当期目录
2026年 第44卷 第2期
2026, 44(2): 405-414.
doi: 10.14027/j.issn.1000-0550.2024.051
摘要:
目的 高分辨率气候重建对于探讨区域气候环境演变与高质量发展具有重要意义,辽东半岛沉积环境多样且复杂,不同时期小区域沉积物的类型及层序特征研究较为缺乏,该文旨在进一步研究辽东半岛多样的沉积环境并揭示其古气候环境演化过程。 方法 通过对大连西海岸低地老渔窝(LYW)剖面进行AMS14C测年、岩性及地球化学元素分析,揭示其沉积环境和气候演变过程。 结果 该套沉积以粉砂、砂及碎石为主,记录了末次冰盛期末期到全新世中期(18 815~6 802 cal. a B.P.)的沉积环境与气候演变信息。剖面中的主要化学成分是SiO2、Al2O3、K2O及Fe2O3(占比90.34%);元素含量从大到小依次为SiO2>Al2O3>K2O>Fe2O3>Na2O>CaO>TiO2>MgO>P2O5>MnO。研究区经历了干冷的冲积环境(18.8 cal. ka B.P. ~末次冰盛期末期)—稍暖湿的滨海潮间带环境(18.8~16.0 cal. ka B.P.)—暖湿的滨海潮下带环境(16.0~11.7 cal. ka B.P.)—最暖湿的滨海盐沼环境(11.7~6.8 cal. ka B.P.)和干冷的陆相流水环境(6.8~0 cal. ka B.P.)。该套沉积响应了新仙女木事件和8.0~9.0 cal. ka B.P.期间的短期快速气候事件并指示6.8 cal. ka B.P.前后研究区处于最高海平面。 结论 研究为辽东半岛末次冰盛期末期后的气候重建工作,尤其是大连西海岸沉积环境演变历史提供基础资料和信息。
目的 高分辨率气候重建对于探讨区域气候环境演变与高质量发展具有重要意义,辽东半岛沉积环境多样且复杂,不同时期小区域沉积物的类型及层序特征研究较为缺乏,该文旨在进一步研究辽东半岛多样的沉积环境并揭示其古气候环境演化过程。 方法 通过对大连西海岸低地老渔窝(LYW)剖面进行AMS14C测年、岩性及地球化学元素分析,揭示其沉积环境和气候演变过程。 结果 该套沉积以粉砂、砂及碎石为主,记录了末次冰盛期末期到全新世中期(18 815~6 802 cal. a B.P.)的沉积环境与气候演变信息。剖面中的主要化学成分是SiO2、Al2O3、K2O及Fe2O3(占比90.34%);元素含量从大到小依次为SiO2>Al2O3>K2O>Fe2O3>Na2O>CaO>TiO2>MgO>P2O5>MnO。研究区经历了干冷的冲积环境(18.8 cal. ka B.P. ~末次冰盛期末期)—稍暖湿的滨海潮间带环境(18.8~16.0 cal. ka B.P.)—暖湿的滨海潮下带环境(16.0~11.7 cal. ka B.P.)—最暖湿的滨海盐沼环境(11.7~6.8 cal. ka B.P.)和干冷的陆相流水环境(6.8~0 cal. ka B.P.)。该套沉积响应了新仙女木事件和8.0~9.0 cal. ka B.P.期间的短期快速气候事件并指示6.8 cal. ka B.P.前后研究区处于最高海平面。 结论 研究为辽东半岛末次冰盛期末期后的气候重建工作,尤其是大连西海岸沉积环境演变历史提供基础资料和信息。
2026, 44(2): 415-424.
doi: 10.14027/j.issn.1000-0550.2024.058
摘要:
目的 新疆天山地处亚欧大陆内部,位于多个大气环流系统过渡地带,对气候变化响应敏感。学术界目前对其全新世环境演化的认识尚未统一,补充更多敏感区域高分辨率气候记录是明确该问题的基础。 方法 以中天山山间盆地那拉提剖面为研究材料,基于AMS14C年代测试结果,以孢粉为古气候代用指标,重建了研究区中晚全新世以来的植被与气候变化过程。 结果 6 369~3 601 cal a B.P.期间蒿属(Artemisia)、藜属(Chenopodium)含量高,花粉PCA 1得分偏正,气候出现干湿波动,以干为主,存在气候突变现象。3 601~2 512 cal a B.P.期间云杉属(picea)含量升高,花粉PCA 2得分偏正,气候冷湿。2 512~1 016 cal a B.P.期间桦木属(Betula)含量增加,花粉PCA 1得分偏正,气候暖干。发生在4 766~3 601 cal a B.P.期间以冷干为特征的气候突变与“4.2 ka B.P.”气候事件有良好响应,可能是太阳辐射减弱,中高纬寒冷加剧、北大西洋海温降低使西风环流减弱导致。 结论 划分出的3个花粉带指示中天山山间盆地中晚全新世气候经历了干湿波动(偏干)—冷湿—暖干3个阶段。中晚全新世以来研究区接收夏季太阳辐射减少,北大西洋海面蒸发弱,西风环流携带水汽少,气候干旱。晚全新世早期持续的寒冷气候迫使西风环流南移,叠加北大西洋涛动负相位输送大量水汽,气候冷湿。晚期冬季太阳辐射增强,陆地蒸发加大,气候暖干。
目的 新疆天山地处亚欧大陆内部,位于多个大气环流系统过渡地带,对气候变化响应敏感。学术界目前对其全新世环境演化的认识尚未统一,补充更多敏感区域高分辨率气候记录是明确该问题的基础。 方法 以中天山山间盆地那拉提剖面为研究材料,基于AMS14C年代测试结果,以孢粉为古气候代用指标,重建了研究区中晚全新世以来的植被与气候变化过程。 结果 6 369~3 601 cal a B.P.期间蒿属(Artemisia)、藜属(Chenopodium)含量高,花粉PCA 1得分偏正,气候出现干湿波动,以干为主,存在气候突变现象。3 601~2 512 cal a B.P.期间云杉属(picea)含量升高,花粉PCA 2得分偏正,气候冷湿。2 512~1 016 cal a B.P.期间桦木属(Betula)含量增加,花粉PCA 1得分偏正,气候暖干。发生在4 766~3 601 cal a B.P.期间以冷干为特征的气候突变与“4.2 ka B.P.”气候事件有良好响应,可能是太阳辐射减弱,中高纬寒冷加剧、北大西洋海温降低使西风环流减弱导致。 结论 划分出的3个花粉带指示中天山山间盆地中晚全新世气候经历了干湿波动(偏干)—冷湿—暖干3个阶段。中晚全新世以来研究区接收夏季太阳辐射减少,北大西洋海面蒸发弱,西风环流携带水汽少,气候干旱。晚全新世早期持续的寒冷气候迫使西风环流南移,叠加北大西洋涛动负相位输送大量水汽,气候冷湿。晚期冬季太阳辐射增强,陆地蒸发加大,气候暖干。
2026, 44(2): 425-440.
doi: 10.14027/j.issn.1000-0550.2024.034
摘要:
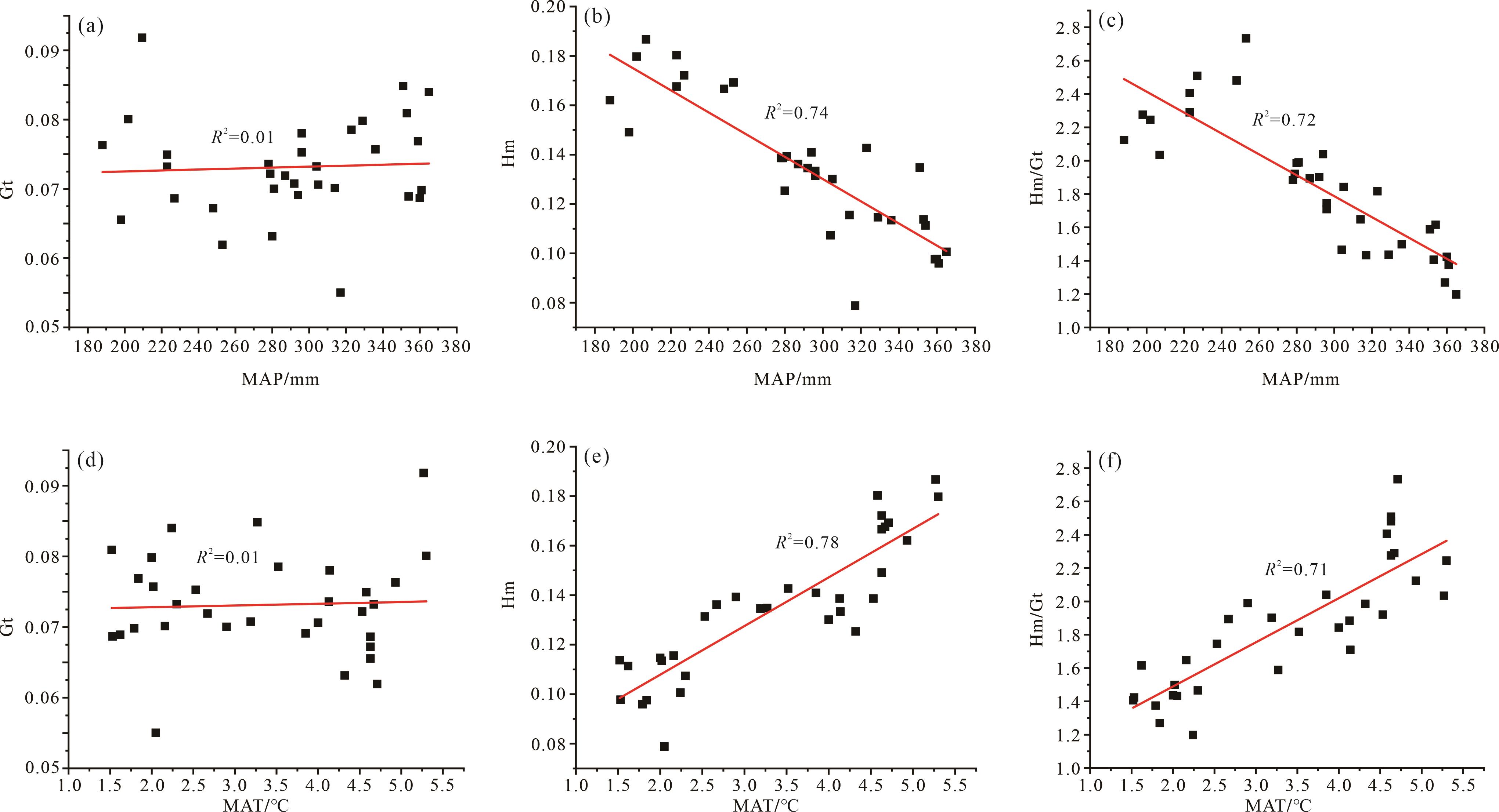
目的 研究不同环境沉积物的磁化率和色度的变化机制,对于利用该指标进行古气候恢复具有重要意义。 方法 通过对我国西北内陆腹地祁连山西段表土磁化率和色度的采样测量,分析了其随降水、气温和海拔的变化特征,并尝试建立了磁化率和色度与气候因子及海拔的函数关系。 结果 (1)磁化率与年均气温、年均降水量呈非线性变化关系,存在一个温度和降水量阈值(约0 ℃和300 mm),低于该阈值磁化率与其成反比,反之成正比;磁化率与海拔呈线性负相关关系,在低海拔区域(1 600~3 300 m)尤其敏感。通过回归分析建立了祁连山西段磁化率与年均降水量、年均气温和海拔的函数关系。(2)色度(亮度、红度、黄度)与气温、降水无明显关系;亮度与海拔呈较显著负相关,且在低海拔地区(1 600~3 300 m)更敏感。 结论 相较而言,磁化率比色度更能反映祁连山西段气候及海拔变化信息;在低海拔区(1 600~3 300 m)亮度与海拔关系更显著,黄度、磁化率次之;在高海拔区(3 700~4 300 m)红度、亮度与海拔关系更显著。
目的 研究不同环境沉积物的磁化率和色度的变化机制,对于利用该指标进行古气候恢复具有重要意义。 方法 通过对我国西北内陆腹地祁连山西段表土磁化率和色度的采样测量,分析了其随降水、气温和海拔的变化特征,并尝试建立了磁化率和色度与气候因子及海拔的函数关系。 结果 (1)磁化率与年均气温、年均降水量呈非线性变化关系,存在一个温度和降水量阈值(约0 ℃和300 mm),低于该阈值磁化率与其成反比,反之成正比;磁化率与海拔呈线性负相关关系,在低海拔区域(1 600~3 300 m)尤其敏感。通过回归分析建立了祁连山西段磁化率与年均降水量、年均气温和海拔的函数关系。(2)色度(亮度、红度、黄度)与气温、降水无明显关系;亮度与海拔呈较显著负相关,且在低海拔地区(1 600~3 300 m)更敏感。 结论 相较而言,磁化率比色度更能反映祁连山西段气候及海拔变化信息;在低海拔区(1 600~3 300 m)亮度与海拔关系更显著,黄度、磁化率次之;在高海拔区(3 700~4 300 m)红度、亮度与海拔关系更显著。
2026, 44(2): 441-453.
