆表海存在于晚白垩世—始新世,低喜马拉雅陆表海存在于中始新世。这些陆表海发育的时期是全球海平面高位期,而陆表海的消亡时期对应于全球海平面低位时期。【 结论与展望 】构造作用和全球海平面变化共同控制了青藏高原地区的海陆变迁,进而影响了该地区的气候—环境变化。
2025, 43(5): 1592-1604.
doi: 10.14027/j.issn.1000-0550.2025.056
摘要:
意义 三角洲作为河流与受水水体(海洋或湖泊)交互作用形成的重要沉积体系,因其独特的沉积特征和资源潜力而成为沉积学的研究热点,特别是有关三角洲类型的划分及浅水三角洲定义的讨论受到极大关注。【 进展 】针对浅水三角洲定义,系统梳理了浅水三角洲的研究脉络,重点介绍了其定义的演变,基于基底沉降速率、浪基面、相构成及发育位置的多种界定视角,对浅水三角洲沉积动力学过程、形态演化与砂体构型、控制因素等进行探讨,揭示其低坡度、强水动力条件、活跃的分流河道与广泛的砂体展布等独特规律。【 结论与展望 】对比分析了现有三角洲分类方案的局限性,试图综合考虑基底沉降速率、水动力条件及沉积位置等三要素对三角洲进行综合分类,提出滨岸浅水三角洲、滨岸—陆棚深水三角洲、陆棚边缘深水三角洲和海底峡谷深水三角洲等四类型的分类系统。同时,对含煤岩系滨岸浅水三角洲的沉积模式进行讨论,阐明了上三角洲平原、下三角洲平原、三角洲前缘、前三角洲等亚相组成及三角洲平原的聚煤特征。
意义 三角洲作为河流与受水水体(海洋或湖泊)交互作用形成的重要沉积体系,因其独特的沉积特征和资源潜力而成为沉积学的研究热点,特别是有关三角洲类型的划分及浅水三角洲定义的讨论受到极大关注。【 进展 】针对浅水三角洲定义,系统梳理了浅水三角洲的研究脉络,重点介绍了其定义的演变,基于基底沉降速率、浪基面、相构成及发育位置的多种界定视角,对浅水三角洲沉积动力学过程、形态演化与砂体构型、控制因素等进行探讨,揭示其低坡度、强水动力条件、活跃的分流河道与广泛的砂体展布等独特规律。【 结论与展望 】对比分析了现有三角洲分类方案的局限性,试图综合考虑基底沉降速率、水动力条件及沉积位置等三要素对三角洲进行综合分类,提出滨岸浅水三角洲、滨岸—陆棚深水三角洲、陆棚边缘深水三角洲和海底峡谷深水三角洲等四类型的分类系统。同时,对含煤岩系滨岸浅水三角洲的沉积模式进行讨论,阐明了上三角洲平原、下三角洲平原、三角洲前缘、前三角洲等亚相组成及三角洲平原的聚煤特征。
2025, 43(5): 1605-1624.
doi: 10.14027/j.issn.1000-0550.2025.036
摘要:
目的 二叠纪为鄂尔多斯盆地北部构造—沉积转换的关键时期,精细刻画其复杂源—汇过程对于揭示多物源差异供给特征及古地理演化具有重要意义。 方法 通过露头观测、钻测井资料、碎屑锆石U-Pb定年,系统分析鄂尔多斯盆地北部物源信号与沉积充填过程,明确源—汇系统约束下的古地理格局及其对古亚洲洋闭合过程的启示。 结果 (1)碎屑锆石U-Pb定年揭示了阿拉善地块、兴蒙造山带及华北克拉通基底在二叠纪各时期均不同程度提供物源且东西差异明显:从太原期西部混源、东侧基底主导,到山西期西侧阿拉善地块与东侧基底共同增强,再到石盒子期基底供源全面增强。基于各组分的东西分布特征将盆地北物源区命名为阿拉善、阴山西段与东段。(2)二叠纪沉积体系由潮控三角洲向辫状河三角洲演化,沉积厚度与砂体展布呈现西厚东薄、北强南弱的格局。物源供给强度与沉积环境变化密切相关,山西组和石盒子组沉积期砂体横向连续性较太原组增强,反映强物源输入背景下的辫状河道发育。(3)源—汇过程分析表明,太原期以近源弱供给沉积为主;山西期物源混合增强,形成东西分异的沉积格局;石盒子期华北克拉通基底隆升显著,物源供给以远源为主,砂体厚度与展布范围达到最大。 结论 古亚洲洋俯冲/闭合的非均匀性驱动、兴蒙造山带西强东弱与华北克拉通基底东强西弱的差异性隆升,控制盆地北部物源呈现西部混源、东部克拉通基底的东西分异格局及演化,太原期至石盒子期沉积体系从海陆过渡的潮控三角洲向陆相辫状河三角洲转型。 意义 基于源—汇过程的鄂尔多斯盆地北部古地理演化模式,为明确多物源—沉积响应机制及大型克拉通盆地油气勘探提供了动态源—汇耦合模型。
目的 二叠纪为鄂尔多斯盆地北部构造—沉积转换的关键时期,精细刻画其复杂源—汇过程对于揭示多物源差异供给特征及古地理演化具有重要意义。 方法 通过露头观测、钻测井资料、碎屑锆石U-Pb定年,系统分析鄂尔多斯盆地北部物源信号与沉积充填过程,明确源—汇系统约束下的古地理格局及其对古亚洲洋闭合过程的启示。 结果 (1)碎屑锆石U-Pb定年揭示了阿拉善地块、兴蒙造山带及华北克拉通基底在二叠纪各时期均不同程度提供物源且东西差异明显:从太原期西部混源、东侧基底主导,到山西期西侧阿拉善地块与东侧基底共同增强,再到石盒子期基底供源全面增强。基于各组分的东西分布特征将盆地北物源区命名为阿拉善、阴山西段与东段。(2)二叠纪沉积体系由潮控三角洲向辫状河三角洲演化,沉积厚度与砂体展布呈现西厚东薄、北强南弱的格局。物源供给强度与沉积环境变化密切相关,山西组和石盒子组沉积期砂体横向连续性较太原组增强,反映强物源输入背景下的辫状河道发育。(3)源—汇过程分析表明,太原期以近源弱供给沉积为主;山西期物源混合增强,形成东西分异的沉积格局;石盒子期华北克拉通基底隆升显著,物源供给以远源为主,砂体厚度与展布范围达到最大。 结论 古亚洲洋俯冲/闭合的非均匀性驱动、兴蒙造山带西强东弱与华北克拉通基底东强西弱的差异性隆升,控制盆地北部物源呈现西部混源、东部克拉通基底的东西分异格局及演化,太原期至石盒子期沉积体系从海陆过渡的潮控三角洲向陆相辫状河三角洲转型。 意义 基于源—汇过程的鄂尔多斯盆地北部古地理演化模式,为明确多物源—沉积响应机制及大型克拉通盆地油气勘探提供了动态源—汇耦合模型。
2025, 43(5): 1625-1641.
doi: 10.14027/j.issn.1000-0550.2025.051
摘要:
意义 深入理解沉积物重力流搬运演化与沉积过程是有效解决相关术语争论、形成沉积物重力流标准化认识的最佳途径。【 进展 】超临界浊流与亚临界浊流的相互转化是沉积物重力流在相对沉积近端的动力学属性,其转化过程既可通过水力跳跃作用发生,也可以不依赖水力跳跃而自组织演化。重力转化和面转化约束下的流体稀释过程控制高浓度的碎屑流向低浓度的浊流转化,碎屑流和浊流差异搬运、沉降过程及泥质含量控制下的湍流抑制作用是浊流向泥质碎屑流转化的主要机制。超临界浊流侵蚀泥质基底导致流体中泥质含量的增加,促进浊流转化为泥质碎屑流形成混合事件层;过渡型重力流是混合型重力流的重要组成部分;流体效率是决定沉积物重力流搬运演化与沉积过程差异的核心要素。超临界浊流与亚临界浊流转化主要发生在相对近端水道超浓密度流和水道—朵叶转化带砾质高密度浊流沉积中;浊流向泥质碎屑流的转化主要发生在相对远端朵叶砂质高密度浊流和深水平原低密度浊流沉积中。【 结论与展望 】沉积物重力流搬运演化与沉积过程的最新认识进一步丰富了过程沉积学内涵,为合理解释重力流砂体成因及相关的争议问题提供了理论依据,更加凸显了露头沉积学研究的重要性。
意义 深入理解沉积物重力流搬运演化与沉积过程是有效解决相关术语争论、形成沉积物重力流标准化认识的最佳途径。【 进展 】超临界浊流与亚临界浊流的相互转化是沉积物重力流在相对沉积近端的动力学属性,其转化过程既可通过水力跳跃作用发生,也可以不依赖水力跳跃而自组织演化。重力转化和面转化约束下的流体稀释过程控制高浓度的碎屑流向低浓度的浊流转化,碎屑流和浊流差异搬运、沉降过程及泥质含量控制下的湍流抑制作用是浊流向泥质碎屑流转化的主要机制。超临界浊流侵蚀泥质基底导致流体中泥质含量的增加,促进浊流转化为泥质碎屑流形成混合事件层;过渡型重力流是混合型重力流的重要组成部分;流体效率是决定沉积物重力流搬运演化与沉积过程差异的核心要素。超临界浊流与亚临界浊流转化主要发生在相对近端水道超浓密度流和水道—朵叶转化带砾质高密度浊流沉积中;浊流向泥质碎屑流的转化主要发生在相对远端朵叶砂质高密度浊流和深水平原低密度浊流沉积中。【 结论与展望 】沉积物重力流搬运演化与沉积过程的最新认识进一步丰富了过程沉积学内涵,为合理解释重力流砂体成因及相关的争议问题提供了理论依据,更加凸显了露头沉积学研究的重要性。
2025, 43(5): 1642-1664.
