
对于这个世界,沙子收藏记载的是漫长侵蚀后所剩的残留,是最后的物质,是对于世界繁杂、多样外表的否定。
——《收藏沙子的旅人》
01 什么是砾-砂过渡(GST)
在我们朝夕相处的蓝色星球上,地表的岩石经受风化和侵蚀会形成碎屑,奔腾不息的河流负责将这些山区剥蚀下来的物质运往广袤无垠的海洋、湖泊、沙漠,构成沉积物的“源-汇”系统。陆源碎屑沉积物,本文的主角,可以按照粒度大小进行区分(图1)。粒度>2 mm称为砾,粒度在0.063~2 mm之间称为砂。它们在地势较陡的山区最初被剥蚀时,往往呈较大块的基岩基岩块状或巨大卵石状,但在随后的流水搬运中,由于磨损与分选等作用,陆源碎屑沉积物会逐渐变细,减小至砾石或砂,乃至粉砂、黏土。

图1 河流沉积物(图源网络)
庞大的河流家族中,河床沉积物主要呈砾石大小的被称为砾石质河流。对于这些广泛分布的砾石质河流,研究者们发现,无横向物质输入进行干扰时,河床表面的砾石会呈现指数式减小(Sternberg定律,由德国科学家Sternberg H.在1875年发现,以下称为砾石质河流细化规律)。在这样的一般细化规律控制下,砾石粒度往往在1公里至数十公里内减半。
然而,上世纪50年代日本科学家发现,当砾石减小至10~20 mm时,河床沉积物会出现一个突兀的粒度转变(Yatsu, 1955)。它能在短距离内以更强的细化能力,减小为较粗的砂。此时,河流往往出现相应的坡折,河床也随即从砾石质转为砂质。这个随后被证实为在世界范围内普遍出现的河流粒度突变现象,就是本文所介绍的砾-砂过渡,也即gravel-sand transition,简写为GST。
GST现象看似简单,却跳出了砾石质河流细化规律的桎梏,成为不同河道类型、沉积物搬运机制、河道比降和河道形态的阈值边界(Frings, 2011),是河流地貌学中悬而未决的难题之一。自发现以来,它引起越来越多研究人员的注意。时至今日,尽管GST研究并未完全成熟,但与之相关的若干关键问题,已基本厘清。下面听我娓娓道来。
02 GST的基本特征
早在1995年,Smith and Ferguson对河流砾-砂过渡现象展开详细研究。他们发现,从小型曲流河到大型辫状河,GST能出现在各种河道类型和地理环境中,且在现代河流和古代沉积中观察到相似性。因而,这一现象被认为在空间尺度和时间尺度上都具有普适性。此外,GST往往发生在较短的距离内(河道宽度的几倍),发生时由砾、砂双峰沉积物组成,且伴随相应坡折。这在随后的诸多研究中成为共识,被认为是GST的一般特征。
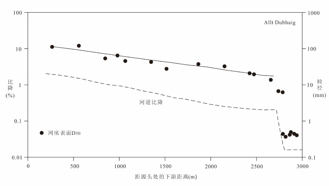
小型河流自身复杂性较小,由于没有显著的横向物质输入,其内的砾石质河流细化规律不会被干扰,能帮助我们更好地走近GST。苏格兰的Allt Dubhaig长约4 km,是一条规模较小的曲流河,流量与物质输入情况都比较简单,正是理想调研对象。研究人员发现,源头处下游2.7 km处,砾石质河流细化规律不再适用。图2中,可以看到粒径出现迅速的细化。河床表面沉积物的中值粒径D50(沉积物中50%的颗粒比该粒径细,图6处含义相同)在仅仅250 m左右的距离内,从15 mm的砾石下降为不足0.5 mm的砂。除粒径外,河道比降也在相对较短的距离内,呈现出一个数量级的突兀变化。

图2 GST现象的一般特征(Allt Dubhaig案例;修改自Smith and Ferguson, 1995)
从折线图上初步了解GST惊人的细化能力后,我们可以近距离观察它的“庐山真面目”。图3展示了Allt Dubhaig河流GST附近的河床表面示意图。可以看到,这部分河床由双峰的砾、砂沉积物构成,它们以舌状相邻分布。河流自源头冲积而来,经过最后一个小砾石坝后(此时砂的数量较少,只存在于坝尾),河床沉积物粒径的双峰性逐渐增强:从开始的以砾石为主,到双峰砾、砂,再到单峰砂。我们还能注意到一个曲流河中经常出现的有趣现象,整体来看,砾石主要分布在深潭,砂主要分布在浅滩。这就是曲流河弯道处常见的深潭—浅滩结构(pool-riffle structure)。砾砂之间本来“泾渭分明”,但由于砂层粗糙度减小,砾石在其表面流动性增强,会发生过界(overpassing),分布在逐渐形成的砂条纹或更下游的砂层上。