doi: 10.14027/j.issn.1000-0550.2024.063
摘要:
意义 冷泉活动对海洋生态系统及全球气候变化等具有重大影响,冷泉碳酸盐岩是海底冷泉活动形成的产物,其地质地球化学特征常被用于示踪渗漏流体信息及沉积环境变化。 【进展】 中国台湾地区冷泉碳酸盐岩主要发育于新生代中新世至更新世地层,是研究古冷泉的理想载体。对台湾地区冷泉碳酸盐岩发育的地质产状、矿物岩石学特征、碳氧同位素、稀土元素地球化学以及宏体生物化石等方面进行了系统阐述。 【结论与展望】 台湾地区冷泉碳酸盐岩以块状和烟囱状为主,分别指示了强度较弱的扩散和较强的喷溢流体活动;碳和氧同位素显示冷泉流体的碳源主要来自生物成因甲烷和热成因甲烷,并受海水或产甲烷残余CO2的影响;稀土元素地球化学特征显示冷泉碳酸盐岩形成于还原环境;冷泉生物以双壳类生物化石为主,中新世和上新世生物种类少,更新世生物种类多,可能受水深的控制。未来可从冷泉碳酸盐岩的微区原位碳和氧同位素分析、碳酸盐相矿物的Mo元素及其同位素分析,以及满月蛤科不同属生物化石发育的空间差异并结合地球化学分析等方面开展深入研究,以期完善对台湾地区古冷泉体系的理解。
意义 冷泉活动对海洋生态系统及全球气候变化等具有重大影响,冷泉碳酸盐岩是海底冷泉活动形成的产物,其地质地球化学特征常被用于示踪渗漏流体信息及沉积环境变化。 【进展】 中国台湾地区冷泉碳酸盐岩主要发育于新生代中新世至更新世地层,是研究古冷泉的理想载体。对台湾地区冷泉碳酸盐岩发育的地质产状、矿物岩石学特征、碳氧同位素、稀土元素地球化学以及宏体生物化石等方面进行了系统阐述。 【结论与展望】 台湾地区冷泉碳酸盐岩以块状和烟囱状为主,分别指示了强度较弱的扩散和较强的喷溢流体活动;碳和氧同位素显示冷泉流体的碳源主要来自生物成因甲烷和热成因甲烷,并受海水或产甲烷残余CO2的影响;稀土元素地球化学特征显示冷泉碳酸盐岩形成于还原环境;冷泉生物以双壳类生物化石为主,中新世和上新世生物种类少,更新世生物种类多,可能受水深的控制。未来可从冷泉碳酸盐岩的微区原位碳和氧同位素分析、碳酸盐相矿物的Mo元素及其同位素分析,以及满月蛤科不同属生物化石发育的空间差异并结合地球化学分析等方面开展深入研究,以期完善对台湾地区古冷泉体系的理解。
2026, 44(2): 454-467.
doi: 10.14027/j.issn.1000-0550.2024.060
摘要:
目的 V/(V+Ni)、V/Cr、U/Th、U自生和Ce是海相地层传统的氧化还原判别指标,但对湖相地层氧化还原的判识出现多解性。钼(Mo)元素作为一个新的氧化还原判别指标,其在湖泊环境中的富集机制研究仍十分薄弱,限制了Mo在湖泊古环境重建中的应用潜力。 方法 通过对青海湖表层沉积物样品的系统性测试,分析了Mo的平面富集特征,探讨了Mo含量与沉积物陆源输入、粒度、元素含量、有机质含量及水体环境之间的相应关系。 结果 青海湖目前属于碱性、弱氧化的微咸水湖泊,水体内Mo元素轻度富集于深水区沉积物。陆源输入及沉积物粒度不影响Mo的富集;弱碱性—碱性湖盆中Mo无法利用黏土矿物和铁(氢)氧化物吸附进行沉降与富集;锰—铁(氢)氧化物虽然有可能吸附Mo并发生沉降,但是随着沉积物表生作用转化为还原环境,Mo将会从沉积物内重新释放到水体。 结论 青海湖沉积有机质丰度与Mo含量具有良好的相关性,深水区温跃层下底层水氧化性降低、还原性增强,有机质吸附及保存是沉积物中Mo富集的主控因素。
目的 V/(V+Ni)、V/Cr、U/Th、U自生和Ce是海相地层传统的氧化还原判别指标,但对湖相地层氧化还原的判识出现多解性。钼(Mo)元素作为一个新的氧化还原判别指标,其在湖泊环境中的富集机制研究仍十分薄弱,限制了Mo在湖泊古环境重建中的应用潜力。 方法 通过对青海湖表层沉积物样品的系统性测试,分析了Mo的平面富集特征,探讨了Mo含量与沉积物陆源输入、粒度、元素含量、有机质含量及水体环境之间的相应关系。 结果 青海湖目前属于碱性、弱氧化的微咸水湖泊,水体内Mo元素轻度富集于深水区沉积物。陆源输入及沉积物粒度不影响Mo的富集;弱碱性—碱性湖盆中Mo无法利用黏土矿物和铁(氢)氧化物吸附进行沉降与富集;锰—铁(氢)氧化物虽然有可能吸附Mo并发生沉降,但是随着沉积物表生作用转化为还原环境,Mo将会从沉积物内重新释放到水体。 结论 青海湖沉积有机质丰度与Mo含量具有良好的相关性,深水区温跃层下底层水氧化性降低、还原性增强,有机质吸附及保存是沉积物中Mo富集的主控因素。
2026, 44(2): 468-480.
doi: 10.14027/j.issn.1000-0550.022024.070
摘要:
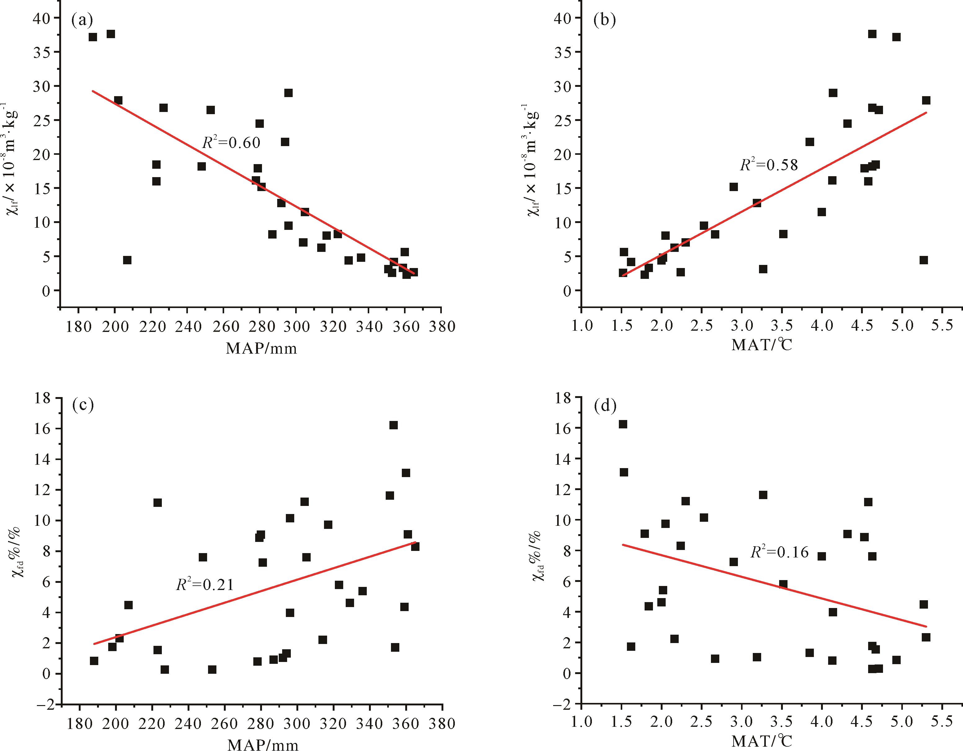
目的 开展沙地表层沉积物气候代用指标与气候因子的相关性研究,是确定不同气候代用指标可靠性与适用性的关键。 方法 沿浑善达克沙地东西向共采集32个地表沉积物样品,通过色度、赤铁矿/针铁矿(Hm/Gt)、磁化率与现代气候因子(Mean Annual Precipitation,MAP和Mean Annual Temperature,MAT)的相关分析,探讨各指标与气候因子的关系。 结果与结论 红度(a*)、黄度(b*)与降水呈负相关关系,与温度呈正相关关系,b*/a*与气候因子同样表现出良好的相关关系,指示其对降水和温度的敏感性;而亮度(L*)的气候指示意义不明显,植被可能是其变化的直接因素。赤铁矿、Hm/Gt值与年均降水表现为负相关关系,与年均温则为正相关关系,其可作为沙地水热条件变化的有效代用指标。磁化率在浑善达克沙地表现出复杂性和特殊性,物源可能是其变化的主要影响因素。通过分析沙地地表沉积物含铁矿物经向变化特征及其与气候参数的关系,为明确气候代用指标的环境意义提供重要参考。
目的 开展沙地表层沉积物气候代用指标与气候因子的相关性研究,是确定不同气候代用指标可靠性与适用性的关键。 方法 沿浑善达克沙地东西向共采集32个地表沉积物样品,通过色度、赤铁矿/针铁矿(Hm/Gt)、磁化率与现代气候因子(Mean Annual Precipitation,MAP和Mean Annual Temperature,MAT)的相关分析,探讨各指标与气候因子的关系。 结果与结论 红度(a*)、黄度(b*)与降水呈负相关关系,与温度呈正相关关系,b*/a*与气候因子同样表现出良好的相关关系,指示其对降水和温度的敏感性;而亮度(L*)的气候指示意义不明显,植被可能是其变化的直接因素。赤铁矿、Hm/Gt值与年均降水表现为负相关关系,与年均温则为正相关关系,其可作为沙地水热条件变化的有效代用指标。磁化率在浑善达克沙地表现出复杂性和特殊性,物源可能是其变化的主要影响因素。通过分析沙地地表沉积物含铁矿物经向变化特征及其与气候参数的关系,为明确气候代用指标的环境意义提供重要参考。
2026, 44(2): 481-495.