doi: 10.14027/j.issn.1000-0550.2025.038
摘要:
目的 在占据碳酸盐台地绝大部分区域的台地内部沉积中寻找出规模化、优质储层已经引起了我国油气产业部门愈来愈多的关注,而其中的“滩”相,因其潜在的良好储层品质而成为关注的优先目标,但此种理念的科学基础有悖于台内局限、低能水动力条件和前人大量的沉积学观察结果。 方法 针对此问题,在回顾对现代不同台地类型台内水动力状况和沉积环境分异/相观察结果基础上,结合对塔里木盆地下古生界一些台地内部沉积,特别是台内颗粒岩/砾岩形成环境/相详细分析,明确了它们的潜在沉积环境/相;同时分析了古地理重建中地层穿时造成的不同时代、空间错位的台缘滩体被人为内置为“台内滩”的陷阱。 结果与结论 综合分析认为:(1)当开阔海的日常波浪触及到台缘(镶边台缘和缓坡边缘)礁—滩的正向地形时会发生摩擦、破裂,阻挡了波浪向台内的传播,造成台内的整体局限低能环境,发育滩后低能潟湖和潮坪环境,水动力状况主要受日常潮汐作用影响和极端风暴活动的扰动,缺乏发育高能滩的水动力条件,因此台内的高地会演化为潮坪岛,而非滩。(2)台内局限低能背景中发育的颗粒岩,甚至砾岩主要形成于两种潜在环境/相中:其一,在台缘滩后局限潟湖,特别是比较宽深的潟湖中,强烈风暴作用触发的风暴流(一种密度流)被搬运至潟湖较深部,形成席状—扇状灰沙颗粒沉积体(岩),其中颗粒以分选良好的球粒为主,发育丘状—洼状层理和/或粒序层理。其二,潟湖岸线后的广阔潮坪中发育的分支状的潮道(渠),因潮汐作用引起的切割侵蚀、迁移和沉积物搬运以及沉积,在潮道中形成颗粒岩甚至底砾岩;由于此类沉积物来源于堤岸两侧潮间坪(常为微生物席覆盖)的内碎屑砾和颗粒,成分与潮坪沉积相同,分选和磨圆较差、局部发育侧向进积斜层理,或双向斜层理和底部滞留砾石。因此,台内巨厚沉积序列中保存的颗粒岩,甚至砾岩可因风暴扰动形成于潟湖中,也可由潮汐作用形成于潮坪潮道中。(3)在进行古地理重建时,在低精度时间框架内,忽略地层穿时性会造成不同时间形成的垂向叠置、空间错位的台缘滩被人为内置到台内,造成“台内滩”广布的幻觉。所以,在进行台内沉积环境/相分析时,如果无视沉积相穿时性、台内水动力条件大量现代与古老碳酸盐台地相观察、研究成果及其本身沉积特征,将会掩盖事实真相,造成对沉积相的误解和误导。
目的 在占据碳酸盐台地绝大部分区域的台地内部沉积中寻找出规模化、优质储层已经引起了我国油气产业部门愈来愈多的关注,而其中的“滩”相,因其潜在的良好储层品质而成为关注的优先目标,但此种理念的科学基础有悖于台内局限、低能水动力条件和前人大量的沉积学观察结果。 方法 针对此问题,在回顾对现代不同台地类型台内水动力状况和沉积环境分异/相观察结果基础上,结合对塔里木盆地下古生界一些台地内部沉积,特别是台内颗粒岩/砾岩形成环境/相详细分析,明确了它们的潜在沉积环境/相;同时分析了古地理重建中地层穿时造成的不同时代、空间错位的台缘滩体被人为内置为“台内滩”的陷阱。 结果与结论 综合分析认为:(1)当开阔海的日常波浪触及到台缘(镶边台缘和缓坡边缘)礁—滩的正向地形时会发生摩擦、破裂,阻挡了波浪向台内的传播,造成台内的整体局限低能环境,发育滩后低能潟湖和潮坪环境,水动力状况主要受日常潮汐作用影响和极端风暴活动的扰动,缺乏发育高能滩的水动力条件,因此台内的高地会演化为潮坪岛,而非滩。(2)台内局限低能背景中发育的颗粒岩,甚至砾岩主要形成于两种潜在环境/相中:其一,在台缘滩后局限潟湖,特别是比较宽深的潟湖中,强烈风暴作用触发的风暴流(一种密度流)被搬运至潟湖较深部,形成席状—扇状灰沙颗粒沉积体(岩),其中颗粒以分选良好的球粒为主,发育丘状—洼状层理和/或粒序层理。其二,潟湖岸线后的广阔潮坪中发育的分支状的潮道(渠),因潮汐作用引起的切割侵蚀、迁移和沉积物搬运以及沉积,在潮道中形成颗粒岩甚至底砾岩;由于此类沉积物来源于堤岸两侧潮间坪(常为微生物席覆盖)的内碎屑砾和颗粒,成分与潮坪沉积相同,分选和磨圆较差、局部发育侧向进积斜层理,或双向斜层理和底部滞留砾石。因此,台内巨厚沉积序列中保存的颗粒岩,甚至砾岩可因风暴扰动形成于潟湖中,也可由潮汐作用形成于潮坪潮道中。(3)在进行古地理重建时,在低精度时间框架内,忽略地层穿时性会造成不同时间形成的垂向叠置、空间错位的台缘滩被人为内置到台内,造成“台内滩”广布的幻觉。所以,在进行台内沉积环境/相分析时,如果无视沉积相穿时性、台内水动力条件大量现代与古老碳酸盐台地相观察、研究成果及其本身沉积特征,将会掩盖事实真相,造成对沉积相的误解和误导。
2025, 43(5): 1665-1678.
