Current Issue
2026 Vol. 44, No. 2
Display Method:
2026, 44(2): 405-414.
doi: 10.14027/j.issn.1000-0550.2024.051
Abstract:
Objective The high-resolution climate reconstruction of Liaodong Peninsula is important for exploring the evolution of regional climate environment and high-quality development. The sedimentary environment of the Liaodong Peninsula is diverse and complex, studies on the types and sequence characteristics of sediments in different periods in small areas is lack. The aim of this study is to reconstruct the sedimentary environment and climate history by studying the sediments of the west coast of Dalian. Methods By analyzing AMS14C dating, lithology, and geochemical elements of the Laoyuwo (LYW) section to reveal the evolution of sedimentary environment and paleo-climate of the region. Results The sediment is mainly composed of sand, silt, and gravel, which recorded sedimentary environment and paleoclimate evolution information from the Last Glacial Maximum (LGM) to the Middle Holocene (18 815-6 802 cal. a B.P.). The main chemical components in the profile are SiO2, Al2O3, K2O, and Fe2O3, the total content of which is 90.34%. The contents of major elements from large to small are SiO2>Al2O3> K2O>Fe2O3>Na2O>CaO>TiO2>MgO>P2O5>MnO. The sedimentary records shows that the region experienced a dry and cold alluvial (18.8 cal. ka B.P.-late LGM), slightly warm and humid coastal intertidal (18.8-16.0 cal. ka B.P.), warm and humid coastal subtidal (18.8-16.0 cal. ka B.P.), warm and humid coastal subtidal(16.0-11.7 cal. ka B.P.), warmest and wettest coastal salt marsh (11.7-6.8 cal. ka B.P.), and dry and cold fluvial environment (6.8-0 cal. ka B.P.). The highest sea level around 6.8 cal. ka B.P. and the rapid climatic events during Younger Dryas (DY) and 8.0-9.0 ka are also responses in the sediment. Conclusions This study provides basic data and information for the Holocene climate reconstruction of Liaodong Peninsula, particularly for the sedimentary environment evolution history of the west coast of Dalian.
Objective The high-resolution climate reconstruction of Liaodong Peninsula is important for exploring the evolution of regional climate environment and high-quality development. The sedimentary environment of the Liaodong Peninsula is diverse and complex, studies on the types and sequence characteristics of sediments in different periods in small areas is lack. The aim of this study is to reconstruct the sedimentary environment and climate history by studying the sediments of the west coast of Dalian. Methods By analyzing AMS14C dating, lithology, and geochemical elements of the Laoyuwo (LYW) section to reveal the evolution of sedimentary environment and paleo-climate of the region. Results The sediment is mainly composed of sand, silt, and gravel, which recorded sedimentary environment and paleoclimate evolution information from the Last Glacial Maximum (LGM) to the Middle Holocene (18 815-6 802 cal. a B.P.). The main chemical components in the profile are SiO2, Al2O3, K2O, and Fe2O3, the total content of which is 90.34%. The contents of major elements from large to small are SiO2>Al2O3> K2O>Fe2O3>Na2O>CaO>TiO2>MgO>P2O5>MnO. The sedimentary records shows that the region experienced a dry and cold alluvial (18.8 cal. ka B.P.-late LGM), slightly warm and humid coastal intertidal (18.8-16.0 cal. ka B.P.), warm and humid coastal subtidal (18.8-16.0 cal. ka B.P.), warm and humid coastal subtidal(16.0-11.7 cal. ka B.P.), warmest and wettest coastal salt marsh (11.7-6.8 cal. ka B.P.), and dry and cold fluvial environment (6.8-0 cal. ka B.P.). The highest sea level around 6.8 cal. ka B.P. and the rapid climatic events during Younger Dryas (DY) and 8.0-9.0 ka are also responses in the sediment. Conclusions This study provides basic data and information for the Holocene climate reconstruction of Liaodong Peninsula, particularly for the sedimentary environment evolution history of the west coast of Dalian.
2026, 44(2): 415-424.
doi: 10.14027/j.issn.1000-0550.2024.058
Abstract:
Objective The Tianshan Mountains in Xinjiang are located in the inner part of the Asia-Europe continent in the transition zone between the westerly and monsoon circulations. They are sensitive to climate change. Researchers remain divided on the Holocene environmental evolution in the region, and supplementing more high-resolution climatic records in the sensitive areas is the basis for clarifying this issue. Methods Samples were taken from the Middle Tianshan Intermountain Basin, and we reconstructed the vegetation and climate change processes in the study area since the Middle and Late Holocene based on the AMS14C dating results and using sporadic pollen as a paleoclimate proxy. Results From 6 369-3 601 cal a B.P.: The period of Artemisia and Chenopodium was characterized by high content, positive pollen principal component analysis (PCA) 1 scores, and wet-dry fluctuations in the climate, with dryness as the dominant factor and abrupt climate change. From 3 601-2 512 cal a B.P: The period of spruce Picea content was characterized by elevated content, positive pollen PCA 2 scores, and a cold-wet climate. From 2 512-1 016 cal a B.P: The period of Betula was characterized by increased content, positive pollen PCA 1 transition scores, and a warm dry climate. Conclusions The three pollen zones indicate that the Middle and Late Holocene climate in the Zhongtianshan Intermontane Basin went through three phases of wet-dry fluctuations (off-dry)-cold-wet-warm-dry. Since the Middle to Late Holocene, the study area has received less solar radiation in summer, weak evaporation from the North Atlantic sea surface, and low water vapor carried by the westerly circulation; thus, the climate has been arid. In the early Late Holocene, the westerly circulation shifted to the south. The superimposed negative phase of the North Atlantic Oscillation (NAO) transported large amounts of water vapor, and the climate was cold and humid. Then, the climate became warm and dry owing to the increase of solar radiation in the late winter. The abrupt climate change characterized by cold and dry conditions during 4 766-3 601 cal a B.P. was a response to the “4.2 ka B.P.” climatic event, which may have been caused by the weakening of the westerly circulation due to the weakening of solar radiation, the intensification of the cold in the middle and high latitudes, and the lowering of the sea surface temperature in the North Atlantic Ocean.
Objective The Tianshan Mountains in Xinjiang are located in the inner part of the Asia-Europe continent in the transition zone between the westerly and monsoon circulations. They are sensitive to climate change. Researchers remain divided on the Holocene environmental evolution in the region, and supplementing more high-resolution climatic records in the sensitive areas is the basis for clarifying this issue. Methods Samples were taken from the Middle Tianshan Intermountain Basin, and we reconstructed the vegetation and climate change processes in the study area since the Middle and Late Holocene based on the AMS14C dating results and using sporadic pollen as a paleoclimate proxy. Results From 6 369-3 601 cal a B.P.: The period of Artemisia and Chenopodium was characterized by high content, positive pollen principal component analysis (PCA) 1 scores, and wet-dry fluctuations in the climate, with dryness as the dominant factor and abrupt climate change. From 3 601-2 512 cal a B.P: The period of spruce Picea content was characterized by elevated content, positive pollen PCA 2 scores, and a cold-wet climate. From 2 512-1 016 cal a B.P: The period of Betula was characterized by increased content, positive pollen PCA 1 transition scores, and a warm dry climate. Conclusions The three pollen zones indicate that the Middle and Late Holocene climate in the Zhongtianshan Intermontane Basin went through three phases of wet-dry fluctuations (off-dry)-cold-wet-warm-dry. Since the Middle to Late Holocene, the study area has received less solar radiation in summer, weak evaporation from the North Atlantic sea surface, and low water vapor carried by the westerly circulation; thus, the climate has been arid. In the early Late Holocene, the westerly circulation shifted to the south. The superimposed negative phase of the North Atlantic Oscillation (NAO) transported large amounts of water vapor, and the climate was cold and humid. Then, the climate became warm and dry owing to the increase of solar radiation in the late winter. The abrupt climate change characterized by cold and dry conditions during 4 766-3 601 cal a B.P. was a response to the “4.2 ka B.P.” climatic event, which may have been caused by the weakening of the westerly circulation due to the weakening of solar radiation, the intensification of the cold in the middle and high latitudes, and the lowering of the sea surface temperature in the North Atlantic Ocean.
2026, 44(2): 425-440.
doi: 10.14027/j.issn.1000-0550.2024.034
Abstract:
Objective The magnetic susceptibility and chroma of sediments have been widely used as climate proxies to restore the paleoclimate environment. It is important to study the change mechanism of these parameters in different environments for paleoclimate restoration. Methods The sampling and measurement of surface soil magnetic susceptibility and chroma were conducted in the western Qilian Mountains, northwestern China. The variation characteristics of magnetic susceptibility and chroma with precipitation, temperature, and altitude and the functional relationship between magnetic susceptibility and chroma and climate factors and altitude were established through regression analysis. Results The results showed that: (1) The magnetic susceptibility of surface soil in the western Qilian Mountains showed a significant nonlinear relationship with mean annual temperature and precipitation. When the mean annual precipitation was less than 300 mm and mean annual temperature was lower than 0 ℃, the magnetic susceptibility showed a significant negative correlation with them. When the mean annual precipitation was greater than 300 mm and the mean annual temperature was higher than 0 ℃, the magnetic susceptibility shows a significant positive correlation. In addition, there was a significant linear negative correlation between magnetic susceptibility and altitude, and the negative correlation between magnetic susceptibility and altitude was more significant in the low altitude region (1 600-3 300 m). Finally, the functional relationship between surface soil magnetic susceptibility, mean annual precipitation, and mean annual moderate altitude in the western Qilian Mountains was established through regression analysis. (2) There is a significant correlation between the brightness of the surface soil in the western Qilian Mountains and the yellowness, indicating that the yellowness has a greater influence on the brightness than the redness in the western Qilian Mountains. The relative content of goethite in the surface soil is higher than that of hematite, corresponding to the overall yellowish brown color of the surface soil. Chroma (brightness, redness, and yellowness) has no evident relationship with temperature and precipitation. Brightness and altitude showed a significant negative correlation, and the low altitude area (1 600-3 300 m) was more sensitive. Conclusions In comparison, the magnetic susceptibility of surface soil in the western Qilian Mountains can better reflect the information of climate and elevation in the western Qilian Mountains than chroma. For the changes of magnetic susceptibility, chroma, and altitude, the relationship between brightness and altitude is more significant in the low altitude area (1 600-3 300 m), followed by yellowness and magnetic susceptibility. In the high altitude area (3 700-4 300 m), the relationship between redness and brightness and altitude is more significant. Thus, to establish the relationship between a single index and climatic factors in the western part of Qilian Mountains, it is necessary to consider the influence of local climate, terrain, and even primitive rock on the magnetic susceptibility and colorimetry indexes.