doi: 10.14027/j.issn.1000-0550.2024.018
摘要:
目的 通过研究古龙青山口组页岩中黄铁矿脉和凝灰岩脉的几何学特征及形成机制,探讨它们的形成时间、沉积环境、沉积过程、沉积物状态及成岩环境,估算泥页岩的成岩压实率,为同类型岩脉的形成机制及意义提供参考。 方法 基于精细的岩心观察、薄片分析及脉体形成的动力学计算,发现了古龙页岩中发育黄铁矿脉和凝灰岩脉,并探究了其成因机制及地质意义。 结果 古龙青山口组页岩中的黄铁矿脉和凝灰岩脉总体规模较小,黄铁矿脉按规模可分为两种:一种是较粗大的黄铁矿脉,宽1~4 mm,长数厘米;另一种是较细的黄铁矿脉,宽多在1 mm以下,长数毫米到数厘米。凝灰岩脉的宽度多在1 mm以下,长数毫米到数厘米,大部分强烈弯曲成肠状、直立、倾斜或水平产出。推测可能是由于密度倒置引起的重力沉降形成,并计算建立了黄铁矿脉和凝灰岩脉形成的动力学模型。 结论 古龙青山口组页岩油储层中的黄铁矿脉形态非常复杂,是由重力沉降的砂脉经后期黄铁矿化形成的,即先有粉砂岩脉而后有黄铁矿脉;而凝灰岩脉则是由火山喷发形成的凝灰沉降于湖泊的未固结泥上,由于密度倒置引起重力沉降的结果(下沉式),而非地震液化形成高压由下向上充注。倾斜产出的黄铁矿脉和凝灰岩脉隔180°对称,系顺层剪切作用,内部多含围岩的粉砂级泥屑和较大的火焰状泥屑,是砂脉和凝灰岩脉沉入到下部未固结,甚至呈泥浆状的泥中被捕获而形成。
目的 通过研究古龙青山口组页岩中黄铁矿脉和凝灰岩脉的几何学特征及形成机制,探讨它们的形成时间、沉积环境、沉积过程、沉积物状态及成岩环境,估算泥页岩的成岩压实率,为同类型岩脉的形成机制及意义提供参考。 方法 基于精细的岩心观察、薄片分析及脉体形成的动力学计算,发现了古龙页岩中发育黄铁矿脉和凝灰岩脉,并探究了其成因机制及地质意义。 结果 古龙青山口组页岩中的黄铁矿脉和凝灰岩脉总体规模较小,黄铁矿脉按规模可分为两种:一种是较粗大的黄铁矿脉,宽1~4 mm,长数厘米;另一种是较细的黄铁矿脉,宽多在1 mm以下,长数毫米到数厘米。凝灰岩脉的宽度多在1 mm以下,长数毫米到数厘米,大部分强烈弯曲成肠状、直立、倾斜或水平产出。推测可能是由于密度倒置引起的重力沉降形成,并计算建立了黄铁矿脉和凝灰岩脉形成的动力学模型。 结论 古龙青山口组页岩油储层中的黄铁矿脉形态非常复杂,是由重力沉降的砂脉经后期黄铁矿化形成的,即先有粉砂岩脉而后有黄铁矿脉;而凝灰岩脉则是由火山喷发形成的凝灰沉降于湖泊的未固结泥上,由于密度倒置引起重力沉降的结果(下沉式),而非地震液化形成高压由下向上充注。倾斜产出的黄铁矿脉和凝灰岩脉隔180°对称,系顺层剪切作用,内部多含围岩的粉砂级泥屑和较大的火焰状泥屑,是砂脉和凝灰岩脉沉入到下部未固结,甚至呈泥浆状的泥中被捕获而形成。
2026, 44(2): 496-505.
doi: 10.14027/j.issn.1000-0550.2024.052
摘要:
目的 珠江三角洲潮坪沉积环境复杂,沙蚕遗迹丰富,研究现代沙蚕遗迹的组成与分布特征及其与沉积环境的关系,对重建古环境具有重要的实证价值。 方法 以珠江三角洲潮坪为研究对象,运用现代沉积学及遗迹学方法,通过粒度、总有机碳(TOC)含量、盐度、浑浊度分析,结合X射线计算机断层扫描三维重构方法,对研究区内现代沙蚕遗迹的组成与分布特征进行了精细研究,并分析了遗迹分布与沉积环境和物化条件的关系。 结果 (1)双齿围沙蚕主要生活在珠江三角洲的水下汊道和分流间海湾的潮坪区域。(2)双齿围沙蚕的遗迹主要有觅食迹和居住迹,但层面上的觅食迹不易观察到,层内居住迹形态主要有简单的Y形、I形和U形以及复杂网状结构,连接处有鼓包。(3)双齿围沙蚕适合生活在水动力条件较为低能、盐度较低、浑浊度较低、TOC含量丰富的分流间湾潮坪或水下汊道中。 结论 沙蚕遗迹在空间分布上具有不均衡性,多种环境条件共同控制沙蚕遗迹的丰度。沙蚕居住迹与遗迹化石Polykladichnus相似,该遗迹化石可属于Mermia遗迹相和Glossifunites遗迹相,该遗迹化石组合主要出现在潮间带和潮道区域。该研究补充了现代沙蚕遗迹的生物学资料。
目的 珠江三角洲潮坪沉积环境复杂,沙蚕遗迹丰富,研究现代沙蚕遗迹的组成与分布特征及其与沉积环境的关系,对重建古环境具有重要的实证价值。 方法 以珠江三角洲潮坪为研究对象,运用现代沉积学及遗迹学方法,通过粒度、总有机碳(TOC)含量、盐度、浑浊度分析,结合X射线计算机断层扫描三维重构方法,对研究区内现代沙蚕遗迹的组成与分布特征进行了精细研究,并分析了遗迹分布与沉积环境和物化条件的关系。 结果 (1)双齿围沙蚕主要生活在珠江三角洲的水下汊道和分流间海湾的潮坪区域。(2)双齿围沙蚕的遗迹主要有觅食迹和居住迹,但层面上的觅食迹不易观察到,层内居住迹形态主要有简单的Y形、I形和U形以及复杂网状结构,连接处有鼓包。(3)双齿围沙蚕适合生活在水动力条件较为低能、盐度较低、浑浊度较低、TOC含量丰富的分流间湾潮坪或水下汊道中。 结论 沙蚕遗迹在空间分布上具有不均衡性,多种环境条件共同控制沙蚕遗迹的丰度。沙蚕居住迹与遗迹化石Polykladichnus相似,该遗迹化石可属于Mermia遗迹相和Glossifunites遗迹相,该遗迹化石组合主要出现在潮间带和潮道区域。该研究补充了现代沙蚕遗迹的生物学资料。
2026, 44(2): 506-521.
doi: 10.14027/j.issn.1000-0550.2024.069
摘要:
目的 扬子陆块北缘二叠纪—侏罗纪多个层位中锂矿化体的发现,对沉积型锂资源调查研究与开发利用意义重大。本文旨在查明侏罗系白田坝组含锂(富锂)细碎屑岩源区母岩性质及构造背景,并初步探讨古环境对锂富集的控制作用。 方法 对该组地层典型岩性开展了详细的岩石学研究,并针对含锂(富锂)细碎屑岩进行了元素地球化学研究。 结果 主量元素氧化物判别函数和LaN/YbN-ΣREE、K2O-Rb、La/Th-Hf图解显示潜在物源区是一个出露火成岩、沉积岩和变质岩的混合源区;主量元素氧化物判别函数和La-Th、Ti/Zr-La/Sc、La-Th-Sc、Th-Sc-Zr/10、Th-Co-Zr/10图解和稀土元素参数特征反映沉积期构造背景为活动陆缘,而源区部分母岩形成于大陆岛弧环境;Ga、Sr/Ba、Sr/Cu、C值、化学蚀变指数(Chemical Index of Alteration,CIA)、U/Th、Ni/Co等古环境指标指示含锂(富锂)细碎屑岩沉积于温暖潮湿气候条件下的弱氧化—氧化陆相淡水环境,且A-CN-K和Th/Sc-Zr/Sc图解说明碎屑物在首次沉积时源区母岩已经经历了中等—强烈程度的风化作用。 结论 古盐度和古还原氧化条件对锂富集的控制是表象的,而温暖潮湿的气候条件有利于黏土矿物的形成,使含锂(富锂)细碎屑岩中黏土矿物含量增加,进而控制锂的富集。锂最初可能来自弧岩浆物质。
目的 扬子陆块北缘二叠纪—侏罗纪多个层位中锂矿化体的发现,对沉积型锂资源调查研究与开发利用意义重大。本文旨在查明侏罗系白田坝组含锂(富锂)细碎屑岩源区母岩性质及构造背景,并初步探讨古环境对锂富集的控制作用。 方法 对该组地层典型岩性开展了详细的岩石学研究,并针对含锂(富锂)细碎屑岩进行了元素地球化学研究。 结果 主量元素氧化物判别函数和LaN/YbN-ΣREE、K2O-Rb、La/Th-Hf图解显示潜在物源区是一个出露火成岩、沉积岩和变质岩的混合源区;主量元素氧化物判别函数和La-Th、Ti/Zr-La/Sc、La-Th-Sc、Th-Sc-Zr/10、Th-Co-Zr/10图解和稀土元素参数特征反映沉积期构造背景为活动陆缘,而源区部分母岩形成于大陆岛弧环境;Ga、Sr/Ba、Sr/Cu、C值、化学蚀变指数(Chemical Index of Alteration,CIA)、U/Th、Ni/Co等古环境指标指示含锂(富锂)细碎屑岩沉积于温暖潮湿气候条件下的弱氧化—氧化陆相淡水环境,且A-CN-K和Th/Sc-Zr/Sc图解说明碎屑物在首次沉积时源区母岩已经经历了中等—强烈程度的风化作用。 结论 古盐度和古还原氧化条件对锂富集的控制是表象的,而温暖潮湿的气候条件有利于黏土矿物的形成,使含锂(富锂)细碎屑岩中黏土矿物含量增加,进而控制锂的富集。锂最初可能来自弧岩浆物质。
2026, 44(2): 522-541.