doi: 10.14027/j.issn.1000-0550.2025.055
摘要:
目的 龙门山地区泥盆系甘溪组发育丰富的风暴沉积记录,是研究古风暴沉积特征的绝佳场所,但是对高频风暴沉积强弱变化规律缺乏系统研究,更未开展深时古风暴发育可能的成因机制研究。 方法 以龙门山地区北川桂溪镇甘溪村两侧的甘溪组出露良好的安乐村和鹰嘴岩一带2个野外剖面实测为基础,详细识别与描述剖面内发育的高频风暴沉积,建立反映风暴活动变化频率和强度的风暴丰度曲线,进而分析风暴活动强弱变化规律。 结果 (1)龙门山地区泥盆系甘溪组发育2类风暴沉积标志:风暴沉积构造和生物介壳富集层,前者包括风暴侵蚀构造和风暴浪构造2种类型,而后者包括风暴浪冲刷搬运型、风暴和簸扬作用型、机会种暴增型3种类型;(2)甘溪组发育5种类型的风暴沉积序列;(3)风暴丰度曲线的频谱分析表明,龙门山地区泥盆系甘溪组风暴沉积中发育100 kyr的偏心率周期。 结论 (1)100 kyr的偏心率周期是引起泥盆系甘溪组气候变化和风暴频率、风暴强度变化的主要轨道周期;(2)风暴活动受控于短偏心率100 kyr的影响,高偏心率所带来的日照量推动热带辐合带(Intertropical Convergence Zone,ITCZ)的移动,影响了季风环流和降水的改变,地处华南板块的泥盆系龙门山地区正好处在热带辐合带的路径,高偏心率时期升温所提供的热量、海水蒸发量也促进了热带气旋的形成,进而促成了风暴的高频率发生。
目的 龙门山地区泥盆系甘溪组发育丰富的风暴沉积记录,是研究古风暴沉积特征的绝佳场所,但是对高频风暴沉积强弱变化规律缺乏系统研究,更未开展深时古风暴发育可能的成因机制研究。 方法 以龙门山地区北川桂溪镇甘溪村两侧的甘溪组出露良好的安乐村和鹰嘴岩一带2个野外剖面实测为基础,详细识别与描述剖面内发育的高频风暴沉积,建立反映风暴活动变化频率和强度的风暴丰度曲线,进而分析风暴活动强弱变化规律。 结果 (1)龙门山地区泥盆系甘溪组发育2类风暴沉积标志:风暴沉积构造和生物介壳富集层,前者包括风暴侵蚀构造和风暴浪构造2种类型,而后者包括风暴浪冲刷搬运型、风暴和簸扬作用型、机会种暴增型3种类型;(2)甘溪组发育5种类型的风暴沉积序列;(3)风暴丰度曲线的频谱分析表明,龙门山地区泥盆系甘溪组风暴沉积中发育100 kyr的偏心率周期。 结论 (1)100 kyr的偏心率周期是引起泥盆系甘溪组气候变化和风暴频率、风暴强度变化的主要轨道周期;(2)风暴活动受控于短偏心率100 kyr的影响,高偏心率所带来的日照量推动热带辐合带(Intertropical Convergence Zone,ITCZ)的移动,影响了季风环流和降水的改变,地处华南板块的泥盆系龙门山地区正好处在热带辐合带的路径,高偏心率时期升温所提供的热量、海水蒸发量也促进了热带气旋的形成,进而促成了风暴的高频率发生。
2025, 43(5): 1679-1696.
doi: 10.14027/j.issn.1000-0550.2025.044
摘要:
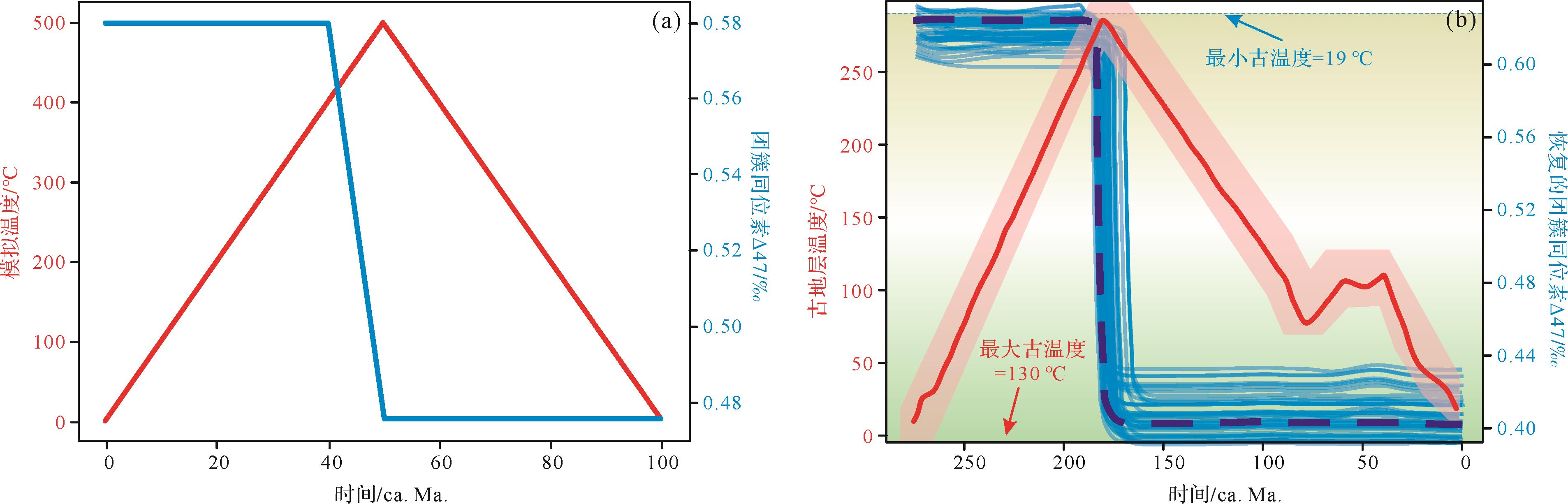
目的 孔隙流体(尤其是盐水流体)在沉积盆地内广泛存在,但其特征在埋藏过程中持续演变,这种动态演化深刻影响着深层—超深层油气储层的形成与改造,因此厘清其演化对揭示深层—超深层油气储层成因机制意义重大。 方法 以川中古隆起灯影组为研究对象,系统汇编了盐水流体活动主要产物的碳—氧—锶—团簇同位素以及U-Pb年代学数据,开展了盐水流体活动主要产物成因、流体充注期次和成储意义研究。 结果 研究区灯影组发育五类主要盐水流体活动产物:基质白云石(D1)、纤维状或泥—粉晶白云石(D2)、叶片状或细晶白云石(D3)、中—粗晶白云石(D4)、鞍状或巨晶白云石(D5),并显示出差异性的δ13C、δ18O、87Sr/86Sr、T(Δ47)和U-Pb年龄特征,分别对应五期盐水流体活动。 结论 五类白云石的演化序列表现为:D1(正常海水白云石化)→D2(早成岩期孔隙水胶结/白云石化)→D3(埋藏溶解再沉淀)→D4(热液混合沉淀)→D5(深部放射性热液充注)。早期盐水流体活动通过白云石化(与胶结作用)增强储层抗压实—压溶能力;中晚期流体活动则形成大量胶结物劣化储层储集性能,因此盐水流体活动通过两阶段差异化成岩作用影响储层演化。研究成果将为揭示深层—超深层油气储层形成机制提供支撑。
目的 孔隙流体(尤其是盐水流体)在沉积盆地内广泛存在,但其特征在埋藏过程中持续演变,这种动态演化深刻影响着深层—超深层油气储层的形成与改造,因此厘清其演化对揭示深层—超深层油气储层成因机制意义重大。 方法 以川中古隆起灯影组为研究对象,系统汇编了盐水流体活动主要产物的碳—氧—锶—团簇同位素以及U-Pb年代学数据,开展了盐水流体活动主要产物成因、流体充注期次和成储意义研究。 结果 研究区灯影组发育五类主要盐水流体活动产物:基质白云石(D1)、纤维状或泥—粉晶白云石(D2)、叶片状或细晶白云石(D3)、中—粗晶白云石(D4)、鞍状或巨晶白云石(D5),并显示出差异性的δ13C、δ18O、87Sr/86Sr、T(Δ47)和U-Pb年龄特征,分别对应五期盐水流体活动。 结论 五类白云石的演化序列表现为:D1(正常海水白云石化)→D2(早成岩期孔隙水胶结/白云石化)→D3(埋藏溶解再沉淀)→D4(热液混合沉淀)→D5(深部放射性热液充注)。早期盐水流体活动通过白云石化(与胶结作用)增强储层抗压实—压溶能力;中晚期流体活动则形成大量胶结物劣化储层储集性能,因此盐水流体活动通过两阶段差异化成岩作用影响储层演化。研究成果将为揭示深层—超深层油气储层形成机制提供支撑。
2025, 43(5): 1697-1715.