Objective The magnetic susceptibility and chroma of sediments have been widely used as climate proxies to restore the paleoclimate environment. It is important to study the change mechanism of these parameters in different environments for paleoclimate restoration. Methods The sampling and measurement of surface soil magnetic susceptibility and chroma were conducted in the western Qilian Mountains, northwestern China. The variation characteristics of magnetic susceptibility and chroma with precipitation, temperature, and altitude and the functional relationship between magnetic susceptibility and chroma and climate factors and altitude were established through regression analysis. Results The results showed that: (1) The magnetic susceptibility of surface soil in the western Qilian Mountains showed a significant nonlinear relationship with mean annual temperature and precipitation. When the mean annual precipitation was less than 300 mm and mean annual temperature was lower than 0 ℃, the magnetic susceptibility showed a significant negative correlation with them. When the mean annual precipitation was greater than 300 mm and the mean annual temperature was higher than 0 ℃, the magnetic susceptibility shows a significant positive correlation. In addition, there was a significant linear negative correlation between magnetic susceptibility and altitude, and the negative correlation between magnetic susceptibility and altitude was more significant in the low altitude region (1 600-3 300 m). Finally, the functional relationship between surface soil magnetic susceptibility, mean annual precipitation, and mean annual moderate altitude in the western Qilian Mountains was established through regression analysis. (2) There is a significant correlation between the brightness of the surface soil in the western Qilian Mountains and the yellowness, indicating that the yellowness has a greater influence on the brightness than the redness in the western Qilian Mountains. The relative content of goethite in the surface soil is higher than that of hematite, corresponding to the overall yellowish brown color of the surface soil. Chroma (brightness, redness, and yellowness) has no evident relationship with temperature and precipitation. Brightness and altitude showed a significant negative correlation, and the low altitude area (1 600-3 300 m) was more sensitive. Conclusions In comparison, the magnetic susceptibility of surface soil in the western Qilian Mountains can better reflect the information of climate and elevation in the western Qilian Mountains than chroma. For the changes of magnetic susceptibility, chroma, and altitude, the relationship between brightness and altitude is more significant in the low altitude area (1 600-3 300 m), followed by yellowness and magnetic susceptibility. In the high altitude area (3 700-4 300 m), the relationship between redness and brightness and altitude is more significant. Thus, to establish the relationship between a single index and climatic factors in the western part of Qilian Mountains, it is necessary to consider the influence of local climate, terrain, and even primitive rock on the magnetic susceptibility and colorimetry indexes.
2026, 44(2): 441-453.
doi: 10.14027/j.issn.1000-0550.2024.063
Abstract:
Significance Cold seep activity has a significant impact on marine ecosystems and global climate change, and has been widely developed globally at active and passive continental margins. The fundamental process operating at seeps is the anaerobic oxidation of methane (AOM) mediated by a combination of anaerobic methanotrophic archaea (ANME) and sulfate-reducing bacteria (SRB). This increases the alkalinity of pore water, forming a favorable environment for carbonate mineral precipitation. Cold seep carbonates are the product of submarine cold seep activity, and their geological and geochemical characteristics are often used to trace seepage fluid information and changes in sedimentary environments. Progress Taiwan area of China is located in the collision zone between the Luzon Island Arc of the Philippine Sea Plate and the Eurasian continental margin, and possesses complex geological structures such as extensive faults, providing appropriate conditions for the development of cold seeps. Cold seep carbonates in the Taiwan area are mainly found in Miocene to Pleistocene strata, which are ideal for the study of ancient cold seeps. A relatively detailed study has been conducted on their fundamental geological and geochemical properties, including mineralogy, petrology and carbon and oxygen isotope content. This study includes a comprehensive analysis of the geological occurrence, mineralogical and petrological characteristics, carbon and oxygen isotopes content, rare earth element (REE) geochemistry, and macrofossil content of cold seep carbonates in the Taiwan area. In addition, it explores the fluid seepage activities and the depositional environment recorded by the cold seep carbonates, taking account of the geological and geochemical features of cold seep carbonates from other regions globally. Conclusions and Prospects The predominantly blocky and chimney-like forms of the cold seep carbonates in the Taiwan area indicate two types of seepage activity: the blocky forms indicate prolonged periods of low-flux diffuse seepage; the chimney-like forms represent shorter periods of high-flux convective seepage. The primary carbonate minerals are dolomite and calcite, with a significant presence of framboidal pyrites. The size of the pyrite grains may be related to the redox conditions during deposition. The carbon isotope composition of cold seep carbonates indicates that the primary sources of carbon were biogenic and thermogenic methane, with additional influence of seawater or residual CO2 from methanogenesis. Notably, Pliocene cold seep carbonates exhibit the widest range in carbon isotope values, suggesting a greater diversity of carbon sources, potentially due to the complex geological structures in Taiwan area at that time. Furthermore, the δ18O values of cold seep carbonates from the Miocene to the Pleistocene in the Taiwan area exhibit an increasingly positive trend, suggesting that these carbonates might have undergone a transition from gas hydrate formation to dissociation and release. The geochemical characteristics of the REE indicate a predominantly reducing depositional environment. The cold seep macrofossils are dominated by bivalves, representing few biological species in the Miocene and Pliocene but a greater range in the Pleistocene, possibly as a result of different water depths. For greater in-depth understanding of the ancient cold seep systems in the Taiwan area, future research on cold seep carbonates could focus on in situ micro-scale analysis of carbon and oxygen isotopes, and molybdenum element and isotope, in the carbonate minerals, as well as the spatial differences in the growth of macrofauna of different genera of the Lucinidae family, in conjunction with geochemical analysis.
Significance Cold seep activity has a significant impact on marine ecosystems and global climate change, and has been widely developed globally at active and passive continental margins. The fundamental process operating at seeps is the anaerobic oxidation of methane (AOM) mediated by a combination of anaerobic methanotrophic archaea (ANME) and sulfate-reducing bacteria (SRB). This increases the alkalinity of pore water, forming a favorable environment for carbonate mineral precipitation. Cold seep carbonates are the product of submarine cold seep activity, and their geological and geochemical characteristics are often used to trace seepage fluid information and changes in sedimentary environments. Progress Taiwan area of China is located in the collision zone between the Luzon Island Arc of the Philippine Sea Plate and the Eurasian continental margin, and possesses complex geological structures such as extensive faults, providing appropriate conditions for the development of cold seeps. Cold seep carbonates in the Taiwan area are mainly found in Miocene to Pleistocene strata, which are ideal for the study of ancient cold seeps. A relatively detailed study has been conducted on their fundamental geological and geochemical properties, including mineralogy, petrology and carbon and oxygen isotope content. This study includes a comprehensive analysis of the geological occurrence, mineralogical and petrological characteristics, carbon and oxygen isotopes content, rare earth element (REE) geochemistry, and macrofossil content of cold seep carbonates in the Taiwan area. In addition, it explores the fluid seepage activities and the depositional environment recorded by the cold seep carbonates, taking account of the geological and geochemical features of cold seep carbonates from other regions globally. Conclusions and Prospects The predominantly blocky and chimney-like forms of the cold seep carbonates in the Taiwan area indicate two types of seepage activity: the blocky forms indicate prolonged periods of low-flux diffuse seepage; the chimney-like forms represent shorter periods of high-flux convective seepage. The primary carbonate minerals are dolomite and calcite, with a significant presence of framboidal pyrites. The size of the pyrite grains may be related to the redox conditions during deposition. The carbon isotope composition of cold seep carbonates indicates that the primary sources of carbon were biogenic and thermogenic methane, with additional influence of seawater or residual CO2 from methanogenesis. Notably, Pliocene cold seep carbonates exhibit the widest range in carbon isotope values, suggesting a greater diversity of carbon sources, potentially due to the complex geological structures in Taiwan area at that time. Furthermore, the δ18O values of cold seep carbonates from the Miocene to the Pleistocene in the Taiwan area exhibit an increasingly positive trend, suggesting that these carbonates might have undergone a transition from gas hydrate formation to dissociation and release. The geochemical characteristics of the REE indicate a predominantly reducing depositional environment. The cold seep macrofossils are dominated by bivalves, representing few biological species in the Miocene and Pliocene but a greater range in the Pleistocene, possibly as a result of different water depths. For greater in-depth understanding of the ancient cold seep systems in the Taiwan area, future research on cold seep carbonates could focus on in situ micro-scale analysis of carbon and oxygen isotopes, and molybdenum element and isotope, in the carbonate minerals, as well as the spatial differences in the growth of macrofauna of different genera of the Lucinidae family, in conjunction with geochemical analysis.