doi: 10.14027/j.issn.1000-0550.2024.064
摘要:
目的 早、中三叠世时期存在很长一段时间的煤沉积空缺,四川盆地煤沉积在上三叠统须家河组沉积早期(须一段)重新出现,目前对须一段初始成煤期的古气候与成煤机制还缺乏清晰的认识。 方法 基于野外露头观察、岩石学镜下分析以及主微量元素分析,对川西北地区须家河组一段含煤地层(工农镇剖面和王家梁剖面)的古气候与成煤机制开展研究。 结果 工农镇剖面须家河组一段的沉积相以三角洲前缘亚相为主,而王家梁剖面须家河组一段的沉积相以三角洲平原亚相为主。此外,须一段初始成煤期的古气候指标(Sr/Cu和C值)和风化指标(CIAcorr和Rb/Sr)呈现同步变化。 结论 川西北地区须家河组一段初始成煤期的古气候特征表现为炎热潮湿与温暖半干旱—半潮湿交替出现。煤层在潮湿气候条件下形成,而这种湿润的古气候可能与超级季风活动有关。进一步研究发现,煤的沉积还需要适宜的保存环境,如在高位体系域的沼泽中,煤层可以良好发育和保存。
目的 早、中三叠世时期存在很长一段时间的煤沉积空缺,四川盆地煤沉积在上三叠统须家河组沉积早期(须一段)重新出现,目前对须一段初始成煤期的古气候与成煤机制还缺乏清晰的认识。 方法 基于野外露头观察、岩石学镜下分析以及主微量元素分析,对川西北地区须家河组一段含煤地层(工农镇剖面和王家梁剖面)的古气候与成煤机制开展研究。 结果 工农镇剖面须家河组一段的沉积相以三角洲前缘亚相为主,而王家梁剖面须家河组一段的沉积相以三角洲平原亚相为主。此外,须一段初始成煤期的古气候指标(Sr/Cu和C值)和风化指标(CIAcorr和Rb/Sr)呈现同步变化。 结论 川西北地区须家河组一段初始成煤期的古气候特征表现为炎热潮湿与温暖半干旱—半潮湿交替出现。煤层在潮湿气候条件下形成,而这种湿润的古气候可能与超级季风活动有关。进一步研究发现,煤的沉积还需要适宜的保存环境,如在高位体系域的沼泽中,煤层可以良好发育和保存。
2026, 44(2): 542-556.
doi: 10.14027/j.issn.1000-0550.2024.030
摘要:
目的 白云岩—蒸发岩共生体系在四川盆地中三叠时期广泛分布,其沉积特征缺乏系统研究,发育分布规律及主控因素尚不明确。进一步阐明共生体系沉积特征,探讨共生体系发育的主控因素,旨在为川西北地区白云岩—蒸发岩共生体系的研究提供新的认识,指导区域古地理重建。 方法 基于钻井、岩心以及地震资料,多尺度表征研究区发育的白云岩—蒸发岩共生体系沉积特征,阐明不同类型共生体系的成因机制,进一步揭示其时空发育分布规律及主控因素。 结果 (1)四川盆地川西北地区雷口坡组主要发育4种类型的共生体系:厚层白云岩夹薄层蒸发岩、白云岩与蒸发岩互层、厚层蒸发岩夹薄层白云岩、厚层蒸发岩与厚层白云岩叠置,其中厚层白云岩夹薄层蒸发岩在雷口坡四个沉积期均大面积分布,厚层蒸发岩夹薄层白云岩、厚层蒸发岩与厚层白云岩叠置在雷三段、雷四段沉积期盆地中部最为发育。(2)西侧龙门山岛链隆升对盆地产生东南向挤压、东侧雪峰山隆升限制泸州—开江古隆起南向迁移、秦岭的南向俯冲共同形成了四川盆地近北东—南西向的构造格局,控制了盆地内膏岩以及共生体系总体呈北东—南西向展布。(3)受泸州—开江古隆起大幅度隆升的影响,雷口坡组后期沉降中心向西侧迁移,膏岩沉积中心以及四种共生体系也相应由早期的分散分布到后期集中向西迁移。 结论 综合共生体系沉积特征及其分布规律,四类共生体系分别形成于含膏云质潟湖、含云膏质潟湖、膏盐湖以及膏盐盆。在不同类型共生体系分布规律的约束下重建了雷口坡组四个沉积期的古地理。
目的 白云岩—蒸发岩共生体系在四川盆地中三叠时期广泛分布,其沉积特征缺乏系统研究,发育分布规律及主控因素尚不明确。进一步阐明共生体系沉积特征,探讨共生体系发育的主控因素,旨在为川西北地区白云岩—蒸发岩共生体系的研究提供新的认识,指导区域古地理重建。 方法 基于钻井、岩心以及地震资料,多尺度表征研究区发育的白云岩—蒸发岩共生体系沉积特征,阐明不同类型共生体系的成因机制,进一步揭示其时空发育分布规律及主控因素。 结果 (1)四川盆地川西北地区雷口坡组主要发育4种类型的共生体系:厚层白云岩夹薄层蒸发岩、白云岩与蒸发岩互层、厚层蒸发岩夹薄层白云岩、厚层蒸发岩与厚层白云岩叠置,其中厚层白云岩夹薄层蒸发岩在雷口坡四个沉积期均大面积分布,厚层蒸发岩夹薄层白云岩、厚层蒸发岩与厚层白云岩叠置在雷三段、雷四段沉积期盆地中部最为发育。(2)西侧龙门山岛链隆升对盆地产生东南向挤压、东侧雪峰山隆升限制泸州—开江古隆起南向迁移、秦岭的南向俯冲共同形成了四川盆地近北东—南西向的构造格局,控制了盆地内膏岩以及共生体系总体呈北东—南西向展布。(3)受泸州—开江古隆起大幅度隆升的影响,雷口坡组后期沉降中心向西侧迁移,膏岩沉积中心以及四种共生体系也相应由早期的分散分布到后期集中向西迁移。 结论 综合共生体系沉积特征及其分布规律,四类共生体系分别形成于含膏云质潟湖、含云膏质潟湖、膏盐湖以及膏盐盆。在不同类型共生体系分布规律的约束下重建了雷口坡组四个沉积期的古地理。
2026, 44(2): 557-576.
doi: 10.14027/j.issn.1000-0550.2024.073
摘要:
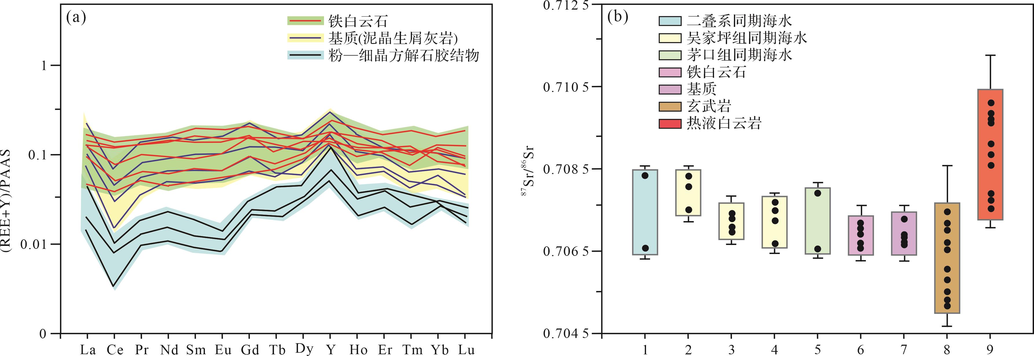
目的 目前川中北部地区茅三段—吴一段铁白云石成因机制尚不明确。 方法 基于茅三段—吴一段岩矿特征,结合岩石TIMA扫描、全岩X射线衍射分析、微区原位主微量元素、锶同位素流体包裹体均一温度以及铁白云石原位U-Pb年代学等手段,对铁白云岩成因机制展开研究。 结果 (1)茅三段与吴一段岩石类型为灰岩类、白云岩类以及沉凝灰岩类。灰岩类岩相主要包括泥晶生屑灰岩、亮晶生屑灰岩及云质灰岩;白云岩类岩相为半自形—自形粉—细晶白云岩;沉凝灰岩类岩石主要由火山碎屑、碳质、钙镁质、砂级碎屑以及金属矿物等组成,其中火山碎屑为玻屑、玄武岩等碎屑,钙镁质主要成分为白云石与方解石。(2)茅三段与吴一段顶部白云石微量元素平均值表现为具极高的Fe含量(1 0678.40×10-6),较高的Mn含量(822.95×10-6)、Si含量(1 929.81×10-6)、Al含量(394.11×10-6)及高(Na+K)含量(362.38×10-6),指示封闭环境下成岩流体具有高盐度、高碱性金属含量的特征。铁白云石与泥晶生屑灰岩中基质部分的87Sr/86Sr介于茅口组—吴家坪组同时期海水范围内,同时∑REE值的偏低,LREE的亏损与海水的LREE亏损模式一致,指示白云石化成岩流体与同时期海水具有相似特征。(3)茅三段与吴一段中粉—细晶白云石U-Pb年龄为245.36±1.08 Ma,白云石化作用主要发生于晚二叠世—早三叠世。 结论 茅三段与吴一段粉—细晶白云石的白云石化流体为上覆吴一段、吴二段泥质沉凝灰岩、凝灰质泥岩中黏土矿物发生脱水作用产生。此过程中析出大量Mg2+、Fe2+、Al3+、Si4+等离子,以同期茅口组—吴家坪组残余海水为载体,运移至茅三段与吴一段顶部的颗粒灰岩进而发生交代形成铁白云石。
目的 目前川中北部地区茅三段—吴一段铁白云石成因机制尚不明确。 方法 基于茅三段—吴一段岩矿特征,结合岩石TIMA扫描、全岩X射线衍射分析、微区原位主微量元素、锶同位素流体包裹体均一温度以及铁白云石原位U-Pb年代学等手段,对铁白云岩成因机制展开研究。 结果 (1)茅三段与吴一段岩石类型为灰岩类、白云岩类以及沉凝灰岩类。灰岩类岩相主要包括泥晶生屑灰岩、亮晶生屑灰岩及云质灰岩;白云岩类岩相为半自形—自形粉—细晶白云岩;沉凝灰岩类岩石主要由火山碎屑、碳质、钙镁质、砂级碎屑以及金属矿物等组成,其中火山碎屑为玻屑、玄武岩等碎屑,钙镁质主要成分为白云石与方解石。(2)茅三段与吴一段顶部白云石微量元素平均值表现为具极高的Fe含量(1 0678.40×10-6),较高的Mn含量(822.95×10-6)、Si含量(1 929.81×10-6)、Al含量(394.11×10-6)及高(Na+K)含量(362.38×10-6),指示封闭环境下成岩流体具有高盐度、高碱性金属含量的特征。铁白云石与泥晶生屑灰岩中基质部分的87Sr/86Sr介于茅口组—吴家坪组同时期海水范围内,同时∑REE值的偏低,LREE的亏损与海水的LREE亏损模式一致,指示白云石化成岩流体与同时期海水具有相似特征。(3)茅三段与吴一段中粉—细晶白云石U-Pb年龄为245.36±1.08 Ma,白云石化作用主要发生于晚二叠世—早三叠世。 结论 茅三段与吴一段粉—细晶白云石的白云石化流体为上覆吴一段、吴二段泥质沉凝灰岩、凝灰质泥岩中黏土矿物发生脱水作用产生。此过程中析出大量Mg2+、Fe2+、Al3+、Si4+等离子,以同期茅口组—吴家坪组残余海水为载体,运移至茅三段与吴一段顶部的颗粒灰岩进而发生交代形成铁白云石。
2026, 44(2): 577-595.