doi: 10.14027/j.issn.1000-0550.2025.034
摘要:
目的 四川盆地上三叠统须家河组蕴藏丰富的致密砂岩气资源,但多物源背景造就了须家河组砂岩复杂多样的岩石组成。该研究以四川盆地须家河组的须二段和须四段为例,探讨须家河组多物源背景下的岩石组构、储层特征及优质储层孔隙形成机制,分析差异成岩演化下的优质储层形成机理,以期为须家河组致密砂岩的油气勘探提供依据,为具有相似多物源背景的致密砂岩层系的油气勘探提供借鉴。 方法 综合运用铸体薄片、物性测试、扫描电镜、电子探针、阴极发光、X射线衍射和包裹体激光拉曼等测试分析技术,明确了研究区致密砂岩孔隙形成机制与差异成岩演化过程。 结果 (1)物源差异导致须家河组砂岩组分差异显著,进而控制成岩路径与孔隙演化。川西坳陷和川北地区等盆地边缘的近物源区发育贫长石的砂岩,形成裂缝—孔隙复合储集系统;远源混源区(如川中、川南等)形成了富长石、含长石的基质孔隙型储层。(2)高刚性碎屑颗粒与早期绿泥石包膜等因素协调抑制压实与部分胶结作用,促使深埋藏(5 000 m)砂岩原生粒间孔得以保存。(3)有机酸溶蚀、大气淡水淋滤及裂缝相关深部流体造成长石、岩浆岩和碳酸盐岩屑的溶蚀是次生孔隙主控因素,但时空分布差异特征明显。 结论 多物源背景通过控制原始岩石组构差异,叠加埋藏阶段的埋藏—抬升过程、构造裂缝发育特征、水—岩流体反应等因素的影响,使得四川盆地须家河组砂岩形成了如今差异显著的储层特征。
目的 四川盆地上三叠统须家河组蕴藏丰富的致密砂岩气资源,但多物源背景造就了须家河组砂岩复杂多样的岩石组成。该研究以四川盆地须家河组的须二段和须四段为例,探讨须家河组多物源背景下的岩石组构、储层特征及优质储层孔隙形成机制,分析差异成岩演化下的优质储层形成机理,以期为须家河组致密砂岩的油气勘探提供依据,为具有相似多物源背景的致密砂岩层系的油气勘探提供借鉴。 方法 综合运用铸体薄片、物性测试、扫描电镜、电子探针、阴极发光、X射线衍射和包裹体激光拉曼等测试分析技术,明确了研究区致密砂岩孔隙形成机制与差异成岩演化过程。 结果 (1)物源差异导致须家河组砂岩组分差异显著,进而控制成岩路径与孔隙演化。川西坳陷和川北地区等盆地边缘的近物源区发育贫长石的砂岩,形成裂缝—孔隙复合储集系统;远源混源区(如川中、川南等)形成了富长石、含长石的基质孔隙型储层。(2)高刚性碎屑颗粒与早期绿泥石包膜等因素协调抑制压实与部分胶结作用,促使深埋藏(5 000 m)砂岩原生粒间孔得以保存。(3)有机酸溶蚀、大气淡水淋滤及裂缝相关深部流体造成长石、岩浆岩和碳酸盐岩屑的溶蚀是次生孔隙主控因素,但时空分布差异特征明显。 结论 多物源背景通过控制原始岩石组构差异,叠加埋藏阶段的埋藏—抬升过程、构造裂缝发育特征、水—岩流体反应等因素的影响,使得四川盆地须家河组砂岩形成了如今差异显著的储层特征。
2025, 43(5): 1716-1727.
doi: 10.14027/j.issn.1000-0550.2025.005
摘要:
目的 以东营凹陷南坡沙四上亚段页岩层系为例,识别研究区记录的天文周期,着重分析偏心率对研究区页岩沉积的控制作用,总结偏心率对页岩岩相组合发育的影响。 方法 基于取心井段岩心精细观察描述及实验测试,依据沉积环境特征,进行岩相组合划分,以自然伽马(GR)测井曲线为替代性指标,对其进行数据预处理、频谱分析、滤波和调谐分析。 结果 纹层状碳酸盐页岩与灰质混合页岩互层组合、纹层状碳酸盐页岩夹碳酸岩相组合等类型最为发育;地球轨道周期(偏心率、斜率、岁差)控制着气候旋回,决定着页岩沉积旋回,对页岩岩相组合具有明显的调控作用,一个长偏心率对应一套岩相组合,是岩相组合的主控因素。 结论 当偏心率增大时,地球公转轨道椭率增加,季节性开始增强,夏季降水增多,有利于长英类矿物沉积,岩相组合类型主要为纹层状碳酸盐页岩与灰质混合页岩;当偏心率减少时,地球公转轨道椭率减小,季节性开始减弱,夏季降水量减少,此时页岩组分碳酸盐矿物含量升高,岩相组合类型主要为纹层状碳酸盐页岩夹灰质混合页岩相组合。研究成果为盆地内页岩油甜点精细预测与评价提供重要指导。
目的 以东营凹陷南坡沙四上亚段页岩层系为例,识别研究区记录的天文周期,着重分析偏心率对研究区页岩沉积的控制作用,总结偏心率对页岩岩相组合发育的影响。 方法 基于取心井段岩心精细观察描述及实验测试,依据沉积环境特征,进行岩相组合划分,以自然伽马(GR)测井曲线为替代性指标,对其进行数据预处理、频谱分析、滤波和调谐分析。 结果 纹层状碳酸盐页岩与灰质混合页岩互层组合、纹层状碳酸盐页岩夹碳酸岩相组合等类型最为发育;地球轨道周期(偏心率、斜率、岁差)控制着气候旋回,决定着页岩沉积旋回,对页岩岩相组合具有明显的调控作用,一个长偏心率对应一套岩相组合,是岩相组合的主控因素。 结论 当偏心率增大时,地球公转轨道椭率增加,季节性开始增强,夏季降水增多,有利于长英类矿物沉积,岩相组合类型主要为纹层状碳酸盐页岩与灰质混合页岩;当偏心率减少时,地球公转轨道椭率减小,季节性开始减弱,夏季降水量减少,此时页岩组分碳酸盐矿物含量升高,岩相组合类型主要为纹层状碳酸盐页岩夹灰质混合页岩相组合。研究成果为盆地内页岩油甜点精细预测与评价提供重要指导。
2025, 43(5): 1728-1742.
doi: 10.14027/j.issn.1000-0550.2025.014
摘要:
目的 中二叠世全球发生重大气候变化,该转变过程对四川盆地茅口组一段(以下简称茅一段)的影响尚不明确。 方法 通过剖面实测、岩心观察、薄片鉴定、主量元素、微量元素、微区碳氧同位素和团簇同位素等分析,恢复四川盆地茅一段的古温度,探讨凉水沉积特征与沉积模式。 结果 茅一段主要为灰黑色泥岩—泥质灰岩—灰岩韵律层,宏观上呈现“眼球—眼皮状”构造,沉积建造具四段式结构;岩石结构多为灰泥支撑,不含早期胶结物和内碎屑,古生物类型以双壳、介壳、苔藓虫和钙藻等异养型生物为主。利用生物壳体和全岩δ18O值、ω(Mg)/ω(Ca)比值恢复的古温度T1集中于7.07 ℃~11.84 ℃,T2集中于13.84 ℃~14.15 ℃,T3集中于8.02 ℃~12.88 ℃,团簇同位素(Δ47)模拟恢复的古温度为19 ℃,古温度随着四段式结构呈现波动上升的趋势,稀土元素δEu普遍呈负异常特征,与全球性冰期事件对应良好,δEu随古温度增大而增大,均指示凉水沉积环境。 结论 全球性的古气候变化和区域性的“两台一凹”的沉积格局联合控制了茅一段凉水沉积物在组构、古生物组合、韵律结构等方面的差异,凹陷内具有黏土矿物含量高、泥岩—泥质灰岩—灰岩韵律层发育完整、底栖有孔虫和介壳繁盛的特征。
目的 中二叠世全球发生重大气候变化,该转变过程对四川盆地茅口组一段(以下简称茅一段)的影响尚不明确。 方法 通过剖面实测、岩心观察、薄片鉴定、主量元素、微量元素、微区碳氧同位素和团簇同位素等分析,恢复四川盆地茅一段的古温度,探讨凉水沉积特征与沉积模式。 结果 茅一段主要为灰黑色泥岩—泥质灰岩—灰岩韵律层,宏观上呈现“眼球—眼皮状”构造,沉积建造具四段式结构;岩石结构多为灰泥支撑,不含早期胶结物和内碎屑,古生物类型以双壳、介壳、苔藓虫和钙藻等异养型生物为主。利用生物壳体和全岩δ18O值、ω(Mg)/ω(Ca)比值恢复的古温度T1集中于7.07 ℃~11.84 ℃,T2集中于13.84 ℃~14.15 ℃,T3集中于8.02 ℃~12.88 ℃,团簇同位素(Δ47)模拟恢复的古温度为19 ℃,古温度随着四段式结构呈现波动上升的趋势,稀土元素δEu普遍呈负异常特征,与全球性冰期事件对应良好,δEu随古温度增大而增大,均指示凉水沉积环境。 结论 全球性的古气候变化和区域性的“两台一凹”的沉积格局联合控制了茅一段凉水沉积物在组构、古生物组合、韵律结构等方面的差异,凹陷内具有黏土矿物含量高、泥岩—泥质灰岩—灰岩韵律层发育完整、底栖有孔虫和介壳繁盛的特征。
2025, 43(5): 1743-1757.