图3 GST中的河床变化(Allt Dubhaig案例;修改自Smith and Ferguson, 1995)
对于其他小型河流,无显著横向物质输入时,它们的GST表现较为相似,都相对“突兀”。在下游快速转变为完全的砂层前,会产生一个“受阻”的砾石前缘,这是由于砾石已无法被河流继续搬运,只能堆积形成楔形体。然而,当我们将视线移向大型河流,无显著横向物质输入时,大型河流GST的表现有所不同,其发生往往存在一定的延后。相应的,对大型河流的研究也陆续观察到不那么“突兀”的砾-砂过渡(Venditti and Church, 2014)。
加拿大的Fraser河作为大型河流梯队中的代表,与全长只有大约4 km的Allt Dubhaig截然不同。它全长约1 400 km,规模远远超过前者。可喜的是,它的下游段物源基本恒定,同样适合对GST展开研究。与小型河流类似,这里出现一个终止的砾石前缘。这表明砾石的流动性大大降低,无法向下游前进。引起研究人员注意的是,Fraser河在“突兀”的GST段(约1.5 km)下游,还分布着长约52 km的“扩散延伸段”。这里不同于小型河流,河床尚未转变为完全的砂层。相反,由于在粗糙度较低的砂层上流动性增强,仍有四分之一的样品存在少量砾石,它们以斑块(patch)的形式出现在砂质河床上。
大型河流中GST的不同表现极大地激发了研究人员的热情,他们从对河流比降的观察中发现,Fraser河水面比降的骤降,基本意味着GST的开始。而GST完成后,河床比降才从砾石质河床中的0.043%下降为砂质河床中的0.010%。但总的来说,由于大型河流中复杂因素较多,研究难度较大,目前,其对GST的响应还有待调研。
“没有人是一座孤岛”,河流系统也不是孤立的。与以上两种类型相异,还存在一种被大量横向物质干扰的河流GST。此时,粒径还没来得及“按部就班”地减小至10~20 mm的砾石时,砾石质河流细化规律便被“提前打断”。澳大利亚塔斯马尼亚岛东北部的Ringarooma河(图4),正是在接收了超过4千万立方米(相当于下Fraser河砾石通量的400倍)采矿废料后,由于输入物质大多在1~2 mm左右,比自然河床物质(平均粒径为30~35 mm)小得多,出现这一类型的GST。

图4 被提前打断的砾石质河流细化规律(Ringarooma案例;修改自Knighton, 1991)
03 GST的发生机理
对不同类型的河流GST有了基本认识后,我们不由得好奇,GST意味着缺乏某一粒径区间的沉积物,这种粒径空缺(grain size gap)是本身就存在,还是河流在部分水力条件或沉积供应改变后的结果?直观上,GST的出现与外力作用似乎存在一目了然的关联,如坡折和过量的沉积输入。但与此同时,GST很可能与河流系统搬运沉积物时的某些固有规律相关,因为有研究人员在世界范围的河流内,稳定观察到大约2~10 mm的河床物质缺乏(图5)。

图5 世界范围内单线河流普遍存在的粒径空缺(左,修改自Lamb and Venditti, 2016)及粒径突变的成因解释(右,据Smith and Ferguson, 1995)
不难好奇,GST处为什么会发生粒径突变?如前所述,河流物质在下游搬运中会由于磨损和分选的共同作用而逐渐变细。有没有这样一种可能:流量较大的大型河流中,一些在2~10 mm左右优先分解的岩石,会因为磨损产生大量砂级别产物,后者在河流进入下游的低能量环境后,由于无法被悬浮搬运而大量沉积(图5)。由此,河床物质会表现出GST范围内的粒径突变。但这一假说逐渐由于实际作用强度和普适性,遭到后续研究的质疑。