2026, 44(2): 454-467.
doi: 10.14027/j.issn.1000-0550.2024.060
Abstract:
Objective Trace elements play an important role in the reconstruction of the paleoredox states of marine sediments. Among them, molybdenum(Mo) has become an ideal proxy for the reconstruction of the redox state of ancient water bodies because it is mainly enriched in the form of autogenetic chemical deposition and less affected by terrigenous debris. However, compared with the ocean, lakes are more susceptible to terrigenous detritus and have more complex sedimentary environment, and the difference in the environment affects the settlement, distribution, and enrichment of Mo. In this study, the surface sediment of Qinghai Lake, the largest lake in China is the main research object. The enrichment mechanism and controlling factors of Mo element in alkaline, suboxic, and brackish water lakes were identified to provide a scientific basis for the applicability of Mo element in the reconstruction of lake paleoenvironment. Methods The planar distribution characteristics of Mo in the surface sediments of Qinghai Lake were determined by high density sampling and systematic testing, including X-ray fluorescence spectrometer (XRF) and inductively coupled plasma-mass spectrometry (ICP-MS). In addition, the coupling relationship between Mo content and terrigenous input, particle size, element content, total organic carbon (TOC), and depositional environment was established to determine the main controlling factors of Mo enrichment in the surface sediments of Qinghai Lake. Results The preliminary results show that Qinghai Lake is a brackish water lake with alkaline and weak oxidation. The planar distribution of Mo in the surface sediments of Qinghai Lake increases from the coastal shallow water area to the deep water area in the lake, and Mo is slightly enriched in the deep water area. Under sulfidic conditions, the soluble Mo in the water body is converted to particle reactive thiomolybdates. Because the overall water body of Qinghai Lake is in a state of oxidation, the enrichment of Mo in the sediments is unrelated. The enrichment of Mo in the surface sediments of Qinghai Lake may be controlled by the adsorption effect, that is, it is adsorbed and precipitated by clay minerals, Fe-Mn oxyhydroxides, organic matter, and other substances. The correlation analysis between Mo content and terrigenous input, particle size, element content, and TOC in the selected two transects shows that Mo has a positive correlation with TOC, and the change is similar, whereas Mo has a weak correlation with Al2O3 and Zr, which represents the terrigenous detritus input, and the change is significantly different. There was no correlation with clay minerals and Fe-Mn oxyhydroxides. This indicates that the influence of terrigenous detrital input on the distribution of Mo content in Qinghai Lake sediments is weak. Affected by the pH of water and the redox state of surface sediments, clay minerals, Fe-Mn oxyhydroxides have little influence on Mo enrichment in this environment, and TOC is the main controlling factor of Mo enrichment. Conclusions For alkaline and brackish water lakes with weak oxidation of bottom water, such as Qinghai Lake, organic matter adsorption and preservation are the main controlling factors for Mo enrichment in sediments. The type of organic matter could also affect the application effect of Mo as a proxy for redox identification of palaeolakes. Although the type of organic matter may influence the identification of redox conditions by Mo enrichment degree, Mo enrichment in weakly oxidized lake sediments is mainly controlled by the adsorption and preservation of organic matter, and Mo enrichment in sulfidic lake sediments is controlled by both the adsorption and preservation of particles such as organic matter and the reaction with H2S in the water and the final preservation in the sediment (MoS2); thus, the Mo enrichment capacity is stronger. Therefore, Mo is an effective proxy for judging the redox state of palaeowater in the lake basin.
Objective Trace elements play an important role in the reconstruction of the paleoredox states of marine sediments. Among them, molybdenum(Mo) has become an ideal proxy for the reconstruction of the redox state of ancient water bodies because it is mainly enriched in the form of autogenetic chemical deposition and less affected by terrigenous debris. However, compared with the ocean, lakes are more susceptible to terrigenous detritus and have more complex sedimentary environment, and the difference in the environment affects the settlement, distribution, and enrichment of Mo. In this study, the surface sediment of Qinghai Lake, the largest lake in China is the main research object. The enrichment mechanism and controlling factors of Mo element in alkaline, suboxic, and brackish water lakes were identified to provide a scientific basis for the applicability of Mo element in the reconstruction of lake paleoenvironment. Methods The planar distribution characteristics of Mo in the surface sediments of Qinghai Lake were determined by high density sampling and systematic testing, including X-ray fluorescence spectrometer (XRF) and inductively coupled plasma-mass spectrometry (ICP-MS). In addition, the coupling relationship between Mo content and terrigenous input, particle size, element content, total organic carbon (TOC), and depositional environment was established to determine the main controlling factors of Mo enrichment in the surface sediments of Qinghai Lake. Results The preliminary results show that Qinghai Lake is a brackish water lake with alkaline and weak oxidation. The planar distribution of Mo in the surface sediments of Qinghai Lake increases from the coastal shallow water area to the deep water area in the lake, and Mo is slightly enriched in the deep water area. Under sulfidic conditions, the soluble Mo in the water body is converted to particle reactive thiomolybdates. Because the overall water body of Qinghai Lake is in a state of oxidation, the enrichment of Mo in the sediments is unrelated. The enrichment of Mo in the surface sediments of Qinghai Lake may be controlled by the adsorption effect, that is, it is adsorbed and precipitated by clay minerals, Fe-Mn oxyhydroxides, organic matter, and other substances. The correlation analysis between Mo content and terrigenous input, particle size, element content, and TOC in the selected two transects shows that Mo has a positive correlation with TOC, and the change is similar, whereas Mo has a weak correlation with Al2O3 and Zr, which represents the terrigenous detritus input, and the change is significantly different. There was no correlation with clay minerals and Fe-Mn oxyhydroxides. This indicates that the influence of terrigenous detrital input on the distribution of Mo content in Qinghai Lake sediments is weak. Affected by the pH of water and the redox state of surface sediments, clay minerals, Fe-Mn oxyhydroxides have little influence on Mo enrichment in this environment, and TOC is the main controlling factor of Mo enrichment. Conclusions For alkaline and brackish water lakes with weak oxidation of bottom water, such as Qinghai Lake, organic matter adsorption and preservation are the main controlling factors for Mo enrichment in sediments. The type of organic matter could also affect the application effect of Mo as a proxy for redox identification of palaeolakes. Although the type of organic matter may influence the identification of redox conditions by Mo enrichment degree, Mo enrichment in weakly oxidized lake sediments is mainly controlled by the adsorption and preservation of organic matter, and Mo enrichment in sulfidic lake sediments is controlled by both the adsorption and preservation of particles such as organic matter and the reaction with H2S in the water and the final preservation in the sediment (MoS2); thus, the Mo enrichment capacity is stronger. Therefore, Mo is an effective proxy for judging the redox state of palaeowater in the lake basin.