doi: 10.14027/j.issn.1000-0550.2025.026
摘要:
目的 现代陆地植物叶片碳同位素值(δ13C现代植物)的变化受大气CO2浓度和大气CO2同位素(δ13CCO2)以及陆表气温、降水量的控制,δ13C现代植物与这些参数之间已经建立了数学函数关系式,这为应用古植物叶片碳同位素(δ13C古植物)定量重建古气候参数提供了可能。然而,δ13C古植物分析资料稀少,且古植物化石在地层中间断分散出现,难以建立连续的δ13C古植物随剖面深度或时间的曲线,同时成岩埋藏过程中温度和压力的变化还可能对古植物叶片的碳同位素值产生干扰。来源于陆生木本和草本植物叶片的长链高碳数正构烷烃单体分子碳同位素(δ13C正构烷烃)记录了陆地δ13C古植物变化过程,但两者之间缺乏系统的对比研究。 方法 系统采集了柴达木盆地侏罗纪、古近纪植物化石叶片和茎秆样品14件,同步测量了古植物化石和化石围岩的正构烷烃的碳同位素。 结果 古植物化石围岩样品的长链正构烷烃单体分子nC27、nC29、nC31碳同位素平均值(δ13C nC27-nC29-nC31)比14件植物化石叶片同位素偏负约为-5.0‰,侏罗系大煤沟组与煤层互层产出的沼泽相黑色泥岩δ13C nC27-nC29-nC31较全岩有机质碳同位素δ13CTOC偏负-5.3‰,古近纪下干柴沟组与盐湖相蒸发岩共生的黑色泥岩δ13C nC27-nC29-nC31较干酪根有机质碳同位素δ13C干酪根偏负-5.1‰。 结论 鉴于全岩有机质中存在一定量的腐泥质组分,而干酪根组分中镜质体、惰质体和壳质组碳同位素存在差异,提出地质历史时期古植物叶片的碳同位素可按下式简化计算获得,即δ13C古植物=δ13C nC27-nC29-nC31+5.0‰。
目的 现代陆地植物叶片碳同位素值(δ13C现代植物)的变化受大气CO2浓度和大气CO2同位素(δ13CCO2)以及陆表气温、降水量的控制,δ13C现代植物与这些参数之间已经建立了数学函数关系式,这为应用古植物叶片碳同位素(δ13C古植物)定量重建古气候参数提供了可能。然而,δ13C古植物分析资料稀少,且古植物化石在地层中间断分散出现,难以建立连续的δ13C古植物随剖面深度或时间的曲线,同时成岩埋藏过程中温度和压力的变化还可能对古植物叶片的碳同位素值产生干扰。来源于陆生木本和草本植物叶片的长链高碳数正构烷烃单体分子碳同位素(δ13C正构烷烃)记录了陆地δ13C古植物变化过程,但两者之间缺乏系统的对比研究。 方法 系统采集了柴达木盆地侏罗纪、古近纪植物化石叶片和茎秆样品14件,同步测量了古植物化石和化石围岩的正构烷烃的碳同位素。 结果 古植物化石围岩样品的长链正构烷烃单体分子nC27、nC29、nC31碳同位素平均值(δ13C nC27-nC29-nC31)比14件植物化石叶片同位素偏负约为-5.0‰,侏罗系大煤沟组与煤层互层产出的沼泽相黑色泥岩δ13C nC27-nC29-nC31较全岩有机质碳同位素δ13CTOC偏负-5.3‰,古近纪下干柴沟组与盐湖相蒸发岩共生的黑色泥岩δ13C nC27-nC29-nC31较干酪根有机质碳同位素δ13C干酪根偏负-5.1‰。 结论 鉴于全岩有机质中存在一定量的腐泥质组分,而干酪根组分中镜质体、惰质体和壳质组碳同位素存在差异,提出地质历史时期古植物叶片的碳同位素可按下式简化计算获得,即δ13C古植物=δ13C nC27-nC29-nC31+5.0‰。
2025, 43(5): 1758-1779.
doi: 10.14027/j.issn.1000-0550.2025.029
摘要:
意义 盐度是海水的核心物理参数之一。海水盐度的变化会导致海水密度、溶解氧含量、饱和蒸汽压、渗透压等参数发生相应改变,进而对生态系统多样性、海洋环流等产生深远影响,因此古盐度重建具有重要的地质环境和生命演化意义。【 进展 】从盐度定义及表示方法的发展历程入手,介绍了盐度的地质环境—生命演化意义,重点综述了当前不同盐度指标的建立过程,并评价了不同盐度指标的适用性。【 结论与展望 】当前的古盐度指标大多是间接指标,受除盐度以外很多其他参数(比如生长速率、温度、光照强度、物种差异)的影响;此外判断盐度环境的经验阈值存在地区差异性,并且其准确性受统计数据量的影响。因此,本研究认为当前的古盐度指标虽然有助于定性判断地质样品的沉积环境,但是难以定量地给出具体盐度值。同时,提出无机碳酸盐岩结合态Na、Cl有潜力作为盐度的直接指标,并用于古盐度定量重建,从而促进我们对沉积环境的判断以及古海水盐度演化的理解。
意义 盐度是海水的核心物理参数之一。海水盐度的变化会导致海水密度、溶解氧含量、饱和蒸汽压、渗透压等参数发生相应改变,进而对生态系统多样性、海洋环流等产生深远影响,因此古盐度重建具有重要的地质环境和生命演化意义。【 进展 】从盐度定义及表示方法的发展历程入手,介绍了盐度的地质环境—生命演化意义,重点综述了当前不同盐度指标的建立过程,并评价了不同盐度指标的适用性。【 结论与展望 】当前的古盐度指标大多是间接指标,受除盐度以外很多其他参数(比如生长速率、温度、光照强度、物种差异)的影响;此外判断盐度环境的经验阈值存在地区差异性,并且其准确性受统计数据量的影响。因此,本研究认为当前的古盐度指标虽然有助于定性判断地质样品的沉积环境,但是难以定量地给出具体盐度值。同时,提出无机碳酸盐岩结合态Na、Cl有潜力作为盐度的直接指标,并用于古盐度定量重建,从而促进我们对沉积环境的判断以及古海水盐度演化的理解。
2025, 43(5): 1780-1795.
doi: 10.14027/j.issn.1000-0550.2025.045
摘要:
目的 成都平原是中华文明的重要发源地之一,深入重建该地区中—晚全新世环境演变历史,对理解长江上游史前文明发展的环境背景及探讨全球气候变化与人类社会可持续发展的关系具有重要意义。目前学界对成都平原中—晚全新世气候演变特征及其是否响应“4.2 ka”气候突变事件仍存在争议。 方法 基于RS-1岩心的AMS 14C测年构建年代框架,采用粒度端元模型分析,结合磁化率和色度指标,重建成都平原中—晚全新世的沉积环境演变过程。 结果 粒度数据分解出5个端元组分,分别反映不同水动力条件下的沉积特征,其中EM1代表弱水动力条件下由河流远源悬浮物形成的稳定沉积;EM2和EM3反映较强水动力条件下沉积的组分,EM3对应更强的搬运动力;EM4和EM5则代表洪水期间的粗颗粒跃移沉积组分。 结论 成都平原中—晚全新世的环境演变可划分为四个阶段:4.7~4.4 cal ka B.P.期间气候湿润,干湿波动显著;4.4~4.2 cal ka B.P.气候出现轻微冷干化趋势;4.2~3.7 cal ka B.P.为气候极端不稳定期,洪水事件频发;3.7 cal ka B.P.以后气候逐渐干旱,这种“干—湿—干”的气候变化模式反映了该区域对“4.2 ka事件”的显著响应,区域水文气候的响应大约始于4.4 cal ka B.P.,并持续至约3.7 cal ka B.P.。
目的 成都平原是中华文明的重要发源地之一,深入重建该地区中—晚全新世环境演变历史,对理解长江上游史前文明发展的环境背景及探讨全球气候变化与人类社会可持续发展的关系具有重要意义。目前学界对成都平原中—晚全新世气候演变特征及其是否响应“4.2 ka”气候突变事件仍存在争议。 方法 基于RS-1岩心的AMS 14C测年构建年代框架,采用粒度端元模型分析,结合磁化率和色度指标,重建成都平原中—晚全新世的沉积环境演变过程。 结果 粒度数据分解出5个端元组分,分别反映不同水动力条件下的沉积特征,其中EM1代表弱水动力条件下由河流远源悬浮物形成的稳定沉积;EM2和EM3反映较强水动力条件下沉积的组分,EM3对应更强的搬运动力;EM4和EM5则代表洪水期间的粗颗粒跃移沉积组分。 结论 成都平原中—晚全新世的环境演变可划分为四个阶段:4.7~4.4 cal ka B.P.期间气候湿润,干湿波动显著;4.4~4.2 cal ka B.P.气候出现轻微冷干化趋势;4.2~3.7 cal ka B.P.为气候极端不稳定期,洪水事件频发;3.7 cal ka B.P.以后气候逐渐干旱,这种“干—湿—干”的气候变化模式反映了该区域对“4.2 ka事件”的显著响应,区域水文气候的响应大约始于4.4 cal ka B.P.,并持续至约3.7 cal ka B.P.。
2025, 43(5): 1796-1813.