那么,考虑逻辑上更直观的外界干扰。我们会发现,回水或构造作用等外力下,河流出现坡折,此时水面比降降低,河流搬运能力(指能搬运物质的最大粒径)下降,河流对砾石的搬运开始“心有余而力不足”,反馈机制进一步导致砂的相对流动性显著增大,河流能够快速转变为砂层。亦或是横向大量输入沉积物时,河流搬运量(搬运物质的最大量)到达极限,砾石会被大量涌入的砂阻塞,流动性明显降低,而与此同时,大量砂也难以被搬运,短距离内快速沉积,实现GST。
以上分析,均可以解释河流GST的发生。然而,回过头看,我们会产生另一个疑问,粒度突变为什么稳固地发生在2~10 mm范围?若重新审视围绕河流砾-砂过渡的相关讨论,不难意识到,其核心在于砾砂流动性的显著差异。不管是砾石流动性减弱,砂增强,还是砾砂流动性同时降低,但前者降幅更大,都意味着砂的相对流动性增大,更利于被搬运至下游。2~10 mm的粒度空缺,恰恰在砾、砂粒度阈值的附近。我们有没有可能从河流对砾砂的搬运机制中寻求解答?因此,除前述的外显控制因素外,研究人员尝试从河流内部固有规律出发。
要知道,河流受颗粒粒径等因素影响,本就以不同的荷载形式搬运沉积物,这可以造成砾砂流动性的不同。通常来说,砾石以跳跃、滚动的方式沿河床被推移搬运,砂则能够在水中被悬浮搬运。其原理是,不同颗粒存在各自的临界剪切应力,当河床的实际剪切应力大于颗粒的临界剪切应力(critical shear stress)时,颗粒就能够作为推移质被搬运,反之则无法移动。决定砂能否被悬浮搬运的机理也类似。而砾石的临界剪切应力比砂大,这意味着相同条件下砾石的流动性小于砂。
推移搬运过程最先受到研究。Ferguson(2003)的数值模拟提出,正因为河流推移质尺寸与其临界剪切应力之间存在非线性关系,且在不同临界情况下存在阈值(如较细的砾与较粗的砂),才使得河床实际剪切应力降低时,河流对砾砂沉积物的搬运能力并非同步变化,这导致尺寸性分选被不断加强。此时,砾砂流动性的差别愈发加大,河床上的砾石无法继续前进,堆积形成楔形体,GST得以在2~10 mm发生。

图6 冲刷荷载假说示意图(修改自Lamb and Venditti, 2016)
推移质搬运过程影响分选作用的观点,一直主导着河流GST成因中固有规律部分的研究。近几年提出的“冲刷荷载假说”(Lamb and Venditti, 2016),则把研究视线从推移质转往水中的悬浮质(图6)。冲刷质(wash load)指在河床上代表性极少的悬浮物质,不包括河床表面再悬浮的部分。这一观点认为,满岸流量下,河床剪切速度在大约0.1 m/s时,河流以冲刷质方式搬运砂的能力会突然下降,此时对应的河床中值粒径恰好在2~10 mm范围。
这意味着当剪切速度大于0.1 m/s时,河流完全有能力以冲刷方式搬运砂,河床物质得以维持在砾石范围内;而一旦剪切速度小于0.1 m/s,河流以冲刷质搬运砂的能力急剧减小,砂从冲刷质转为底荷载,大量沉积在河床上。这一模型较好地与Fraser河等其他野外实例吻合。简而言之,该假说认为GST是河床剪切速度下降到约 0.1 m/s时的自然结果,无需坡折等外力作用。
04 GST的潜在意义
作为河流演化中的特殊沉积现象,GST自发现起备受河流研究学者的关注,在河流动力学、地貌学、沉积学上都非常重要。目前,研究者通过理论公式、现代河流观测、水槽实验研究、数值模型等传统手段,在GST的基本特征、发生机理方面已经取得较大进展。
GST具有空间普适性的共识也逐步受到印证,陆续在世界各地(欧洲:苏格兰、英格兰、意大利、荷兰、德国、罗马尼亚;亚洲:中国、日本、喜马拉雅地区;美洲:美国、加拿大、智利;大洋洲:澳大利亚、新西兰、巴布亚新几内亚)河流中有报道。
而作为砾石质河流与砂质河流间的阈值状态,GST前后能够观察到显著的河型与水力特征转变。它调整泥沙运移情况,影响上下游的河道稳定性和河漫滩再循环速率(Dingle et al., 2019),对人类生存和社会经济活动具有重大意义。古今沉积相似性和GST的近源性,意味着它对沉积环境解译和物源研究也具有指示意义。