doi: 10.14027/j.issn.1000-0550.2024.031
摘要:
目的 中国西南滇黔地区含铝土矿沉积地层中发现了成矿潜力巨大的富锂黏土岩沉积,然而目前对这些地区铝土矿型富锂黏土岩的物质来源及富锂机制等方面的认识仍不足。 方法 对云南早二叠系倒石头组和贵州早石炭系九架炉组两套铝土矿型富锂黏土岩系开展了矿物组成、主微量及稀土元素组成等方面的对比分析,结合前人的研究成果,系统地探讨了形成于不同时代但岩相特征极为相似的两套铝土矿型富锂黏土岩的物源属性特征及引起锂异常富集的因素。 结果与结论 贵州九架炉组和云南倒石头组富锂黏土岩间物源属性的差异对含锂特征影响显著。锂含量相对较低的九架炉组黏土岩的形成与下伏娄山关群不纯白云岩的风化剥蚀密切相关,而其原始物源可能为新元古代—中元古代的中酸性岩浆岩,并明显受到镁铁质成分的影响。而锂含量相对较高的云南倒石头组黏土岩的形成受奥陶纪沉积岩系再循环物质的影响显著,而与其下伏碳酸盐岩地层间物源联系较弱,同时云南倒石头组黏土岩原始物源受中酸性岩浆岩主导。此外,滇黔地区富锂黏土岩中锂的赋存矿物可能为高岭石或伊利石矿物,而沉积时期流域的排水性及水体中的离子共存效应等对黏土中锂的富集起到了重要的制约作用。上述研究通过分析贵州九架炉组和云南倒石头组富锂黏土岩的物源属性及锂赋存矿物特征,对阐明黏土型锂矿成矿过程与制约机制具有重要意义。
目的 中国西南滇黔地区含铝土矿沉积地层中发现了成矿潜力巨大的富锂黏土岩沉积,然而目前对这些地区铝土矿型富锂黏土岩的物质来源及富锂机制等方面的认识仍不足。 方法 对云南早二叠系倒石头组和贵州早石炭系九架炉组两套铝土矿型富锂黏土岩系开展了矿物组成、主微量及稀土元素组成等方面的对比分析,结合前人的研究成果,系统地探讨了形成于不同时代但岩相特征极为相似的两套铝土矿型富锂黏土岩的物源属性特征及引起锂异常富集的因素。 结果与结论 贵州九架炉组和云南倒石头组富锂黏土岩间物源属性的差异对含锂特征影响显著。锂含量相对较低的九架炉组黏土岩的形成与下伏娄山关群不纯白云岩的风化剥蚀密切相关,而其原始物源可能为新元古代—中元古代的中酸性岩浆岩,并明显受到镁铁质成分的影响。而锂含量相对较高的云南倒石头组黏土岩的形成受奥陶纪沉积岩系再循环物质的影响显著,而与其下伏碳酸盐岩地层间物源联系较弱,同时云南倒石头组黏土岩原始物源受中酸性岩浆岩主导。此外,滇黔地区富锂黏土岩中锂的赋存矿物可能为高岭石或伊利石矿物,而沉积时期流域的排水性及水体中的离子共存效应等对黏土中锂的富集起到了重要的制约作用。上述研究通过分析贵州九架炉组和云南倒石头组富锂黏土岩的物源属性及锂赋存矿物特征,对阐明黏土型锂矿成矿过程与制约机制具有重要意义。
2026, 44(2): 596-613.
doi: 10.14027/j.issn.1000-0550.2024.059
摘要:
目的 鄂尔多斯盆地三叠系延长组长7段主要发育半深湖—深湖亚相,深水重力流沉积普遍发育,厘清其沉积特征及分布规律可为油气勘探指明方向。 方法 以盆地东南部的富县地区长7段为研究对象,基于13口取心井厘米级岩心精细描述、粒度分析和测井资料,明确了长7段重力流沉积的类型及特征、分布规律及演化模式,结合试油、试采资料分析了重力流对油藏分布的控制作用。 结果 富县地区长7段主要发育滑动—滑塌、砂质碎屑流和浊流3种重力流沉积微相。滑动—滑塌沉积发育包卷层理、揉皱变形构造、同沉积阶梯状小断层及滑动面;砂质碎屑流沉积发育厚层块状砂岩、泥岩撕裂屑及泥包砾结构;浊流沉积发育火焰状构造、沟模、槽模和不完整的鲍马序列。长7段共划分出6种典型测井相组合,11种岩相组合,粒度概率累积曲线表现为“一段悬浮式”和“宽缓上拱形”。 结论 长7段重力流的形成机制为水下坡折带、火山和地震多种作用。平面上,长73亚段主要发育浊流沉积,长72、长71亚段主要发育砂质碎屑流和浊流沉积。砂质碎屑流沉积区工业油流井占试油总井数的21%,为下一步勘探的重点靶区。
目的 鄂尔多斯盆地三叠系延长组长7段主要发育半深湖—深湖亚相,深水重力流沉积普遍发育,厘清其沉积特征及分布规律可为油气勘探指明方向。 方法 以盆地东南部的富县地区长7段为研究对象,基于13口取心井厘米级岩心精细描述、粒度分析和测井资料,明确了长7段重力流沉积的类型及特征、分布规律及演化模式,结合试油、试采资料分析了重力流对油藏分布的控制作用。 结果 富县地区长7段主要发育滑动—滑塌、砂质碎屑流和浊流3种重力流沉积微相。滑动—滑塌沉积发育包卷层理、揉皱变形构造、同沉积阶梯状小断层及滑动面;砂质碎屑流沉积发育厚层块状砂岩、泥岩撕裂屑及泥包砾结构;浊流沉积发育火焰状构造、沟模、槽模和不完整的鲍马序列。长7段共划分出6种典型测井相组合,11种岩相组合,粒度概率累积曲线表现为“一段悬浮式”和“宽缓上拱形”。 结论 长7段重力流的形成机制为水下坡折带、火山和地震多种作用。平面上,长73亚段主要发育浊流沉积,长72、长71亚段主要发育砂质碎屑流和浊流沉积。砂质碎屑流沉积区工业油流井占试油总井数的21%,为下一步勘探的重点靶区。
2026, 44(2): 614-630.
doi: 10.14027/j.issn.1000-0550.2024.067
摘要:
目的 深层碳酸盐岩储层具有巨大油气勘探潜力,但其成岩作用复杂,储层非均质性较强且多受后期流体活动改造,导致优质储层识别与表征难度大。本文旨在明确热液流体活动的发育特征及其对碳酸盐岩储层的影响机制。 方法 以塔里木盆地西南地区上古生界石炭系为研究对象,通过岩心观察、铸体薄片、扫描电镜、稳定同位素及稀土元素等分析资料,查明研究区石炭系碳酸盐岩储层热液流体的识别标志,建立热液流体对碳酸盐岩储层的改造模式。 结果 热液流体活动的识别标志,包括典型热液矿物、碳酸盐岩具有锶同位素异常高值、氧同位素异常低值、轻重稀土元素配分不明显以及铕(Eu)正异常等。 结论 热液流体对碳酸盐岩储层改造具有两面性,建设性作用以热液溶蚀作用为主,改善孔隙结构与储层物性,测井响应呈高声波时差、中子孔隙度和低自然伽马、电阻率值的特点,主要分布在靠近深层断裂邻近热源区域,溶蚀孔缝大面积连片发育且大多未被充填;破坏性作用以热液充填作用为主,破坏孔隙结构、降低储层物性,测井响应呈高电阻率值和低声波时差、中子孔隙度及自然伽马的特点,主要分布在深层断裂远端远离热源区域,溶蚀孔缝多孤立发育且被大量充填。
目的 深层碳酸盐岩储层具有巨大油气勘探潜力,但其成岩作用复杂,储层非均质性较强且多受后期流体活动改造,导致优质储层识别与表征难度大。本文旨在明确热液流体活动的发育特征及其对碳酸盐岩储层的影响机制。 方法 以塔里木盆地西南地区上古生界石炭系为研究对象,通过岩心观察、铸体薄片、扫描电镜、稳定同位素及稀土元素等分析资料,查明研究区石炭系碳酸盐岩储层热液流体的识别标志,建立热液流体对碳酸盐岩储层的改造模式。 结果 热液流体活动的识别标志,包括典型热液矿物、碳酸盐岩具有锶同位素异常高值、氧同位素异常低值、轻重稀土元素配分不明显以及铕(Eu)正异常等。 结论 热液流体对碳酸盐岩储层改造具有两面性,建设性作用以热液溶蚀作用为主,改善孔隙结构与储层物性,测井响应呈高声波时差、中子孔隙度和低自然伽马、电阻率值的特点,主要分布在靠近深层断裂邻近热源区域,溶蚀孔缝大面积连片发育且大多未被充填;破坏性作用以热液充填作用为主,破坏孔隙结构、降低储层物性,测井响应呈高电阻率值和低声波时差、中子孔隙度及自然伽马的特点,主要分布在深层断裂远端远离热源区域,溶蚀孔缝多孤立发育且被大量充填。
2026, 44(2): 631-645.