doi: 10.14027/j.issn.1000-0550.2025.048
摘要:
目的 寒武纪早期是地史时期重要的地质和生物突变时期,不仅在于多门类的带骨骼的后生动物同时出现,而且此时期形成了重要的金属矿产。华南广泛分布的牛蹄塘组就是该时期重要的地层。研究该层位的元素地球化学特征,不仅能反映该时期的沉积成矿环境,且对揭示早期生命演化与环境之间的协同关系具有重要科学意义。 方法 通过对贵州瓮安山屯剖面的岩石学、矿物学和地球化学特征的分析,探讨牛蹄塘组的沉积环境。 结果 贵州瓮安磷矿区的牛蹄塘组可明显划分为上磷矿段和黑色页岩段,多金属层位于二者岩性过渡部位,而牛蹄塘组生物群则主要赋存于多金属层上部及上覆黑色页岩段的底部。上磷矿段底部常见形态不规则的白云岩砾屑,上覆的磷块岩及多金属矿石发育砂砾屑结构,海绿石多呈不规则形态,表明该时期古海洋局部水体具有较强的水动力。多金属层及紧覆其上黑色页岩中发育重晶石透镜体和黄铁矿纹层,矿石中常见黄铁矿、黄铜矿和硫镍矿等矿物共生组合,与现代洋底热液黑烟囱的矿物特征基本一致,代表了海底热液沉积的特征。牛蹄塘组元素地球化学指标(V/Cr、Ni/Co、U/Th和Sr/Ba)显示其沉积环境整体处于缺氧条件,与岩相特征一致。但上磷矿段上部、多金属层及紧覆其上的黑色页岩段底部出现了一系列异常:Sr/Ba比值(Sr/Ba1)降至最低,而V/Cr、Ni/Co、U/Th比值(U/Th1)以及P与多种微量元素的含量均达峰值。该层位部分样品呈现明显Ce负异常及轻稀土微富集特征,黑色页岩段中部还出现Eu正异常,反映了热液流体与正常海水混合的沉积环境。多金属层代表了一次古海洋热液上涌事件,该事件可分为三个阶段,其中第二阶段热液贡献最为显著,与古生物记录高度吻合。 结论 元素地球化学特征进一步证明该时期存在海底热液活动。基于此,综合沉积地质背景重建了瓮安磷矿区牛蹄塘组生物群出现前后的古环境演变模式。
目的 寒武纪早期是地史时期重要的地质和生物突变时期,不仅在于多门类的带骨骼的后生动物同时出现,而且此时期形成了重要的金属矿产。华南广泛分布的牛蹄塘组就是该时期重要的地层。研究该层位的元素地球化学特征,不仅能反映该时期的沉积成矿环境,且对揭示早期生命演化与环境之间的协同关系具有重要科学意义。 方法 通过对贵州瓮安山屯剖面的岩石学、矿物学和地球化学特征的分析,探讨牛蹄塘组的沉积环境。 结果 贵州瓮安磷矿区的牛蹄塘组可明显划分为上磷矿段和黑色页岩段,多金属层位于二者岩性过渡部位,而牛蹄塘组生物群则主要赋存于多金属层上部及上覆黑色页岩段的底部。上磷矿段底部常见形态不规则的白云岩砾屑,上覆的磷块岩及多金属矿石发育砂砾屑结构,海绿石多呈不规则形态,表明该时期古海洋局部水体具有较强的水动力。多金属层及紧覆其上黑色页岩中发育重晶石透镜体和黄铁矿纹层,矿石中常见黄铁矿、黄铜矿和硫镍矿等矿物共生组合,与现代洋底热液黑烟囱的矿物特征基本一致,代表了海底热液沉积的特征。牛蹄塘组元素地球化学指标(V/Cr、Ni/Co、U/Th和Sr/Ba)显示其沉积环境整体处于缺氧条件,与岩相特征一致。但上磷矿段上部、多金属层及紧覆其上的黑色页岩段底部出现了一系列异常:Sr/Ba比值(Sr/Ba1)降至最低,而V/Cr、Ni/Co、U/Th比值(U/Th1)以及P与多种微量元素的含量均达峰值。该层位部分样品呈现明显Ce负异常及轻稀土微富集特征,黑色页岩段中部还出现Eu正异常,反映了热液流体与正常海水混合的沉积环境。多金属层代表了一次古海洋热液上涌事件,该事件可分为三个阶段,其中第二阶段热液贡献最为显著,与古生物记录高度吻合。 结论 元素地球化学特征进一步证明该时期存在海底热液活动。基于此,综合沉积地质背景重建了瓮安磷矿区牛蹄塘组生物群出现前后的古环境演变模式。
2025, 43(5): 1814-1856.
doi: 10.14027/j.issn.1000-0550.2025.032
摘要:
意义 困扰几代地质学家的“白云岩问题”历久弥新,其成因机制不仅涉及沉积、成岩理论突破,更对碳酸盐岩油气储层预测具有重要指导意义。【 进展 】传统岩石学—地球化学研究手段在白云岩成因研究中具有重要作用:(1)X射线衍射、阴极发光和扫描电镜的矿物表征技术,可有效获取白云石晶体结构、有序度及微区形貌特征;(2)红外光谱与拉曼光谱通过分子振动模式识别,实现白云石与方解石、高镁方解石的高精度鉴别,并检测矿物离子的微观结合形式;(3)主微量元素及稀土元素分析能够有效揭示成岩物质的来源特征,为判别成岩流体的物理化学性质提供关键地球化学证据;(4)碳氧同位素耦合分析可示踪流体混合过程并重建成岩古温度,锶同位素体系约束流体来源及演化路径;(5)热力学模型计算与沉积—成岩实验及数值模拟方法,为破解动力学障碍、反演白云石形成过程提供了多尺度研究方法。然而,传统技术手段难以精准解译白云岩形成过程的关键参数。近年来,新兴技术为白云岩成因研究提供了新视角,推动研究向微观、定量、动态过程解析转变:微区及原位分析技术(如激光剥蚀电感耦合等离子体质谱(LA-ICP-MS)、电子探针分析(EPMA))通过亚微米级空间分辨率(10 μm)突破了全岩分析的局限,实现了多期白云石化过程的精细刻画;镁同位素数值模拟定量约束白云岩形成过程的关键参数及镁离子来源;碳酸盐团簇同位素(δ47)与U-Pb定年技术的发展,为白云石形成过程的温度和时间提供定量约束。【 结论与展望 】未来白云岩成因研究中需持续关注:晶体微观结构定量分析技术、同位素示踪联用技术、原位、微区元素分析技术、大数据融合分析技术,构建涵盖矿物结构解析—元素地球化学示踪—同位素年代学标定的成因研究方法体系,通过多尺度技术协同、多源数据融合与智能模型驱动,共同推动白云岩成因研究范式的革新与理论突破。
意义 困扰几代地质学家的“白云岩问题”历久弥新,其成因机制不仅涉及沉积、成岩理论突破,更对碳酸盐岩油气储层预测具有重要指导意义。【 进展 】传统岩石学—地球化学研究手段在白云岩成因研究中具有重要作用:(1)X射线衍射、阴极发光和扫描电镜的矿物表征技术,可有效获取白云石晶体结构、有序度及微区形貌特征;(2)红外光谱与拉曼光谱通过分子振动模式识别,实现白云石与方解石、高镁方解石的高精度鉴别,并检测矿物离子的微观结合形式;(3)主微量元素及稀土元素分析能够有效揭示成岩物质的来源特征,为判别成岩流体的物理化学性质提供关键地球化学证据;(4)碳氧同位素耦合分析可示踪流体混合过程并重建成岩古温度,锶同位素体系约束流体来源及演化路径;(5)热力学模型计算与沉积—成岩实验及数值模拟方法,为破解动力学障碍、反演白云石形成过程提供了多尺度研究方法。然而,传统技术手段难以精准解译白云岩形成过程的关键参数。近年来,新兴技术为白云岩成因研究提供了新视角,推动研究向微观、定量、动态过程解析转变:微区及原位分析技术(如激光剥蚀电感耦合等离子体质谱(LA-ICP-MS)、电子探针分析(EPMA))通过亚微米级空间分辨率(10 μm)突破了全岩分析的局限,实现了多期白云石化过程的精细刻画;镁同位素数值模拟定量约束白云岩形成过程的关键参数及镁离子来源;碳酸盐团簇同位素(δ47)与U-Pb定年技术的发展,为白云石形成过程的温度和时间提供定量约束。【 结论与展望 】未来白云岩成因研究中需持续关注:晶体微观结构定量分析技术、同位素示踪联用技术、原位、微区元素分析技术、大数据融合分析技术,构建涵盖矿物结构解析—元素地球化学示踪—同位素年代学标定的成因研究方法体系,通过多尺度技术协同、多源数据融合与智能模型驱动,共同推动白云岩成因研究范式的革新与理论突破。
2025, 43(5): 1857-1873.