2026, 44(2): 468-480.
doi: 10.14027/j.issn.1000-0550.022024.070
Abstract:
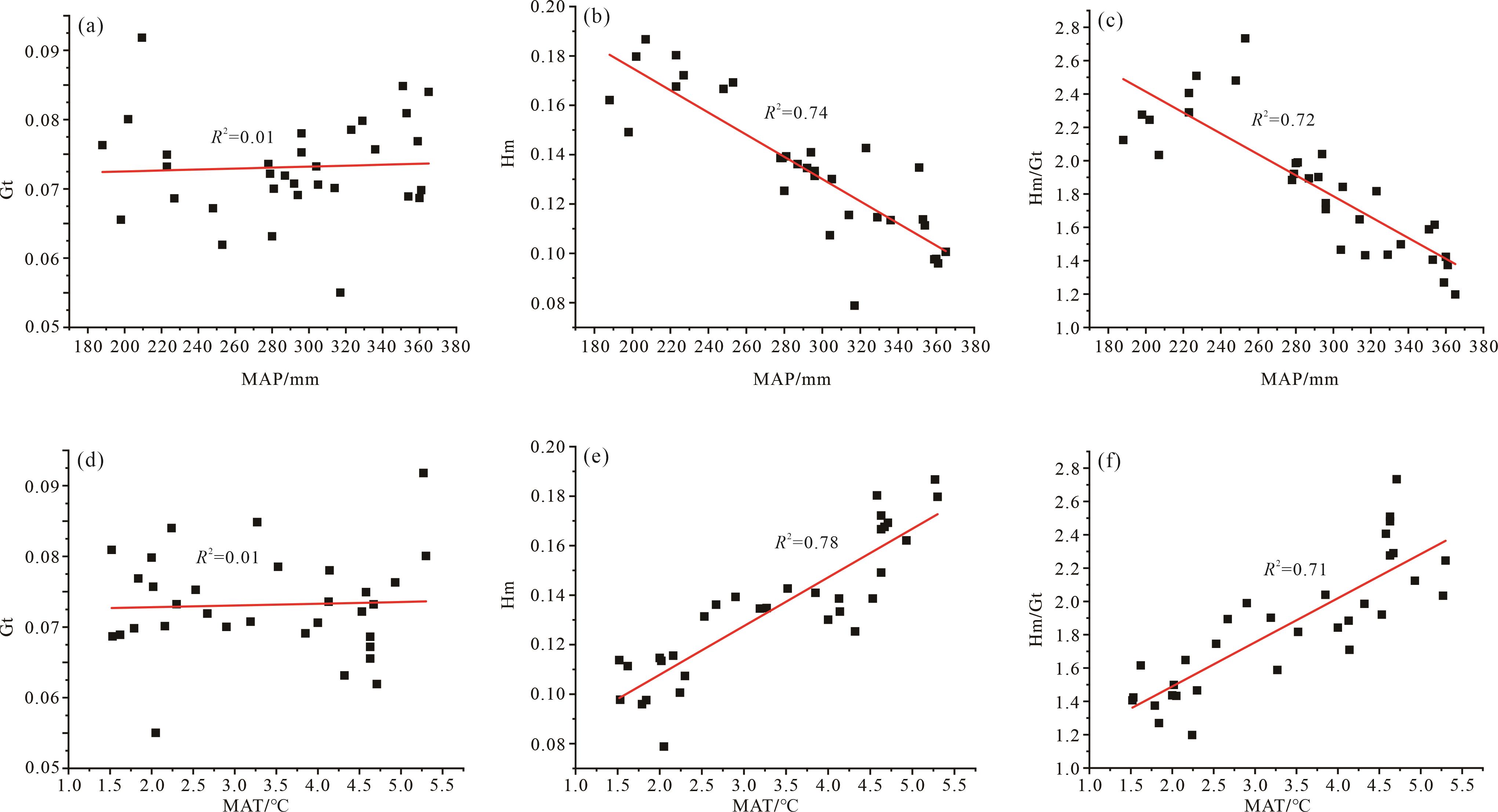
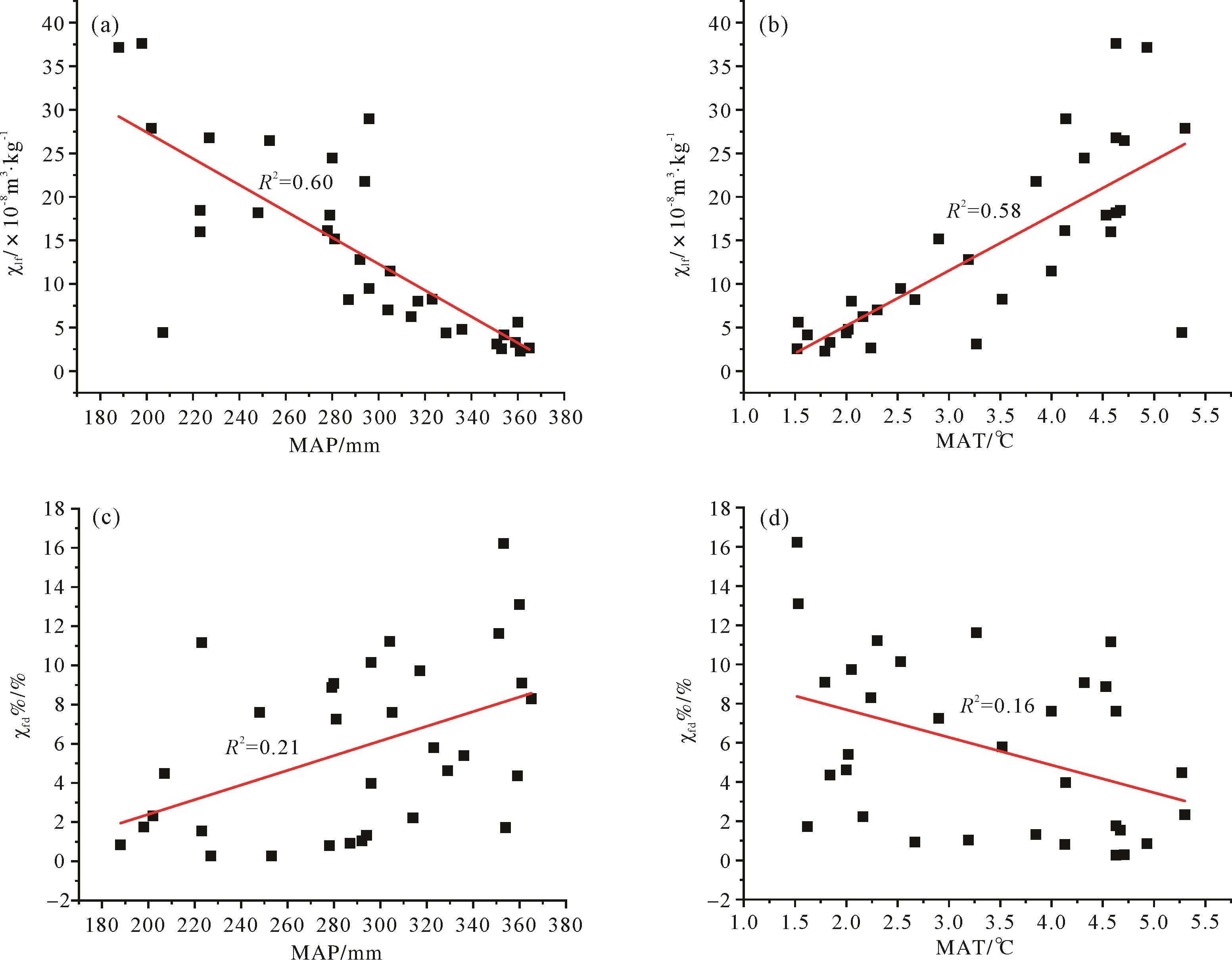
Objective The study of the relationship between climate proxies and climate factors in sandy surface sediments is highly significant when determining the reliability and applicability of climate proxies. Methods In this study, 32 samples of surface sediments were collected over a large spatial scale in Otindag sandy land. By analyzing correlations between chroma, Hm/Gt, magnetic susceptibility and modern climate factors (average annual precipitation and average annual temperature), the relationships between each index and climate factors and their environmental significance are discussed. Results The results show that the variation range of a* and b* is small, and that the overall trend from east to west is increasing: the minimum value of a* is 3.87, the maximum value is 8.26, and the average value is 6.09. The minimum value of b* is 9.49, the maximum is 17.44, and the average is 14.24. a* and b* were negatively correlated with precipitation (correlation coefficients -0.88 and -0.77, P < 0.01), and positively correlated with temperature (correlation coefficients 0.89 and 0.82, P < 0.01), indicating that both a* and b* could be used as effective proxy indicators of climate change, with a* being the more sensitive to climate factors. The variation range of L* was small, and no obvious change rule from east to west was evident. The maximum value was 59.54, minimum value 48.80, and the average value was 54.69. The relationship between L* and climate factors is not obvious, and its change is mainly directly affected by vegetation; it does not appear to have any obvious indicative significance for climate. The peak value of the first derivative of hematite ranges from 0.08 to 0.19, with an average of 0.14. The peak value of the first derivative of goethite ranges from 0.06 to 0.09, with an average of 0.07. The value of hematite/goethite (Hm/Gt) ranged from 1.20 to 2.73 (average 1.88), and showed an increasing trend from east to west. The correlation between hematite and climate factors is higher than it is for goethite. The ratio of Hm/Gt is negatively correlated with average annual precipitation (correlation coefficient -0.85, P < 0.01), and positively correlated with average annual temperature (correlation coefficient 0.84, P < 0.01), which reveals the sensitivity of both hematite and Hm/Gt to precipitation and temperature. It effectively reflects changes of hydrothermal conditions in sandy land. In low-frequency magnetic susceptibility (χlf) and high-frequency magnetic susceptibility (χhf), the variation direction of hf amplitude shows a constantly increasing trend from east to west. The percentage frequency magnetic susceptibility does not change significantly from east to west. The magnetic susceptibility of the region does not correlate well with climate factors. The source of the sand material may be the main factor in its variation, emphasizing the complexity and specificity of sand magnetic susceptibility changes. Conclusions a*, b*, and b*/a* are all effective alternative indicators for studying regional climate, whereas L* is influenced by vegetation, resulting in ambiguous climate information. Hematite and Hm/Gt values correlate well with climate parameters and are ideal indicators of moisture and heat changes in sandy land. The surface magnetic susceptibility of sandy land is less affected by climate, reflecting the complexity and specificity of magnetic susceptibility changes in sandy land.
Objective The study of the relationship between climate proxies and climate factors in sandy surface sediments is highly significant when determining the reliability and applicability of climate proxies. Methods In this study, 32 samples of surface sediments were collected over a large spatial scale in Otindag sandy land. By analyzing correlations between chroma, Hm/Gt, magnetic susceptibility and modern climate factors (average annual precipitation and average annual temperature), the relationships between each index and climate factors and their environmental significance are discussed. Results The results show that the variation range of a* and b* is small, and that the overall trend from east to west is increasing: the minimum value of a* is 3.87, the maximum value is 8.26, and the average value is 6.09. The minimum value of b* is 9.49, the maximum is 17.44, and the average is 14.24. a* and b* were negatively correlated with precipitation (correlation coefficients -0.88 and -0.77, P < 0.01), and positively correlated with temperature (correlation coefficients 0.89 and 0.82, P < 0.01), indicating that both a* and b* could be used as effective proxy indicators of climate change, with a* being the more sensitive to climate factors. The variation range of L* was small, and no obvious change rule from east to west was evident. The maximum value was 59.54, minimum value 48.80, and the average value was 54.69. The relationship between L* and climate factors is not obvious, and its change is mainly directly affected by vegetation; it does not appear to have any obvious indicative significance for climate. The peak value of the first derivative of hematite ranges from 0.08 to 0.19, with an average of 0.14. The peak value of the first derivative of goethite ranges from 0.06 to 0.09, with an average of 0.07. The value of hematite/goethite (Hm/Gt) ranged from 1.20 to 2.73 (average 1.88), and showed an increasing trend from east to west. The correlation between hematite and climate factors is higher than it is for goethite. The ratio of Hm/Gt is negatively correlated with average annual precipitation (correlation coefficient -0.85, P < 0.01), and positively correlated with average annual temperature (correlation coefficient 0.84, P < 0.01), which reveals the sensitivity of both hematite and Hm/Gt to precipitation and temperature. It effectively reflects changes of hydrothermal conditions in sandy land. In low-frequency magnetic susceptibility (χlf) and high-frequency magnetic susceptibility (χhf), the variation direction of hf amplitude shows a constantly increasing trend from east to west. The percentage frequency magnetic susceptibility does not change significantly from east to west. The magnetic susceptibility of the region does not correlate well with climate factors. The source of the sand material may be the main factor in its variation, emphasizing the complexity and specificity of sand magnetic susceptibility changes. Conclusions a*, b*, and b*/a* are all effective alternative indicators for studying regional climate, whereas L* is influenced by vegetation, resulting in ambiguous climate information. Hematite and Hm/Gt values correlate well with climate parameters and are ideal indicators of moisture and heat changes in sandy land. The surface magnetic susceptibility of sandy land is less affected by climate, reflecting the complexity and specificity of magnetic susceptibility changes in sandy land.