doi: 10.14027/j.issn.1000-0550.2024.078
摘要:
目的 鄂尔多斯盆地陇东地区延长组长7油层组页岩油岩心地质录井中,各岩石类型单层厚度分辨率基本为10 cm,造成大量岩石类型组合长期被当成单一岩石类型描述,探索其岩石类型组合及储集能力定量研究的新方法,有利于长7油层组页岩油的高效勘探开发。 方法 通过鄂尔多斯盆地陇东地区24口井延长组长7油层组页岩油各岩石类型单层厚度分辨率1~5 cm的高分辨率岩心观察,405块样品的体视显微镜、薄片鉴定,以及物性分析资料等,该项研究首先对长7油层组岩石类型进行了重新识别,其次对长7油层组岩石类型组合及储集能力进行了探索性的定量研究。 结果 长7油层组页岩油发育11种主要的岩石类型,首次定量划分出单一型、含层型、夹层型、互层型4种岩石类型组合形式,65种岩石类型组合。在11种岩石类型储集能力定量评价基础上,结合其各岩石类型厚度百分比,探索性地提出了定量计算65种岩石类型组合储集能力的新方法。 结论 鄂尔多斯盆地陇东地区延长组长7油层组页岩油长期单一岩石类型思路的研究须向岩石类型组合思路的研究转变,指导长7油层组页岩油的高效勘探开发。然而,该项研究还处于探索阶段,尚需结合大量长7油层组页岩油勘探开发效果进一步完善。
目的 鄂尔多斯盆地陇东地区延长组长7油层组页岩油岩心地质录井中,各岩石类型单层厚度分辨率基本为10 cm,造成大量岩石类型组合长期被当成单一岩石类型描述,探索其岩石类型组合及储集能力定量研究的新方法,有利于长7油层组页岩油的高效勘探开发。 方法 通过鄂尔多斯盆地陇东地区24口井延长组长7油层组页岩油各岩石类型单层厚度分辨率1~5 cm的高分辨率岩心观察,405块样品的体视显微镜、薄片鉴定,以及物性分析资料等,该项研究首先对长7油层组岩石类型进行了重新识别,其次对长7油层组岩石类型组合及储集能力进行了探索性的定量研究。 结果 长7油层组页岩油发育11种主要的岩石类型,首次定量划分出单一型、含层型、夹层型、互层型4种岩石类型组合形式,65种岩石类型组合。在11种岩石类型储集能力定量评价基础上,结合其各岩石类型厚度百分比,探索性地提出了定量计算65种岩石类型组合储集能力的新方法。 结论 鄂尔多斯盆地陇东地区延长组长7油层组页岩油长期单一岩石类型思路的研究须向岩石类型组合思路的研究转变,指导长7油层组页岩油的高效勘探开发。然而,该项研究还处于探索阶段,尚需结合大量长7油层组页岩油勘探开发效果进一步完善。
2026, 44(2): 646-663.
doi: 10.14027/j.issn.1000-0550.2024.091
摘要:
目的 明确季节性湖平面变化对浅水三角洲前缘指状砂坝沉积特征和生长过程的影响。 方法 基于赣江三角洲指状砂坝现代沉积资料,利用Delft3D软件,开展季节性湖平面变化与不变条件下的指状砂坝沉积数值模拟及差异对比分析。 结果 在季节性湖平面变化条件下,指状砂坝表现如下沉积构型与生长演化特征:(1)指状砂坝个数少、弯曲度小、长度长、中部厚度大,呈鸟足状为主的平面组合样式;(2)指状砂坝发育深切型分流河道,天然堤宽且厚,河口坝内单期增生体厚度大;(3)在湖平面下降期,指状砂坝发生进积,分流河道以侵蚀—延伸为主;在湖平面上升期,指状砂坝发生退积,分流河道侵蚀作用弱,以沉积作用为主,天然堤加积并不断增厚。 结论 季节性湖平面变化是浅水三角洲指状砂坝的重要形成条件,其促进了天然堤的发育,提高了分流河道及指状砂坝的稳定性,对指状砂坝的沉积构型与生长过程具有重要的控制作用。
目的 明确季节性湖平面变化对浅水三角洲前缘指状砂坝沉积特征和生长过程的影响。 方法 基于赣江三角洲指状砂坝现代沉积资料,利用Delft3D软件,开展季节性湖平面变化与不变条件下的指状砂坝沉积数值模拟及差异对比分析。 结果 在季节性湖平面变化条件下,指状砂坝表现如下沉积构型与生长演化特征:(1)指状砂坝个数少、弯曲度小、长度长、中部厚度大,呈鸟足状为主的平面组合样式;(2)指状砂坝发育深切型分流河道,天然堤宽且厚,河口坝内单期增生体厚度大;(3)在湖平面下降期,指状砂坝发生进积,分流河道以侵蚀—延伸为主;在湖平面上升期,指状砂坝发生退积,分流河道侵蚀作用弱,以沉积作用为主,天然堤加积并不断增厚。 结论 季节性湖平面变化是浅水三角洲指状砂坝的重要形成条件,其促进了天然堤的发育,提高了分流河道及指状砂坝的稳定性,对指状砂坝的沉积构型与生长过程具有重要的控制作用。
2026, 44(2): 664-675.
doi: 10.14027/j.issn.1000-0550.2024.042
摘要:
目的 准噶尔盆地南缘四棵树凹陷高泉构造带白垩系清水河组底部砂砾岩储层非均质性强,优质储层形成和分布有待明确。 方法 通过对研究区岩心相、测井相和地震相的分析,明确了清水河组沉积储层发育特征,再结合高泉构造带清水河组沉积前古地貌研究,建立了古地貌控制下的沉积演化模式,厘清了微古地貌单元对优质储层分布的影响。 结果 清水河组沉积前研究区发育三个近北西—南东走向的坡折带,每个坡折带上又可划分出沟槽和平台两种古地貌单元。湖侵背景下,三个坡折带上依次形成了三期退积型扇三角洲,每期扇三角洲可形成10~15 m厚的砂砾岩储层。在每个坡折带上,沟槽和平台两种微古地貌单元控制了砂砾岩储层的泥质含量,沟槽区易沉积泥质含量高的褐色砂砾岩,平台区主要沉积泥质含量低的灰色或灰绿色砂砾岩,平台区低泥质含量的砂砾岩易形成粒间孔发育的优质储层。 结论 坡折带及坡折带上的沟槽、平台两种微古地貌单元是研究区清水河组底部优质砂砾岩储层形成和分布的主控因素,每个坡折带的平台区是寻找优质砂砾岩储层的有利区。
目的 准噶尔盆地南缘四棵树凹陷高泉构造带白垩系清水河组底部砂砾岩储层非均质性强,优质储层形成和分布有待明确。 方法 通过对研究区岩心相、测井相和地震相的分析,明确了清水河组沉积储层发育特征,再结合高泉构造带清水河组沉积前古地貌研究,建立了古地貌控制下的沉积演化模式,厘清了微古地貌单元对优质储层分布的影响。 结果 清水河组沉积前研究区发育三个近北西—南东走向的坡折带,每个坡折带上又可划分出沟槽和平台两种古地貌单元。湖侵背景下,三个坡折带上依次形成了三期退积型扇三角洲,每期扇三角洲可形成10~15 m厚的砂砾岩储层。在每个坡折带上,沟槽和平台两种微古地貌单元控制了砂砾岩储层的泥质含量,沟槽区易沉积泥质含量高的褐色砂砾岩,平台区主要沉积泥质含量低的灰色或灰绿色砂砾岩,平台区低泥质含量的砂砾岩易形成粒间孔发育的优质储层。 结论 坡折带及坡折带上的沟槽、平台两种微古地貌单元是研究区清水河组底部优质砂砾岩储层形成和分布的主控因素,每个坡折带的平台区是寻找优质砂砾岩储层的有利区。
2026, 44(2): 676-688.
doi: 10.14027/j.issn.1000-0550.2024.055
摘要:
目的 油气田开发中后期,储层构型研究是剩余油挖潜和提高采收率的关键,相似露头的精细解释可为地下储层构型预测提供可对比的原型模型。 方法 以鄂尔多斯盆地考考乌素沟、海湾矿业延安组浅水三角洲剖面为研究对象,采用无人机倾斜摄影获取海量露头影像数据进而建立三维数字露头,结合现场考察与室内分析对数字露头进行精细的构型解释。 结果 明确了湖平面上升过程中浅水三角洲前缘构型发育特征及演化模式,在湖平面较低时,主要发育主体型分流河道构型单元,宽度23.30~48.40 m、厚度0.89~1.81 m、宽厚比26.74,砂体叠置样式以切叠式为主;随湖平面升高,逐渐发育叉道型分流河道、河口坝、席状砂以及分流间湾,河口坝宽度53.90 m、厚度2.21 m、宽厚比24.39,叠置样式以侧向拼接为主;湖平面较高时,主要发育末端型分流河道和席状砂构型单元,末端分流河道宽度4.70~25.30 m、厚度0.40~1.03 m,宽厚比11.75~24.56,呈孤立状镶嵌在泥质沉积中。 结论 当物源供给较稳定时,湖平面升高导致可容纳空间增大,构型单元由主体型分流河道向末端型分流河道演化,逐渐沉积河口坝和席状砂构型单元,砂体规模减小但宽厚比有所增加,总体上砂地比降低,空间连通性减弱,储层非均质性增强。
目的 油气田开发中后期,储层构型研究是剩余油挖潜和提高采收率的关键,相似露头的精细解释可为地下储层构型预测提供可对比的原型模型。 方法 以鄂尔多斯盆地考考乌素沟、海湾矿业延安组浅水三角洲剖面为研究对象,采用无人机倾斜摄影获取海量露头影像数据进而建立三维数字露头,结合现场考察与室内分析对数字露头进行精细的构型解释。 结果 明确了湖平面上升过程中浅水三角洲前缘构型发育特征及演化模式,在湖平面较低时,主要发育主体型分流河道构型单元,宽度23.30~48.40 m、厚度0.89~1.81 m、宽厚比26.74,砂体叠置样式以切叠式为主;随湖平面升高,逐渐发育叉道型分流河道、河口坝、席状砂以及分流间湾,河口坝宽度53.90 m、厚度2.21 m、宽厚比24.39,叠置样式以侧向拼接为主;湖平面较高时,主要发育末端型分流河道和席状砂构型单元,末端分流河道宽度4.70~25.30 m、厚度0.40~1.03 m,宽厚比11.75~24.56,呈孤立状镶嵌在泥质沉积中。 结论 当物源供给较稳定时,湖平面升高导致可容纳空间增大,构型单元由主体型分流河道向末端型分流河道演化,逐渐沉积河口坝和席状砂构型单元,砂体规模减小但宽厚比有所增加,总体上砂地比降低,空间连通性减弱,储层非均质性增强。
2026, 44(2): 689-706.