doi: 10.14027/j.issn.1000-0550.2024.131
摘要:
意义 碎屑—碳酸盐组分的混合沉积研究能指示古气候、古环境、物源供给、海/湖平面升降,更因与矿产、油气资源息息相关而越来越受到重视。【 进展 】混合沉积主要可分为成分混合(狭义)与结构混合(广义)。混积岩作为混合沉积产物,以往的分类方案主要有四分法、三分法、两分法,但受限于黏土组分是否应参与混积岩的划分一直存在争议。本研究提供一种混积岩分类新方案,尝试解决组分参与划分问题,可为混合沉积研究提供一种新的思路。 结论 在以碎屑组分与碳酸盐组分两端元划分的基础上,通过颗粒的定量统计,并以此判断沉积期的水动力条件。与传统分类方案相比,既保留了碳酸盐组分、碎屑颗粒、灰泥、黏土四个端元,又兼顾了视觉呈现效果与便捷操作可行性。此外,重新厘定混合沉积作用,具体划分为:间断(事件)混合、相混合、原地(生物)混合与沉淀混合四种类型。并将溯源混合、成岩混合、岩溶混合、裂缝混合等不能反映原始沉积环境的四种作用归为假混合作用。 展望 碳酸盐岩与碎屑岩作为沉积学的两大分支,一直被作为独立的学科体系进行研究。对混合沉积的研究还有望帮助理解碳酸盐—碎屑组分之间的矿物来源、相互作用方式与沉积过程,完善碎屑岩与碳酸盐岩学科体系。
意义 碎屑—碳酸盐组分的混合沉积研究能指示古气候、古环境、物源供给、海/湖平面升降,更因与矿产、油气资源息息相关而越来越受到重视。【 进展 】混合沉积主要可分为成分混合(狭义)与结构混合(广义)。混积岩作为混合沉积产物,以往的分类方案主要有四分法、三分法、两分法,但受限于黏土组分是否应参与混积岩的划分一直存在争议。本研究提供一种混积岩分类新方案,尝试解决组分参与划分问题,可为混合沉积研究提供一种新的思路。 结论 在以碎屑组分与碳酸盐组分两端元划分的基础上,通过颗粒的定量统计,并以此判断沉积期的水动力条件。与传统分类方案相比,既保留了碳酸盐组分、碎屑颗粒、灰泥、黏土四个端元,又兼顾了视觉呈现效果与便捷操作可行性。此外,重新厘定混合沉积作用,具体划分为:间断(事件)混合、相混合、原地(生物)混合与沉淀混合四种类型。并将溯源混合、成岩混合、岩溶混合、裂缝混合等不能反映原始沉积环境的四种作用归为假混合作用。 展望 碳酸盐岩与碎屑岩作为沉积学的两大分支,一直被作为独立的学科体系进行研究。对混合沉积的研究还有望帮助理解碳酸盐—碎屑组分之间的矿物来源、相互作用方式与沉积过程,完善碎屑岩与碳酸盐岩学科体系。
2025, 43(5): 1874-1896.
doi: 10.14027/j.issn.1000-0550.2025.054
摘要:
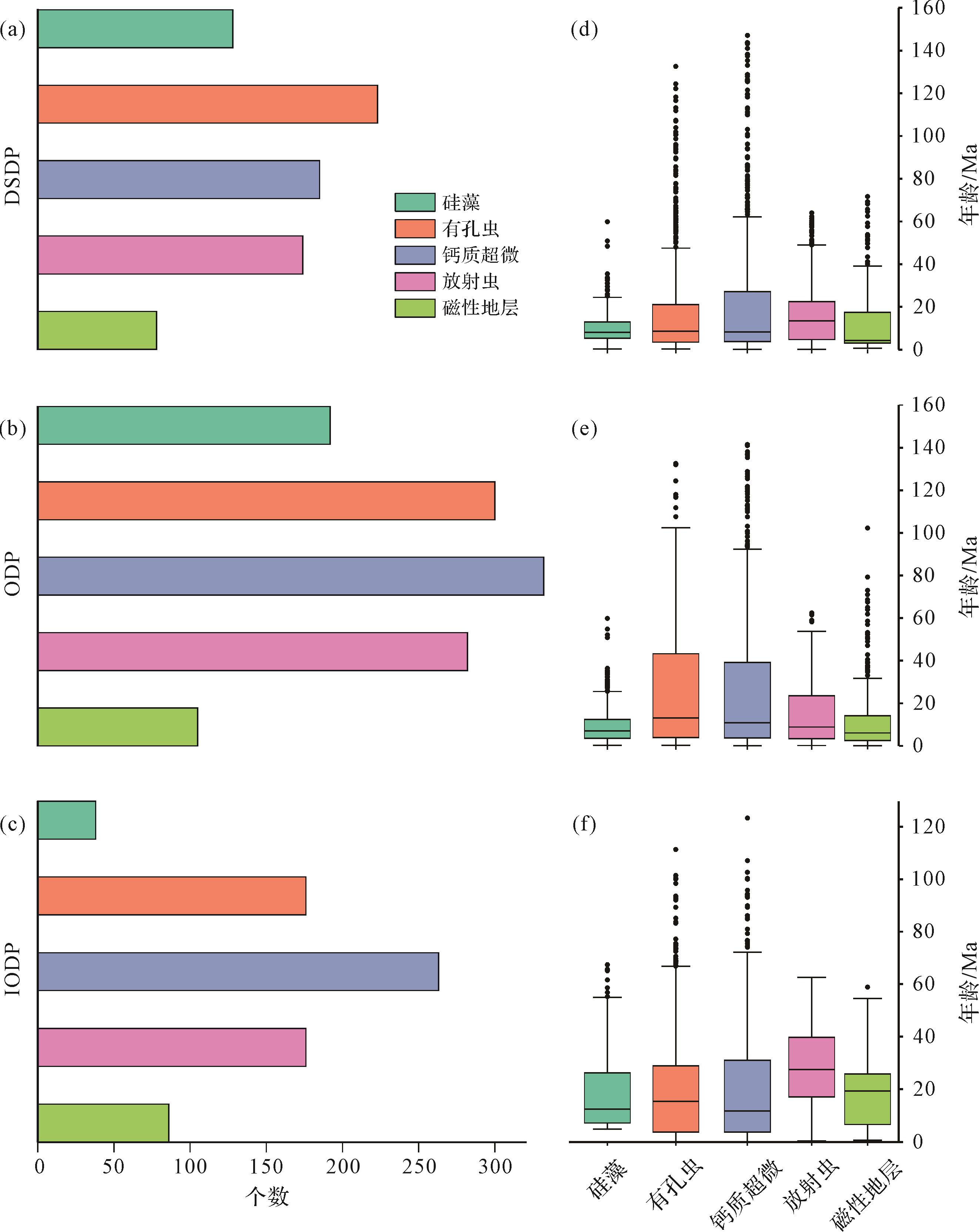