迄今为止,随着研究的日趋成熟,GST调研区域向难度更大的大型河流转变,机理分析也更关注河流内部的自生性研究。逐渐受到青睐的卫星图像分析等新型技术,还有近期在安第斯流域内观察到的基岩—砾—砂、基岩—砂过渡盆地互相穿插的特别现象,都意味着其研究还有亟待探明的前进方向。
本文第一作者系南京大学硕士研究生。本文属作者认识,相关工作于《沉积学报》上发表,问题交流可通过邮箱1328481187@qq.com与本人联系。欲知更多详情,请进一步阅读下列参考文献。
主要参考文献
[1] 张艺秋, 胡修棉. 河流砾—砂过渡(GST)研究进展[J/OL]. 沉积学报. http://kns.cnki.net/kcms/detail/62.1038.P.20211014.2031.002.html.
[2] Dingle E, Kusack K, Venditti J G. Controls on the global distribution of gravel-sand transitions[C]//American geophysical union, fall meeting 2019. San Francisco, United States: AGU, 2019.
[3] Ferguson R I. Emergence of abrupt gravel to sand transitions along rivers through sorting processes[J]. Geology, 2003, 31(2): 159-162.
[4] Frings R M. Sedimentary characteristics of the gravel–sand transition in the River Rhine[J]. Journal of Sedimentary Research, 2011, 81(1): 52-63.
[5] Knighton A D. Channel bed adjustment along mine-affected rivers of northeast Tasmania[J]. Geomorphology, 1991, 4(3/4): 205-219.
[6] Lamb M P, Venditti J G. The grain size gap and abrupt gravel-sand transitions in rivers due to suspension fallout[J]. Geophysical Research Letters, 2016, 43(8): 3777-3785.
[7] Smith G H S, Ferguson R I. The gravel-sand transition along river channels[J]. Journal of Sedimentary Research, 1995, 65(2a): 423-430.
[8] Venditti J G, Church M. Morphology and controls on the position of a gravel‐sand transition: Fraser River, British Columbia [J]. Journal of Geophysical Research: Earth Surface, 2014, 119(9): 1959-76.
[9] Yatsu E. On the longitudinal profile of the graded river[J]. Eos, Transactions American Geophysical Union, 1955, 36(4): 655-663.