doi: 10.14027/j.issn.1000-0550.2024.053
摘要:
目的 海相砂质滩坝储层构型特征复杂,储层内部发育渗流优势通道及渗流屏障,对储层内部构型特征认识不清,制约了油藏的剩余油挖潜。 方法 应用野外露头、卫星照片及沉积数值模拟等多技术手段,以哈得逊东河砂岩为研究对象,探讨了海相砂质滩坝储层的构型模式,在模式指导下对东河砂岩储层进行了构型精细表征。 结果 复合滩坝内部单一砂坝的沉积构型受控于岸线形态、海岸坡度、波浪方向及高度等多种因素,可形成不同形态的锥形坝、弯月坝、正向线性坝、斜交坝等单一坝体构型模式,在单一坝体边界识别的基础上,以构型模式为指导,在研究区C1小层识别出不同规模的坝体13个,包括弯月坝5个、正向线性坝7个、斜交坝1个,不同坝体间定量规模存在差异,弯月坝长度介于1.5~3.0 km,斜交坝长度介于4.5~5.0 km,正向线性坝体长度大于6 km。坝砂间呈进积型及退积型叠置模式,C1小层坝体间呈进积侧向分隔型及进积侧向叠置型,海岸线迁移速率影响了砂坝间的叠置关系。数值模拟结果及露头资料表明砂坝内部增生体发育模式存在差异,其内部夹层分布模式包括顶积式分布、顶积—侧积式、间隔式3类,在C1小层识别出3类坝体内部夹层分布模式,16号坝体内部夹层呈“顶积—侧积式”的两段式分布特征,19号坝体内部夹层呈“侧积式”分布,顶积式与侧积式夹层的倾角分布区间为1°~3°、3°~7°,14、15号坝体间夹层呈“间隔式”分布,总结了哈得逊东河砂岩储层砂坝内部夹层的发育模式。 结论 精细表征海相砂质滩坝储层内部构型,可有效指导剩余油的挖潜。
目的 海相砂质滩坝储层构型特征复杂,储层内部发育渗流优势通道及渗流屏障,对储层内部构型特征认识不清,制约了油藏的剩余油挖潜。 方法 应用野外露头、卫星照片及沉积数值模拟等多技术手段,以哈得逊东河砂岩为研究对象,探讨了海相砂质滩坝储层的构型模式,在模式指导下对东河砂岩储层进行了构型精细表征。 结果 复合滩坝内部单一砂坝的沉积构型受控于岸线形态、海岸坡度、波浪方向及高度等多种因素,可形成不同形态的锥形坝、弯月坝、正向线性坝、斜交坝等单一坝体构型模式,在单一坝体边界识别的基础上,以构型模式为指导,在研究区C1小层识别出不同规模的坝体13个,包括弯月坝5个、正向线性坝7个、斜交坝1个,不同坝体间定量规模存在差异,弯月坝长度介于1.5~3.0 km,斜交坝长度介于4.5~5.0 km,正向线性坝体长度大于6 km。坝砂间呈进积型及退积型叠置模式,C1小层坝体间呈进积侧向分隔型及进积侧向叠置型,海岸线迁移速率影响了砂坝间的叠置关系。数值模拟结果及露头资料表明砂坝内部增生体发育模式存在差异,其内部夹层分布模式包括顶积式分布、顶积—侧积式、间隔式3类,在C1小层识别出3类坝体内部夹层分布模式,16号坝体内部夹层呈“顶积—侧积式”的两段式分布特征,19号坝体内部夹层呈“侧积式”分布,顶积式与侧积式夹层的倾角分布区间为1°~3°、3°~7°,14、15号坝体间夹层呈“间隔式”分布,总结了哈得逊东河砂岩储层砂坝内部夹层的发育模式。 结论 精细表征海相砂质滩坝储层内部构型,可有效指导剩余油的挖潜。
2026, 44(2): 707-733.
doi: 10.14027/j.issn.1000-0550.2025.008
摘要:
目的 晚三叠世是中生代羌塘盆地演化的关键时期,但前人对盆地上三叠统的沉积学研究相对薄弱,不利于进一步认识晚三叠世沉积演化过程及预测源—储分布。 方法 在剖面实测基础上,结合薄片观察、砂岩粒度分析及典型沉积构造划分江爱达日那剖面上三叠统甲丕拉组、波里拉组及巴贡组沉积相,并建立盆地中部晚三叠世沉积演化模式;另外,结合全岩及黏土矿物、物性及总有机碳(TOC)含量初步评价研究区源—储特征。 结果 (1)江爱达日那剖面甲丕拉组—波里拉组—巴贡组向上经历了扇三角洲→无障壁海岸→碳酸盐缓坡→浅海陆棚→三角洲的演化过程,共识别出10个亚相和8个微相;(2)研究区上三叠统构成了向上变深再变浅的海侵—海退序列,其中海侵序列由甲丕拉组碎屑岩序列和波里拉组碳酸盐岩序列构成,海退序列由巴贡组碎屑岩序列构成;(3)研究区甲丕拉组及巴贡组砂岩均为超低孔超低渗储层,巴贡组泥岩为非—一般烃源岩,但向北烃源岩品质变好,结合最新古地理资料推测江爱达日那和沃若山之间洼地可能发育优质烃源岩,具有较好的勘探前景,但仍需予以证实。 结论 以上认识可为羌塘盆地晚三叠世沉积—构造演化研究及油气资源评价提供参考。
目的 晚三叠世是中生代羌塘盆地演化的关键时期,但前人对盆地上三叠统的沉积学研究相对薄弱,不利于进一步认识晚三叠世沉积演化过程及预测源—储分布。 方法 在剖面实测基础上,结合薄片观察、砂岩粒度分析及典型沉积构造划分江爱达日那剖面上三叠统甲丕拉组、波里拉组及巴贡组沉积相,并建立盆地中部晚三叠世沉积演化模式;另外,结合全岩及黏土矿物、物性及总有机碳(TOC)含量初步评价研究区源—储特征。 结果 (1)江爱达日那剖面甲丕拉组—波里拉组—巴贡组向上经历了扇三角洲→无障壁海岸→碳酸盐缓坡→浅海陆棚→三角洲的演化过程,共识别出10个亚相和8个微相;(2)研究区上三叠统构成了向上变深再变浅的海侵—海退序列,其中海侵序列由甲丕拉组碎屑岩序列和波里拉组碳酸盐岩序列构成,海退序列由巴贡组碎屑岩序列构成;(3)研究区甲丕拉组及巴贡组砂岩均为超低孔超低渗储层,巴贡组泥岩为非—一般烃源岩,但向北烃源岩品质变好,结合最新古地理资料推测江爱达日那和沃若山之间洼地可能发育优质烃源岩,具有较好的勘探前景,但仍需予以证实。 结论 以上认识可为羌塘盆地晚三叠世沉积—构造演化研究及油气资源评价提供参考。
2026, 44(2): 734-749.
doi: 10.14027/j.issn.1000-0550.2025.019
摘要:
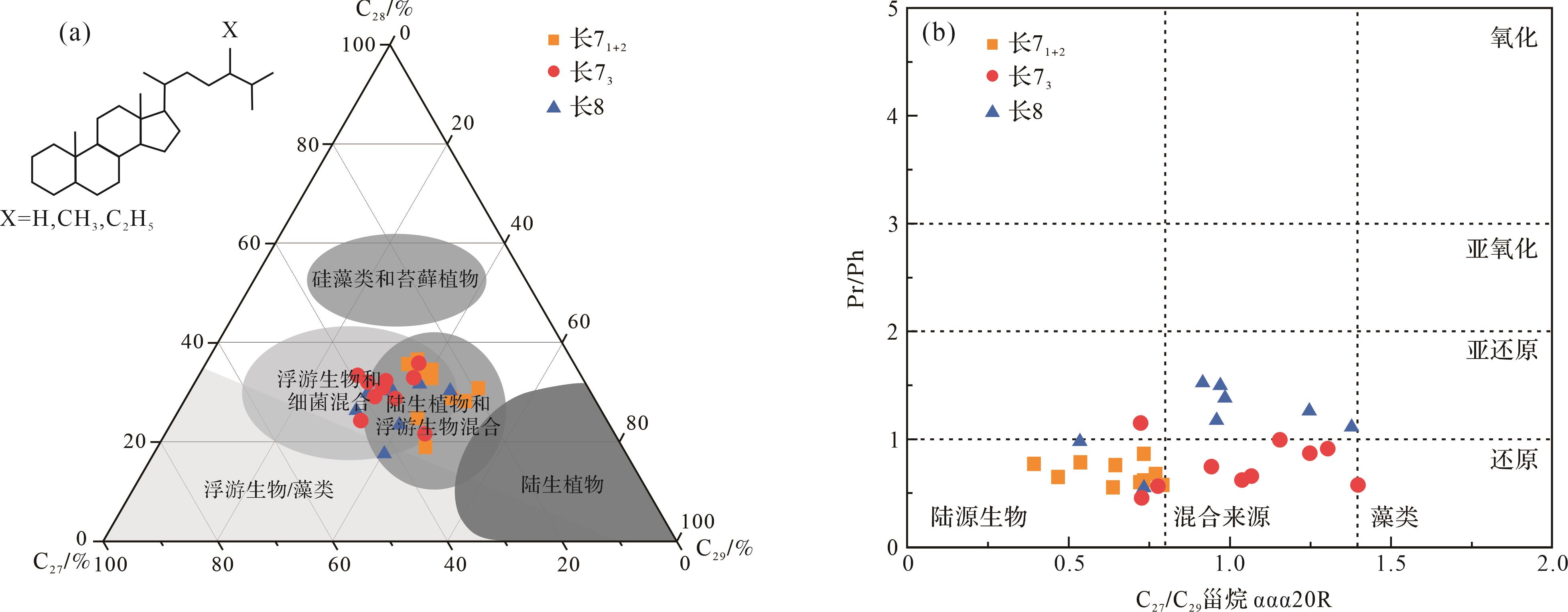
目的 卡尼期湿润幕事件(Carnian Pluvial Episode,CPE)对晚三叠世气候产生重大影响,暖湿气候促进丰富细粒沉积物形成和有机质富集。拟通过对鄂尔多斯盆地厚层富有机质黑色页岩的研究,揭示其延长组7段沉积期对CPE事件的响应特征。 方法 通过综合分析ZK903钻井资料,以生物标志化合物数据为核心,结合同位素、黏土矿物、主微量元素等多种分析手段,深入探讨了延长组7段至8段的古湖泊环境特征和有机质来源,建立了研究区该事件影响下的有机质富集模式。 结果 鄂尔多斯盆地长73段岩性由砂岩向黑色页岩转变,表明沉积期受到CPE事件的显著影响,有机质富集逐渐增强。生物标志化合物、微量元素及黏土矿物含量的变化表明研究区在该事件的影响下,气温升高降水增加,湖泊水面升高,水体稳定性提高加剧了水体分层,湖泊呈现淡水还原环境,同时湖泊生物群落结构发生变化,有机质来源以低等水生生物为主。 结论 CPE事件显著影响了研究区古气候背景及古湖泊水体沉积环境,稳定的水体分层环境下细粒沉积发育,也为该地区有机质富集提供了良好的生产力和保存条件,促进富有机质黑色页岩即油页岩的沉积。
目的 卡尼期湿润幕事件(Carnian Pluvial Episode,CPE)对晚三叠世气候产生重大影响,暖湿气候促进丰富细粒沉积物形成和有机质富集。拟通过对鄂尔多斯盆地厚层富有机质黑色页岩的研究,揭示其延长组7段沉积期对CPE事件的响应特征。 方法 通过综合分析ZK903钻井资料,以生物标志化合物数据为核心,结合同位素、黏土矿物、主微量元素等多种分析手段,深入探讨了延长组7段至8段的古湖泊环境特征和有机质来源,建立了研究区该事件影响下的有机质富集模式。 结果 鄂尔多斯盆地长73段岩性由砂岩向黑色页岩转变,表明沉积期受到CPE事件的显著影响,有机质富集逐渐增强。生物标志化合物、微量元素及黏土矿物含量的变化表明研究区在该事件的影响下,气温升高降水增加,湖泊水面升高,水体稳定性提高加剧了水体分层,湖泊呈现淡水还原环境,同时湖泊生物群落结构发生变化,有机质来源以低等水生生物为主。 结论 CPE事件显著影响了研究区古气候背景及古湖泊水体沉积环境,稳定的水体分层环境下细粒沉积发育,也为该地区有机质富集提供了良好的生产力和保存条件,促进富有机质黑色页岩即油页岩的沉积。
2026, 44(2): 750-769.