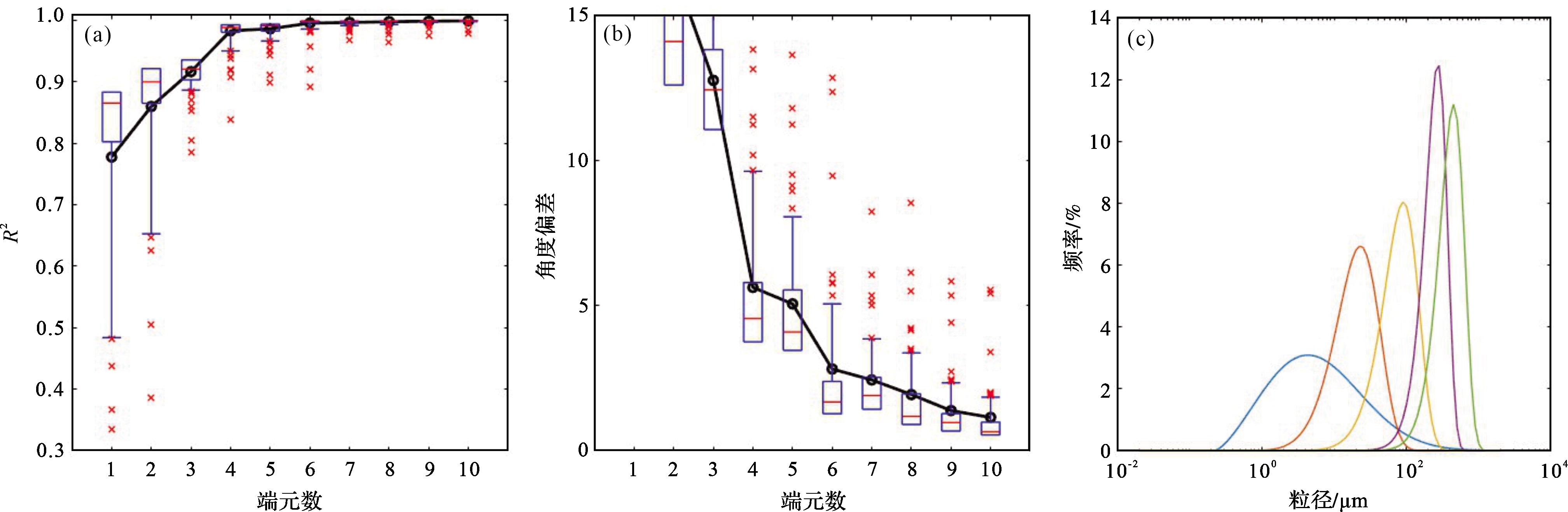
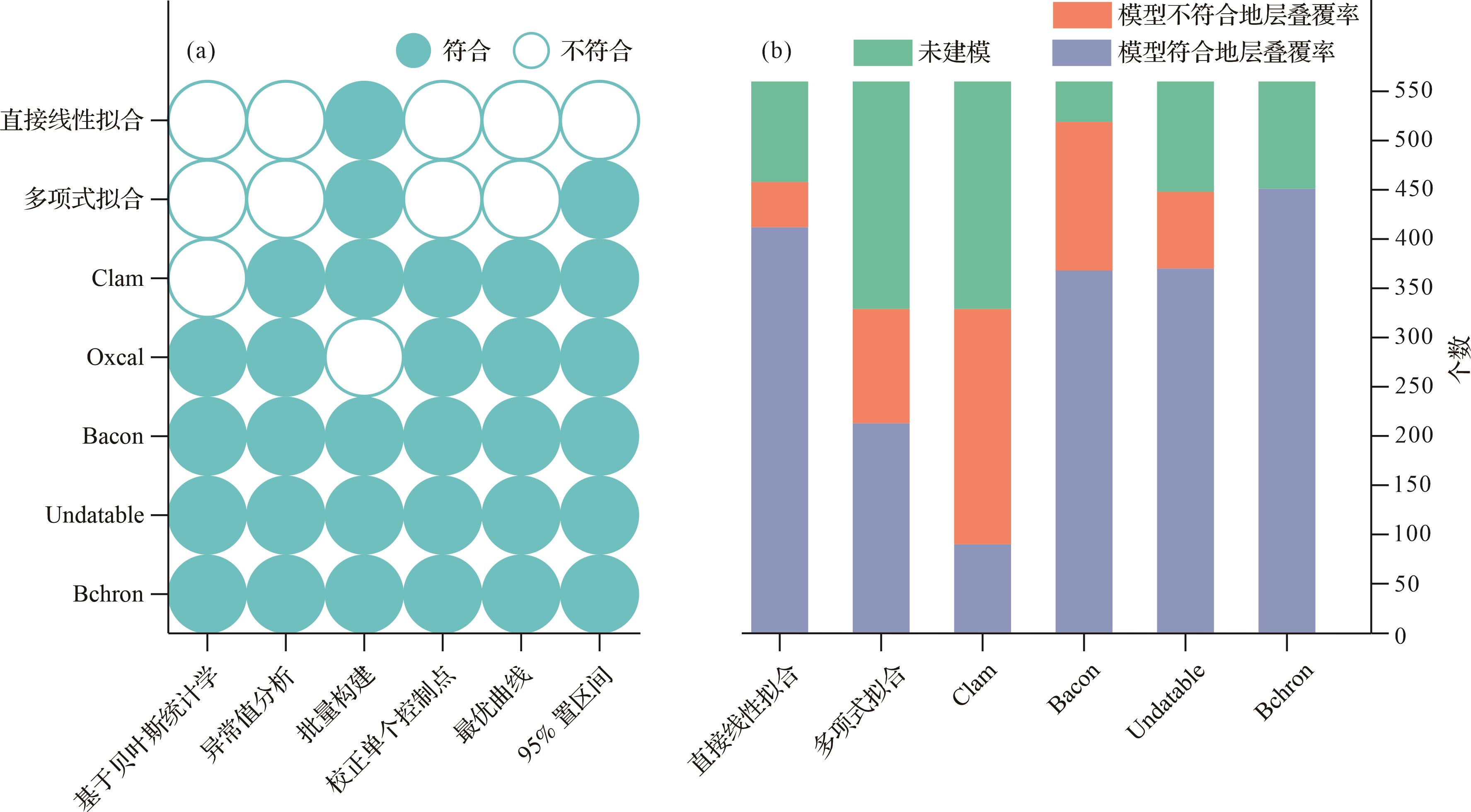
目的 年龄—深度模型在地质历史重建、地层对比与古气候研究中具有核心作用,但针对不同地质背景选择最优模型仍存在不确定性。为提升全球尺度沉积历史时间框架的精度,并解决多源异构数据整合的难题,通过整合全球大洋钻探计划自1968年以来获取的年代学数据,对560个岩心数据的年龄信息进行标准化处理,以增强跨地区与跨数据库的可比性。 方法 基于标准化数据,分别采用线性拟合、多项式拟合、Clam、Bacon、Undatable和Bchron等6种方法构建年龄—深度关系模型,并建立多维评估体系,利用地层叠覆率分析与均方根误差(RMSE)等指标,对各模型在精度、稳定性以及沉积速率变化和异常数据处理能力等方面进行系统比较。 结果 非贝叶斯模型(线性拟合、多项式拟合、Clam)在沉积速率均匀条件下表现较好,但在应对沉积间断与异常值方面存在不足;贝叶斯模型(Bacon、Bchron、Undatable)能够有效剔除异常值并精确模拟沉积速率变化,其中Bchron在精确度、稳定性及对大洋钻探数据的适应性方面综合表现最佳。 结论 全球大洋钻探数据的标准化整合不仅能显著提升年龄—深度模型的可比性与精度,还为未来模型参数优化、测年精度提升及其在全球地层对比与古地理重建中的应用奠定了坚实的方法基础。
目的 年龄—深度模型在地质历史重建、地层对比与古气候研究中具有核心作用,但针对不同地质背景选择最优模型仍存在不确定性。为提升全球尺度沉积历史时间框架的精度,并解决多源异构数据整合的难题,通过整合全球大洋钻探计划自1968年以来获取的年代学数据,对560个岩心数据的年龄信息进行标准化处理,以增强跨地区与跨数据库的可比性。 方法 基于标准化数据,分别采用线性拟合、多项式拟合、Clam、Bacon、Undatable和Bchron等6种方法构建年龄—深度关系模型,并建立多维评估体系,利用地层叠覆率分析与均方根误差(RMSE)等指标,对各模型在精度、稳定性以及沉积速率变化和异常数据处理能力等方面进行系统比较。 结果 非贝叶斯模型(线性拟合、多项式拟合、Clam)在沉积速率均匀条件下表现较好,但在应对沉积间断与异常值方面存在不足;贝叶斯模型(Bacon、Bchron、Undatable)能够有效剔除异常值并精确模拟沉积速率变化,其中Bchron在精确度、稳定性及对大洋钻探数据的适应性方面综合表现最佳。 结论 全球大洋钻探数据的标准化整合不仅能显著提升年龄—深度模型的可比性与精度,还为未来模型参数优化、测年精度提升及其在全球地层对比与古地理重建中的应用奠定了坚实的方法基础。