2026, 44(2): 481-495.
doi: 10.14027/j.issn.1000-0550.2024.018
Abstract:
Objective By studying the geometric characteristics and formation mechanism of pyrite and tuff dikes in shales of the Qingshankou Formation in Gulong Sag, this paper discusses their formation time, sedimentary environment, sedimentary process, sediment state and diagenetic environment, and estimates the diagenetic compaction rate of shale, which provides reference for the formation mechanism and significance of the same type of dikes. Methods Based on detailed core observation, thin section analysis and dynamic calculation of dike formation, pyrite and tuff dikes are found in the Gulong shale, and their genetic mechanism and geological significance are explored. Results The pyrite and tuff dikes in shales of the Qingshankou Formation in Gulong Sag are small in scale, and pyrite dikes can be divided into two types according to their scale. One is the thick pyrite dikes with a width of 1-4 mm and a length of several centimeters; The other is a thin pyrite dike, which is less than 1 mm wide and several millimeters to several centimeters long. Tuff dikes are mostly less than 1 mm in width and several millimeters to several centimeters in length, and most of them are strongly bent into ptygmatite, erect, inclined or horizontally produced. It is speculated that gravity subsidence may be caused by density inversion, and the dynamic formation model of pyrite and tuff dike is established by calculation. Conclusions The shape of pyrite dike in shale oil reservoir of the Qingshankou Formation in Gulong Sag is very complex, which is formed by gravity subsidence sand dike after late pyritization, that is, there are silt dikes first and then pyrite dikes formation. The tuff formed by volcanic eruption settling on unconsolidated mud of lake, and then tuff dike formed due to gravity subsidence caused by density inversion, rather than overpressure filling from bottom to top caused by seismic liquefaction. The oblique pyrite dike and tuff dike are symmetrical at a distance of 180 degrees, which are subjected to bedding shear action. There are many silt-grade mud debris and large flame-like mud debris in the interior dikes, which are formed by the sand dike and tuff dike sinking into the unconsolidated or even muddy mud at the lower part and being captured.
Objective By studying the geometric characteristics and formation mechanism of pyrite and tuff dikes in shales of the Qingshankou Formation in Gulong Sag, this paper discusses their formation time, sedimentary environment, sedimentary process, sediment state and diagenetic environment, and estimates the diagenetic compaction rate of shale, which provides reference for the formation mechanism and significance of the same type of dikes. Methods Based on detailed core observation, thin section analysis and dynamic calculation of dike formation, pyrite and tuff dikes are found in the Gulong shale, and their genetic mechanism and geological significance are explored. Results The pyrite and tuff dikes in shales of the Qingshankou Formation in Gulong Sag are small in scale, and pyrite dikes can be divided into two types according to their scale. One is the thick pyrite dikes with a width of 1-4 mm and a length of several centimeters; The other is a thin pyrite dike, which is less than 1 mm wide and several millimeters to several centimeters long. Tuff dikes are mostly less than 1 mm in width and several millimeters to several centimeters in length, and most of them are strongly bent into ptygmatite, erect, inclined or horizontally produced. It is speculated that gravity subsidence may be caused by density inversion, and the dynamic formation model of pyrite and tuff dike is established by calculation. Conclusions The shape of pyrite dike in shale oil reservoir of the Qingshankou Formation in Gulong Sag is very complex, which is formed by gravity subsidence sand dike after late pyritization, that is, there are silt dikes first and then pyrite dikes formation. The tuff formed by volcanic eruption settling on unconsolidated mud of lake, and then tuff dike formed due to gravity subsidence caused by density inversion, rather than overpressure filling from bottom to top caused by seismic liquefaction. The oblique pyrite dike and tuff dike are symmetrical at a distance of 180 degrees, which are subjected to bedding shear action. There are many silt-grade mud debris and large flame-like mud debris in the interior dikes, which are formed by the sand dike and tuff dike sinking into the unconsolidated or even muddy mud at the lower part and being captured.
2026, 44(2): 496-505.
doi: 10.14027/j.issn.1000-0550.2024.052
Abstract:
Objective The sedimentary environment of the Pearl River Delta is complex with abundant Perinereis trace fossils. The characteristics, distribution, and assemblage of Perinereis and their relationships with sedimentary environment and sediment properties are significant for the study of trace fossils and the palaeoenvironment. Methods Based on sedimentary and ichnological methods, grain size analysis, salinity, turbidity, total organic carbon (TOC), X-ray scans, and three-dimensional (3D) reconstruction were applied to the modern biogenic sedimentary structures in different microenvironments of the Pearl River Delta tidal flat, discussed the composition, assemblage, and distribution characteristics of Perinereis in a tidal flat of the Pearl River Delta, and analyzed the relationship between the biological assemblage and the sedimentary environments. Results (1) The Perinereis mainly lives in the tidal flat area of the tidal channel and the interdistributary bay in the Pearl River Delta. (2) The remains of the Perinereis mainly have grazing trails and dwelling trails. However, the grazing trails on the layer are difficult to observe, the dwelling trails in the layer mainly have simple Y-, I-, and U-shaped and complex network structures, and there are bulges at the joints. (3) The Perinereis is suitable for living in the tidal flat or channel of the interdistributary bay with low hydrodynamic conditions, low salinity, low turbidity, and rich total organic carbon content. Conclusions The spatial distribution of Perinereis neoichnology is imbalanced, and multiple environmental conditions jointly control the abundance of Perinereis neoichnology. The habitat of Perinereis is similar to the trace fossil Polykladichnus, which can belong to both the Mermia and Glossifunites ichnofacies; the trace fossil assemblage of this relic mainly appears in the channel and tidal flat area, and this study supplements the biological data for the modern neoichnology of Perinereis.
Objective The sedimentary environment of the Pearl River Delta is complex with abundant Perinereis trace fossils. The characteristics, distribution, and assemblage of Perinereis and their relationships with sedimentary environment and sediment properties are significant for the study of trace fossils and the palaeoenvironment. Methods Based on sedimentary and ichnological methods, grain size analysis, salinity, turbidity, total organic carbon (TOC), X-ray scans, and three-dimensional (3D) reconstruction were applied to the modern biogenic sedimentary structures in different microenvironments of the Pearl River Delta tidal flat, discussed the composition, assemblage, and distribution characteristics of Perinereis in a tidal flat of the Pearl River Delta, and analyzed the relationship between the biological assemblage and the sedimentary environments. Results (1) The Perinereis mainly lives in the tidal flat area of the tidal channel and the interdistributary bay in the Pearl River Delta. (2) The remains of the Perinereis mainly have grazing trails and dwelling trails. However, the grazing trails on the layer are difficult to observe, the dwelling trails in the layer mainly have simple Y-, I-, and U-shaped and complex network structures, and there are bulges at the joints. (3) The Perinereis is suitable for living in the tidal flat or channel of the interdistributary bay with low hydrodynamic conditions, low salinity, low turbidity, and rich total organic carbon content. Conclusions The spatial distribution of Perinereis neoichnology is imbalanced, and multiple environmental conditions jointly control the abundance of Perinereis neoichnology. The habitat of Perinereis is similar to the trace fossil Polykladichnus, which can belong to both the Mermia and Glossifunites ichnofacies; the trace fossil assemblage of this relic mainly appears in the channel and tidal flat area, and this study supplements the biological data for the modern neoichnology of Perinereis.
2026, 44(2): 506-521.
doi: 10.14027/j.issn.1000-0550.2024.069
Abstract:
Objective The discovery of lithium-mineralized bodies in multiple layers in the Permian to the Jurassic at the northern margin of the Yangtze Block is of great significance to the investigation, development and utilization of sedimentary lithium resources. This study aims to ascertain the nature and tectonic setting of the parent rocks in the source area of the lithium-bearing (lithium-rich) fine clastic rocks of the Jurassic Baitianba Formation, and to preliminarily discuss the influence of paleoenvironmental conditions on lithium enrichment. Methods Detailed petrological investigations were conducted on the typical lithologies within the formation, along with elemental geochemical analyses focusing on the lithium-bearing (lithium-enriched) fine clastic rocks. Results The oxide discriminant function graph of the main elements and the LaN/YbN-ΣREE, K2O-Rb and La/Th-Hf diagrams indicate a mixed provenance of igneous, sedimentary and metamorphic rocks. The oxide discriminant function graph of the main elements, together with La-Th, Ti/Zr-La/Sc, La-Th-Sc, Th-Sc-Zr/10 and Th-Co-Zr/10 diagrams, show that the tectonic background of the sedimentary period was an active continental margin, and some source rocks were formed in a continental island arc environment. Lithium probably originated from arc magma material. Ga, Sr/Ba, Sr/Cu, C, CIA, U/Th, Ni/Co and other paleoenvironmental indicators indicate that the lithium-bearing rocks were deposited in a weakly oxidizing freshwater environment in a warm, humid climate. The A-CN-K and Th/Sc-Zr/Sc diagrams show that the parent rocks underwent moderate to intense weathering when the debris was first deposited. Conclusions The comprehensive study found that lithium enrichment was only superficially influenced by ancient salinity and ancient reduction-oxidation conditions. Rather, the warm humid climate was conducive to the formation of clay minerals, which increased the clay-mineral content of Li-bearing (Li-rich) fine clastic rocks and determined the extent of lithium enrichment.