doi: 10.14027/j.issn.1000-0550.2025.020
摘要:
目的 准噶尔盆地中部地区地质条件多变,原油性质复杂,为了解决该地区原油类型划分和油气来源问题,对准中混源油进行原油正构烷烃氢同位素组成(δ2Halk)研究。 方法 应用GC-MS、GC-IRMS、GC-TC-IRMS技术,对来自不同层位的27个原油饱和烃进行了生物标志化合物分析和正构烷烃单体氢同位素测试。 结果 将准中地区原油划分出三种类型:Ⅰ类原油来自下侏罗统八道湾组(J1b)煤系烃源岩,由于有大量陆源高等植物有机质输入,其氢同位素最轻;Ⅱ类原油主要来自下二叠统风城组(P1f)烃源岩,其中ⅡA原油来自海陆过渡环境的潟湖相沉积,Ga/C30H低,氢同位素较重,ⅡB原油正构烷烃氢同位素较轻,Ga/C30H比值较高;Ⅲ类原油主要来自中二叠统下乌尔禾组(P2w)烃源岩,正构烷烃氢同位素轻。 结论 将正构烷烃氢同位素与生物标志化合物手段相结合,可以精细划分原油类型,明确其来源,对整个准噶尔盆地油气勘探起到追踪油源并进行原油分类的作用。
目的 准噶尔盆地中部地区地质条件多变,原油性质复杂,为了解决该地区原油类型划分和油气来源问题,对准中混源油进行原油正构烷烃氢同位素组成(δ2Halk)研究。 方法 应用GC-MS、GC-IRMS、GC-TC-IRMS技术,对来自不同层位的27个原油饱和烃进行了生物标志化合物分析和正构烷烃单体氢同位素测试。 结果 将准中地区原油划分出三种类型:Ⅰ类原油来自下侏罗统八道湾组(J1b)煤系烃源岩,由于有大量陆源高等植物有机质输入,其氢同位素最轻;Ⅱ类原油主要来自下二叠统风城组(P1f)烃源岩,其中ⅡA原油来自海陆过渡环境的潟湖相沉积,Ga/C30H低,氢同位素较重,ⅡB原油正构烷烃氢同位素较轻,Ga/C30H比值较高;Ⅲ类原油主要来自中二叠统下乌尔禾组(P2w)烃源岩,正构烷烃氢同位素轻。 结论 将正构烷烃氢同位素与生物标志化合物手段相结合,可以精细划分原油类型,明确其来源,对整个准噶尔盆地油气勘探起到追踪油源并进行原油分类的作用。
2026, 44(2): 770-784.
doi: 10.14027/j.issn.1000-0550.2024.084
摘要:
目的 天文轨道参数引起的气候变化与海洋、湖泊的沉积演化及生物更替关系密切,进而影响地层中有机质富集。华北晚古生代含煤岩系发育煤、泥岩、粉砂岩、砂岩和灰岩等组成的多个沉积旋回,是当前油气勘探开发的重要层系。本次研究通过天文旋回的沉积响应,探究华北晚古生代古气候及有机质富集特征,并系统揭示该套含煤岩系中有机质富集的天文轨道周期控制机制。 方法 基于华北西部4口井自然伽马测井序列(采样间距0.05 m)和1口井连续矿物元素测试结果(采样间距1 m),结合天文旋回时间序列和典型样品元素地球化学分析,明确了有机质在不同尺度地层旋回中的富集规律。 结果 (1)石炭系—二叠系本溪组、太原组和山西组中可识别出6个1.2 Myr超长斜率旋回和18个405 kyr长偏心率旋回;(2)采用Mg/Ca、SiO2/Al2O3、Fe/Mn和V/(V+Ni)作为古气候及古氧化还原替代指标,识别出6次长周期变化以及18次中周期变化,与超长斜率和长偏心率保持对应关系;(3)本溪组—山西组沉积期古环境指标与有机碳含量对比结果显示,古气候演化与有机质富集基本同步,均受控于天文轨道周期,在超长斜率增大或长偏心率增大时期,气候温暖湿润,水体还原性增强,促进有机质富集。 结论 研究揭示了天文轨道周期调控下的华北石炭纪—二叠纪气候变化及其约束下的富有机质层系发育规律,发现同期古气候变化明显受长偏心率约束,相关认识可为二叠纪全球气候演化及有机质富集机制研究提供借鉴。
目的 天文轨道参数引起的气候变化与海洋、湖泊的沉积演化及生物更替关系密切,进而影响地层中有机质富集。华北晚古生代含煤岩系发育煤、泥岩、粉砂岩、砂岩和灰岩等组成的多个沉积旋回,是当前油气勘探开发的重要层系。本次研究通过天文旋回的沉积响应,探究华北晚古生代古气候及有机质富集特征,并系统揭示该套含煤岩系中有机质富集的天文轨道周期控制机制。 方法 基于华北西部4口井自然伽马测井序列(采样间距0.05 m)和1口井连续矿物元素测试结果(采样间距1 m),结合天文旋回时间序列和典型样品元素地球化学分析,明确了有机质在不同尺度地层旋回中的富集规律。 结果 (1)石炭系—二叠系本溪组、太原组和山西组中可识别出6个1.2 Myr超长斜率旋回和18个405 kyr长偏心率旋回;(2)采用Mg/Ca、SiO2/Al2O3、Fe/Mn和V/(V+Ni)作为古气候及古氧化还原替代指标,识别出6次长周期变化以及18次中周期变化,与超长斜率和长偏心率保持对应关系;(3)本溪组—山西组沉积期古环境指标与有机碳含量对比结果显示,古气候演化与有机质富集基本同步,均受控于天文轨道周期,在超长斜率增大或长偏心率增大时期,气候温暖湿润,水体还原性增强,促进有机质富集。 结论 研究揭示了天文轨道周期调控下的华北石炭纪—二叠纪气候变化及其约束下的富有机质层系发育规律,发现同期古气候变化明显受长偏心率约束,相关认识可为二叠纪全球气候演化及有机质富集机制研究提供借鉴。
2026, 44(2): 785-798.
doi: 10.14027/j.issn.1000-0550.2024.102
摘要:
目的 近年来准东地区石钱滩凹陷石钱滩组海相碎屑岩新类型天然气藏勘探获得重大突破,明确石钱滩组沉积特征与模式,可以为石钱滩凹陷下步油气勘探提供依据。 方法 在等时层序划分和对比的基础上恢复了石钱滩组沉积古地貌,并结合地震相、连井剖面和岩心、薄片等资料识别了不同沉积相,恢复了沉积体系演化过程,建立了沉积演化模式。 结果与结论 石钱滩组发育一个完整的三级层序,结合古地貌坡折可划分为早期海侵域、晚期海侵域和高位域。石钱滩组沉积期凹陷整体为一个北西—南东走向的狭长海槽,发育裂陷海槽、多级坡折缓斜坡、断控陡坡以及侵蚀沟谷等多种古地貌类型。通过典型测录井资料、岩心及地震相特征,识别出近岸水下扇、扇三角洲、斜坡扇、盆底扇等沉积相类型。古地貌对沉积相分布具有明显控制作用,扇三角洲和近岸水下扇主要分布在南部断控陡坡带附近,斜坡扇主要发育在北部多级坡折缓坡带之上,而盆底扇则主要发育在海槽之中。整个沉积过程形成了在快速海侵背景下多期“叠瓦式退积”的海底扇—斜坡扇沉积和高位域连片辫状河三角洲沉积的演化模式。海侵域发育优质成熟烃源岩,北部缓坡带“源上”和“源侧”的盆底扇和斜坡扇与海相优质烃源岩可形成“指状交互”型的有利源储配置,成藏条件优越,是下步隐蔽油气勘探的有利目标。
目的 近年来准东地区石钱滩凹陷石钱滩组海相碎屑岩新类型天然气藏勘探获得重大突破,明确石钱滩组沉积特征与模式,可以为石钱滩凹陷下步油气勘探提供依据。 方法 在等时层序划分和对比的基础上恢复了石钱滩组沉积古地貌,并结合地震相、连井剖面和岩心、薄片等资料识别了不同沉积相,恢复了沉积体系演化过程,建立了沉积演化模式。 结果与结论 石钱滩组发育一个完整的三级层序,结合古地貌坡折可划分为早期海侵域、晚期海侵域和高位域。石钱滩组沉积期凹陷整体为一个北西—南东走向的狭长海槽,发育裂陷海槽、多级坡折缓斜坡、断控陡坡以及侵蚀沟谷等多种古地貌类型。通过典型测录井资料、岩心及地震相特征,识别出近岸水下扇、扇三角洲、斜坡扇、盆底扇等沉积相类型。古地貌对沉积相分布具有明显控制作用,扇三角洲和近岸水下扇主要分布在南部断控陡坡带附近,斜坡扇主要发育在北部多级坡折缓坡带之上,而盆底扇则主要发育在海槽之中。整个沉积过程形成了在快速海侵背景下多期“叠瓦式退积”的海底扇—斜坡扇沉积和高位域连片辫状河三角洲沉积的演化模式。海侵域发育优质成熟烃源岩,北部缓坡带“源上”和“源侧”的盆底扇和斜坡扇与海相优质烃源岩可形成“指状交互”型的有利源储配置,成藏条件优越,是下步隐蔽油气勘探的有利目标。