Objective The discovery of lithium-mineralized bodies in multiple layers in the Permian to the Jurassic at the northern margin of the Yangtze Block is of great significance to the investigation, development and utilization of sedimentary lithium resources. This study aims to ascertain the nature and tectonic setting of the parent rocks in the source area of the lithium-bearing (lithium-rich) fine clastic rocks of the Jurassic Baitianba Formation, and to preliminarily discuss the influence of paleoenvironmental conditions on lithium enrichment. Methods Detailed petrological investigations were conducted on the typical lithologies within the formation, along with elemental geochemical analyses focusing on the lithium-bearing (lithium-enriched) fine clastic rocks. Results The oxide discriminant function graph of the main elements and the LaN/YbN-ΣREE, K2O-Rb and La/Th-Hf diagrams indicate a mixed provenance of igneous, sedimentary and metamorphic rocks. The oxide discriminant function graph of the main elements, together with La-Th, Ti/Zr-La/Sc, La-Th-Sc, Th-Sc-Zr/10 and Th-Co-Zr/10 diagrams, show that the tectonic background of the sedimentary period was an active continental margin, and some source rocks were formed in a continental island arc environment. Lithium probably originated from arc magma material. Ga, Sr/Ba, Sr/Cu, C, CIA, U/Th, Ni/Co and other paleoenvironmental indicators indicate that the lithium-bearing rocks were deposited in a weakly oxidizing freshwater environment in a warm, humid climate. The A-CN-K and Th/Sc-Zr/Sc diagrams show that the parent rocks underwent moderate to intense weathering when the debris was first deposited. Conclusions The comprehensive study found that lithium enrichment was only superficially influenced by ancient salinity and ancient reduction-oxidation conditions. Rather, the warm humid climate was conducive to the formation of clay minerals, which increased the clay-mineral content of Li-bearing (Li-rich) fine clastic rocks and determined the extent of lithium enrichment.
2026, 44(2): 522-541.
doi: 10.14027/j.issn.1000-0550.2024.064
Abstract:
Objective The end-Permian mass extinction event (EPME) led to a global decline in flora and biota. The thick coal seams prevalent during the Permian, no longer appear following this event, resulting in a prolonged coal shortage throughout the Triassic. In the Sichuan Basin, following the EPME, peat-forming spore plants that contributed to coal-forming period were lost in the lowlands, with no recorded subsequent coal seam development. This period is called "coal gap".The climate was hot during the Lower and Middle Triassic, and the turbulent sedimentary environment in the Sichuan Basin suppressed the growth and development of peat-forming plants. Coal seams re-appear in the Sichuan Basin during the deposition of the First member of the Upper Triassic Xujiahe Formation (T3x1), characterized by thin coal seams and poor spatial continuity. During the middle to late sedimentation stages in the Xujiahe Formation, thicker coal seams developed with highly regular spatial distribution. Current studies of the Upper Triassic paleoclimate in the Sichuan Basin have mainly concentrated on the middle and late stages of Xujiahe Formation sedimentation, leaving a gap in research on paleoclimatic conditions during the initial coal-forming phase of the Late Triassic (early stage of the Xujiahe Formation). To fill this gap, a focused study was conducted on the T3x1 (specifically the Gongnongzhen and Wangjialiang sections) in the northwestern part of the Sichuan Basin. Methods Conducted on the paleoclimate and coal-forming mechanism of the coal bearing strata (Gongnongzhen and Wangjialiang sections) of the Xujiahe Formation in the northwest Sichuan Basin based on field outcrop observation, petrological microscopy analysis, and principal and trace element analysis. Results It was found that the sedimentary facies of the T3x1 in the Gongnongzhen section are mainly delta front subfacies, whereas those in the Wangjialiang section are mainly delta plain subfacies. Weathering indices (CIAcorr, Rb/Sr) and climate indices (Sr/Cu and C values) of the T3x1 in the Gongnongzhen and Wangjialiang sections displayed an overall fluctuating trend. The humid and hot climate corresponds to strong chemical weathering intensity, whereas the period of warm semi-arid/semi-humid climate corresponds to moderate chemical weathering intensity. Conclusions The paleoclimate during the initial coal-forming period of the Upper Triassic Xujiahe Formation in the northwestern Sichuan Basin is of two types: (1) a hot, humid climate; and (2) alternating warm, semi-arid to semi-humid climates. Coal seams in the study area are associated with Type 1. The hot, humid conditions promoted the reproduction of peat-forming plants, providing abundant source material for the formation of coal seams. The paleoclimate alternating between dry to wet during the T3x1 in the region is closely related to super-monsoon activity.After the Middle Triassic, the South China Block gradually moved closer to the mid-latitude humid climate zone,amd the high concentration of pCO2 combined with the influence of monsoonal activity in the study area jointly promoted the formation of a humid climate and consequent strong chemical weathering. Further research indicated that coal deposition requires both a suitable paleoclimate and an appropriate preservational environment. For instance, coal seams tend to be well-developed and preserved in the swamps of high-level system tracts.
Objective The end-Permian mass extinction event (EPME) led to a global decline in flora and biota. The thick coal seams prevalent during the Permian, no longer appear following this event, resulting in a prolonged coal shortage throughout the Triassic. In the Sichuan Basin, following the EPME, peat-forming spore plants that contributed to coal-forming period were lost in the lowlands, with no recorded subsequent coal seam development. This period is called "coal gap".The climate was hot during the Lower and Middle Triassic, and the turbulent sedimentary environment in the Sichuan Basin suppressed the growth and development of peat-forming plants. Coal seams re-appear in the Sichuan Basin during the deposition of the First member of the Upper Triassic Xujiahe Formation (T3x1), characterized by thin coal seams and poor spatial continuity. During the middle to late sedimentation stages in the Xujiahe Formation, thicker coal seams developed with highly regular spatial distribution. Current studies of the Upper Triassic paleoclimate in the Sichuan Basin have mainly concentrated on the middle and late stages of Xujiahe Formation sedimentation, leaving a gap in research on paleoclimatic conditions during the initial coal-forming phase of the Late Triassic (early stage of the Xujiahe Formation). To fill this gap, a focused study was conducted on the T3x1 (specifically the Gongnongzhen and Wangjialiang sections) in the northwestern part of the Sichuan Basin. Methods Conducted on the paleoclimate and coal-forming mechanism of the coal bearing strata (Gongnongzhen and Wangjialiang sections) of the Xujiahe Formation in the northwest Sichuan Basin based on field outcrop observation, petrological microscopy analysis, and principal and trace element analysis. Results It was found that the sedimentary facies of the T3x1 in the Gongnongzhen section are mainly delta front subfacies, whereas those in the Wangjialiang section are mainly delta plain subfacies. Weathering indices (CIAcorr, Rb/Sr) and climate indices (Sr/Cu and C values) of the T3x1 in the Gongnongzhen and Wangjialiang sections displayed an overall fluctuating trend. The humid and hot climate corresponds to strong chemical weathering intensity, whereas the period of warm semi-arid/semi-humid climate corresponds to moderate chemical weathering intensity. Conclusions The paleoclimate during the initial coal-forming period of the Upper Triassic Xujiahe Formation in the northwestern Sichuan Basin is of two types: (1) a hot, humid climate; and (2) alternating warm, semi-arid to semi-humid climates. Coal seams in the study area are associated with Type 1. The hot, humid conditions promoted the reproduction of peat-forming plants, providing abundant source material for the formation of coal seams. The paleoclimate alternating between dry to wet during the T3x1 in the region is closely related to super-monsoon activity.After the Middle Triassic, the South China Block gradually moved closer to the mid-latitude humid climate zone,amd the high concentration of pCO2 combined with the influence of monsoonal activity in the study area jointly promoted the formation of a humid climate and consequent strong chemical weathering. Further research indicated that coal deposition requires both a suitable paleoclimate and an appropriate preservational environment. For instance, coal seams tend to be well-developed and preserved in the swamps of high-level system tracts.
2026, 44(2): 542-556.
doi: 10.14027/j.issn.1000-0550.2024.030
Abstract:
Objective The aim was to update the sedimentary characteristics of the widely distributed Triassic dolomite-evaporite paragenesis system in the Sichuan Basin and clarify its development and distribution patterns and main influences, provide new insights for its study and guide the reconstruction of the regional paleogeography. Methods Drill core and seismic data were used to investigate the sedimentary characteristics in the study area from a number of viewpoints and determine the genetic mechanisms of the different types of symbiotic systems and reveal their spatiotemporal distribution patterns and main controlling factors. Results (1) Overall, four types of symbiotic systems are present in the Leikoupo Formation, northwestern Sichuan Basin: (i) thick layers of dolomite interbedded with thin layers of evaporate; (ii) interbedded dolomite-evaporate; (iii) thick layers of evaporite interbedded with thin layers of dolomite; and (iv) overlapping thick layers of evaporite. Types (i) and (iv) are widely distributed throughout the four sedimentary periods in the Leikoupo region. Stacking of thick evaporite and thick dolomite occurs most frequently in the central part of the Lei-3 and Lei-4 sedimentary periods. (2) The uplift of the Longmen Mountain island chain on the western side caused southeastern compression on the basin, and the Xuefeng Mountain uplift to the east restricted the southward migration of the ancient Luzhou Kaijiang paleo-uplift, and the contemporaneous Qinling Mountains southward subduction has been occurred.formed a structural pattern trending almost northeast–southwest in the Sichuan Basin, which controlled the overall northeast⁃southwest distribution of gypsum rocks and symbiotic systems. (3) The significant extent of the Luzhou Kaijiang paleo-uplift caused subsequent migration of the Leikoupo Formation subsidence center toward the west, and the gypsum sedimentary center and four coexisting systems also migrated westward from their earlier dispersed locations. Conclusions The sedimentary properties and distribution patterns of the symbiotic system resulted in four types of symbiotic system: gypsum-dolomitic lagoons, dolomitic gypsum lagoons, gypsum salt lakes, and gypsum salt basins. The paleogeography of each of the four sedimentary periods of the Leikoupo Formation was reconstructed from the distribution patterns of these types of symbiotic system.
Objective The aim was to update the sedimentary characteristics of the widely distributed Triassic dolomite-evaporite paragenesis system in the Sichuan Basin and clarify its development and distribution patterns and main influences, provide new insights for its study and guide the reconstruction of the regional paleogeography. Methods Drill core and seismic data were used to investigate the sedimentary characteristics in the study area from a number of viewpoints and determine the genetic mechanisms of the different types of symbiotic systems and reveal their spatiotemporal distribution patterns and main controlling factors. Results (1) Overall, four types of symbiotic systems are present in the Leikoupo Formation, northwestern Sichuan Basin: (i) thick layers of dolomite interbedded with thin layers of evaporate; (ii) interbedded dolomite-evaporate; (iii) thick layers of evaporite interbedded with thin layers of dolomite; and (iv) overlapping thick layers of evaporite. Types (i) and (iv) are widely distributed throughout the four sedimentary periods in the Leikoupo region. Stacking of thick evaporite and thick dolomite occurs most frequently in the central part of the Lei-3 and Lei-4 sedimentary periods. (2) The uplift of the Longmen Mountain island chain on the western side caused southeastern compression on the basin, and the Xuefeng Mountain uplift to the east restricted the southward migration of the ancient Luzhou Kaijiang paleo-uplift, and the contemporaneous Qinling Mountains southward subduction has been occurred.formed a structural pattern trending almost northeast–southwest in the Sichuan Basin, which controlled the overall northeast⁃southwest distribution of gypsum rocks and symbiotic systems. (3) The significant extent of the Luzhou Kaijiang paleo-uplift caused subsequent migration of the Leikoupo Formation subsidence center toward the west, and the gypsum sedimentary center and four coexisting systems also migrated westward from their earlier dispersed locations. Conclusions The sedimentary properties and distribution patterns of the symbiotic system resulted in four types of symbiotic system: gypsum-dolomitic lagoons, dolomitic gypsum lagoons, gypsum salt lakes, and gypsum salt basins. The paleogeography of each of the four sedimentary periods of the Leikoupo Formation was reconstructed from the distribution patterns of these types of symbiotic system.
2026, 44(2): 557-576.
doi: 10.14027/j.issn.1000-0550.2024.073
Abstract:
Objective At present, the iron dolomite genesis mechanism of the Maosan-Wuyi in north-central Sichuan is not clear. Methods Based on the rock-mineral characteristics of the Maosan-Wuyi, we combined rock TIMA scanning, whole-rock X-ray diffraction analysis, microzonation in situ main trace elements, strontium isotopes fluid inclusions homogeneous temperature, and in situ U-Pb chronology of iron dolomite to study the mechanism of iron dolomite genesis. Results The study shows that: (1) the rock types of the Maosan and Wuyi are cherts, dolomites and tuffs. The tuffs mainly include mud crystal clastic, bright crystal clastic, and cloudy tuff; the dolomites are semi-autogenous-to-autogenous powdery-to-fine crystalline dolomite; the sedimentary tuffs are mainly composed of volcanic clasts, carbonaceous, calcium-magnesium, sand-grade clasts, and metallic minerals, among which the volcanic clasts are glassy clasts, basalt, and other clasts, and the calcium-magnesium mainly consists of dolomite and calcite. (2) The average values of trace elements in the dolomite at the top of Maosan and Wuyi show extremely high Fe content (10 678.40×10-6), high Mn content (822.95×10-6), Si content (1 929.81×10-6), Al content (394.11×10-6), and high Na+K content (362.38×10-6), indicating that the fluids in the closed environment are characterized by high salinity and alkaline metal content. This also indicates that the rock-forming fluids in the confined environment are characterized by high salinity and high alkaline metal content. The 87Sr/86Sr in the matrix of ankerite and mud crystal clastic tuffs are within the range of seawater from the same period in the Maokou and Wujiaping groups, and they also have low total rare earth element (REE) values and light REE (LREE) loss, consistent with the LREE loss pattern of seawater, indicating that the dolomitized diagenetic fluids and seawater of the same period have similar characteristics. (3) The U-Pb age of powdery-to-fine crystalline dolomite in the Maosan and Wuyi is 245.36±1.08 Ma, and the dolomitization mainly occurred in the Late Permian to Early Triassic. Conclusions The source of dolomitization fluids in the powdery-to-fine crystalline dolomite of the Maosan and Wuyi is the dewatering of clay minerals in the argillaceous tuffite and tuffaceous mudstone of the overlying Wuyi and Wuer. During this process, a large number of Mg2+, Fe2+, Al3+, and Si4+-rich ions were precipitated and transported to the granular tuffs at the top of Maosan and Wuyi to form iron dolomite using the seawater residual from the Maokou Formation to Wujiaping Formation during the same period as the carrier.
Objective At present, the iron dolomite genesis mechanism of the Maosan-Wuyi in north-central Sichuan is not clear. Methods Based on the rock-mineral characteristics of the Maosan-Wuyi, we combined rock TIMA scanning, whole-rock X-ray diffraction analysis, microzonation in situ main trace elements, strontium isotopes fluid inclusions homogeneous temperature, and in situ U-Pb chronology of iron dolomite to study the mechanism of iron dolomite genesis. Results The study shows that: (1) the rock types of the Maosan and Wuyi are cherts, dolomites and tuffs. The tuffs mainly include mud crystal clastic, bright crystal clastic, and cloudy tuff; the dolomites are semi-autogenous-to-autogenous powdery-to-fine crystalline dolomite; the sedimentary tuffs are mainly composed of volcanic clasts, carbonaceous, calcium-magnesium, sand-grade clasts, and metallic minerals, among which the volcanic clasts are glassy clasts, basalt, and other clasts, and the calcium-magnesium mainly consists of dolomite and calcite. (2) The average values of trace elements in the dolomite at the top of Maosan and Wuyi show extremely high Fe content (10 678.40×10-6), high Mn content (822.95×10-6), Si content (1 929.81×10-6), Al content (394.11×10-6), and high Na+K content (362.38×10-6), indicating that the fluids in the closed environment are characterized by high salinity and alkaline metal content. This also indicates that the rock-forming fluids in the confined environment are characterized by high salinity and high alkaline metal content. The 87Sr/86Sr in the matrix of ankerite and mud crystal clastic tuffs are within the range of seawater from the same period in the Maokou and Wujiaping groups, and they also have low total rare earth element (REE) values and light REE (LREE) loss, consistent with the LREE loss pattern of seawater, indicating that the dolomitized diagenetic fluids and seawater of the same period have similar characteristics. (3) The U-Pb age of powdery-to-fine crystalline dolomite in the Maosan and Wuyi is 245.36±1.08 Ma, and the dolomitization mainly occurred in the Late Permian to Early Triassic. Conclusions The source of dolomitization fluids in the powdery-to-fine crystalline dolomite of the Maosan and Wuyi is the dewatering of clay minerals in the argillaceous tuffite and tuffaceous mudstone of the overlying Wuyi and Wuer. During this process, a large number of Mg2+, Fe2+, Al3+, and Si4+-rich ions were precipitated and transported to the granular tuffs at the top of Maosan and Wuyi to form iron dolomite using the seawater residual from the Maokou Formation to Wujiaping Formation during the same period as the carrier.
2026, 44(2): 577-595.
doi: 10.14027/j.issn.1000-0550.2024.031
Abstract:
Objective Lithium rich claystone deposits with great potential for mineralization have been found in the bauxite-bearing sedimentary strata of Yunnan-Guizhou region in Southwest China, but the current understanding of the material sources and lithium enrichment mechanisms of these bauxite-type lithium rich claystones in these areas is still significantly insufficient. Methods In this study, two sets of bauxite-type lithium rich claystone systems, the Early Permian Daoshitou Formation in Yunnan and the Lower Carboniferous Jiujialu Formation in Guizhou, were analyzed in terms of their mineralogical compositions, major and trace elements, and the compositions of rare earth elements. Combined with the results of previous research, the study systematically explored the source attributes of two sets of bauxite-type lithium-rich claystone systems, which were formed in different epochs but have very similar petrographic characteristics, as well as determining the factors that led to the anomalous enrichment of lithium. [Results and Conclusions] The results showed that the differences in source properties between the lithium rich claystones of the Jiujialu Formation in Guizhou and the Daoshitou Formation in Yunnan had a significant influence on their lithium content. In general, the development of the Jiujialu Formation, which has relatively low lithium content, is closely related to the weathering and denudation of impure dolomite in the underlying Loushanguan Group. Its original source may have been Neoproterozoic-Middle Proterozoic neutral acidic magmatism, which is significantly influenced by Mg-Fe compositions. The formation of Yunnan Daoshitou Formation claystones with relatively high lithium content was significantly influenced by the recycling of Ordovician sedimentary rocks, while the source connection with its underlying carbonate strata was weak. Their original source was dominated by neutral acidic magmatism. In addition, the lithium rich clay rocks in the Yunnan-Guizhou region were hosted by either kaolinite or illite, and the drainage of the watershed during the depositional period and the effect of coexisting ions in the water body played important roles in restricting the lithium enrichment in the clay. Analyzing the provenance of lithium rich clay rocks in the Jiujialu Formation in Guizhou and the Daoshitou Formation in Yunnan, along with the occurrence of lithium-bearing minerals, is of significant importance for understanding the ore-forming processes and controlling mechanisms of clay-type lithium deposits.
Objective Lithium rich claystone deposits with great potential for mineralization have been found in the bauxite-bearing sedimentary strata of Yunnan-Guizhou region in Southwest China, but the current understanding of the material sources and lithium enrichment mechanisms of these bauxite-type lithium rich claystones in these areas is still significantly insufficient. Methods In this study, two sets of bauxite-type lithium rich claystone systems, the Early Permian Daoshitou Formation in Yunnan and the Lower Carboniferous Jiujialu Formation in Guizhou, were analyzed in terms of their mineralogical compositions, major and trace elements, and the compositions of rare earth elements. Combined with the results of previous research, the study systematically explored the source attributes of two sets of bauxite-type lithium-rich claystone systems, which were formed in different epochs but have very similar petrographic characteristics, as well as determining the factors that led to the anomalous enrichment of lithium. [Results and Conclusions] The results showed that the differences in source properties between the lithium rich claystones of the Jiujialu Formation in Guizhou and the Daoshitou Formation in Yunnan had a significant influence on their lithium content. In general, the development of the Jiujialu Formation, which has relatively low lithium content, is closely related to the weathering and denudation of impure dolomite in the underlying Loushanguan Group. Its original source may have been Neoproterozoic-Middle Proterozoic neutral acidic magmatism, which is significantly influenced by Mg-Fe compositions. The formation of Yunnan Daoshitou Formation claystones with relatively high lithium content was significantly influenced by the recycling of Ordovician sedimentary rocks, while the source connection with its underlying carbonate strata was weak. Their original source was dominated by neutral acidic magmatism. In addition, the lithium rich clay rocks in the Yunnan-Guizhou region were hosted by either kaolinite or illite, and the drainage of the watershed during the depositional period and the effect of coexisting ions in the water body played important roles in restricting the lithium enrichment in the clay. Analyzing the provenance of lithium rich clay rocks in the Jiujialu Formation in Guizhou and the Daoshitou Formation in Yunnan, along with the occurrence of lithium-bearing minerals, is of significant importance for understanding the ore-forming processes and controlling mechanisms of clay-type lithium deposits.
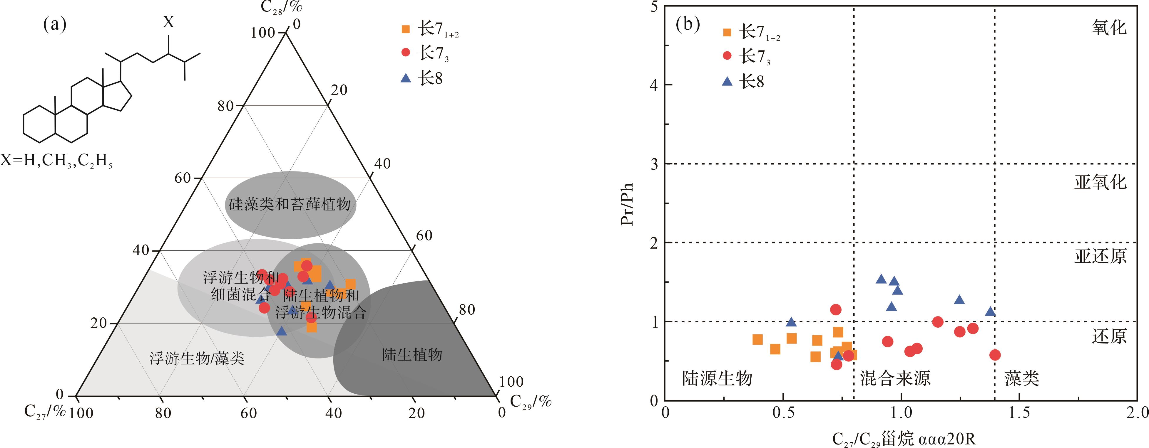
2026, 44(2): 596-613.
doi: 10.14027/j.issn.1000-0550.2024.059
Abstract:
Objective The Chang 7 member of the Triassic Yanchang Formation in the Ordos Basin mainly developed semi-deep lake-deep lake subfacies; deep-water gravity flow deposits are widely developed. This study aimed to clarify its sedimentary characteristics and distribution rules which can indicate the direction of oil and gas exploration. Methods Taking the Chang 7 member in the Fuxian area of the southeastern basin as the research object, based on the fine description, grain size analysis and logging data of centimeter-level cores from 13 coring wells, the types and characteristics, distribution law and evolution model of gravity flow deposits in the Chang 7 member were clarified. Combined with oil and production test data, the control effect of gravity flows on reservoir distribution was analyzed. Results The results show that the Chang 7 member in the Fuxian area mainly developed three types of gravity flow sedimentary microfacies: sliding-slump, sandy debris flow, and turbidity current deposition. The sliding-slump deposits are characterized by the development of enclave bedding, crumpled deformation structures, and syn-depositional stepped small faults and sliding surfaces and are dominated by mixed deposits of sandstone and mudstone. Sandy debris flow deposits have developed thick massive sandstone, mudstone tearing debris, and mud-encapsulated gravel structure. The thickness of single sand body is 0.3-3.5 m, and the cumulative thickness can reach more than 10 m. Turbidity current deposits have developed flame-like structures, groove molds, other bottom mold structures, and incomplete Bouma sequences. Sand bodies are small in scale and limited in development. The thickness of single sand bodies is several centimeters to tens of centimeters. The Chang 7 member is divided into six typical logging facies combinations and 11 lithofacies types. The grain size probability accumulation curve is characterized by “one-stage suspension” and a “wide arch”. Most of the data in the C-M diagram are parallel to the C=M baseline. Conclusions Among the three kinds of gravity flow sedimentary microfacies in the Chang 7 member, the sandy debris flow has the largest scale of development, accounting for approximately 80%, and the drilling frequency is 60%, making it the most favorable reservoir. Sliding-slump and turbidity current deposits account for approximately 10%. The formation mechanism of the gravity flow in the Chang 7 member is a variety of effects of underwater slope break zones, volcanos, and earthquakes. The development scale of deep-water gravity flow deposits is large, and it forms a good “source-reservoir-cap” combination configuration with source rocks vertically, creating conditions for the near-source accumulation of tight oil. On the plane, the Chang 73 sub-member mainly developed turbidity current deposits, and the Chang 72 and Chang 71 sub-members mainly developed sandy debris flow and turbidity current deposits. The sandy debris flow sand body has a high oil level, mainly oil immersion and oil spots. In the sandy debris flow development area, the industrial oil flow wells account for 21% of the total number of test wells, making it the key target area for the next exploration.
Objective The Chang 7 member of the Triassic Yanchang Formation in the Ordos Basin mainly developed semi-deep lake-deep lake subfacies; deep-water gravity flow deposits are widely developed. This study aimed to clarify its sedimentary characteristics and distribution rules which can indicate the direction of oil and gas exploration. Methods Taking the Chang 7 member in the Fuxian area of the southeastern basin as the research object, based on the fine description, grain size analysis and logging data of centimeter-level cores from 13 coring wells, the types and characteristics, distribution law and evolution model of gravity flow deposits in the Chang 7 member were clarified. Combined with oil and production test data, the control effect of gravity flows on reservoir distribution was analyzed. Results The results show that the Chang 7 member in the Fuxian area mainly developed three types of gravity flow sedimentary microfacies: sliding-slump, sandy debris flow, and turbidity current deposition. The sliding-slump deposits are characterized by the development of enclave bedding, crumpled deformation structures, and syn-depositional stepped small faults and sliding surfaces and are dominated by mixed deposits of sandstone and mudstone. Sandy debris flow deposits have developed thick massive sandstone, mudstone tearing debris, and mud-encapsulated gravel structure. The thickness of single sand body is 0.3-3.5 m, and the cumulative thickness can reach more than 10 m. Turbidity current deposits have developed flame-like structures, groove molds, other bottom mold structures, and incomplete Bouma sequences. Sand bodies are small in scale and limited in development. The thickness of single sand bodies is several centimeters to tens of centimeters. The Chang 7 member is divided into six typical logging facies combinations and 11 lithofacies types. The grain size probability accumulation curve is characterized by “one-stage suspension” and a “wide arch”. Most of the data in the C-M diagram are parallel to the C=M baseline. Conclusions Among the three kinds of gravity flow sedimentary microfacies in the Chang 7 member, the sandy debris flow has the largest scale of development, accounting for approximately 80%, and the drilling frequency is 60%, making it the most favorable reservoir. Sliding-slump and turbidity current deposits account for approximately 10%. The formation mechanism of the gravity flow in the Chang 7 member is a variety of effects of underwater slope break zones, volcanos, and earthquakes. The development scale of deep-water gravity flow deposits is large, and it forms a good “source-reservoir-cap” combination configuration with source rocks vertically, creating conditions for the near-source accumulation of tight oil. On the plane, the Chang 73 sub-member mainly developed turbidity current deposits, and the Chang 72 and Chang 71 sub-members mainly developed sandy debris flow and turbidity current deposits. The sandy debris flow sand body has a high oil level, mainly oil immersion and oil spots. In the sandy debris flow development area, the industrial oil flow wells account for 21% of the total number of test wells, making it the key target area for the next exploration.
2026, 44(2): 614-630.
doi: 10.14027/j.issn.1000-0550.2024.067
Abstract:
Objective Deep carbonate reservoirs have an enormous potential for oil and gas exploration. However, due to their complex diagenesis, they are highly heterogeneous and dense. To clarify the modifying effect of hydro-thermal fluid activity on the carbonate reservoirs in a petroliferous basin, this study investigated Upper Carboniferous strata in the southwestern Tarim Basin. Methods The main study area includes some key well locations in the Bachu Uplift and Maigaiti Slope, and typical field outcrop profiles in the Kunlun piedmont thrust belt. Previous research on hydrothermal fluid activity has mainly focused on the northern and Tazhong region of the Tarim Basin, mostly concentrating on the Ordovician System. These studies have accumulated rich experience and obtained many results; however, generally little exploration has been carried out in the southwestern Tarim Basin. To strengthen the basic research, the method of combining geology and geochemistry was adopted in the study area: core observation, thin sections, cathodoluminescence, scanning electron microscopy, isotope data, rare earth element characteristics and previous information were used to identify the indicators of hydrothermal activity in the target formation, defining the alteration mode of carbonate reservoirs in the study area and establishing their logging responses to alteration by the heated fluid. Results A detailed classification of the petrology of the study area found that the presence of typical hydrothermal minerals (e.g., fluorite, barite, and saddle-shaped dolomite) is an indicator of hydrothermal fluid activity. The geochemical responses of these carbonate rocks to modification by hydrothermal fluids includes high 87Sr/86Sr values, very low δ18O, light rare earth element enrichment, loss of heavy rare earth elements, and positive Eu anomalies. Hydrothermal fluids often contain many chemically active substances and release a large amount of heat energy in their interaction with rock and produce physical and chemical reactions with the rock. In particular, such reactions promote strong dissolution of carbonate rocks. Conclusions It has been demonstrated that hydrothermal fluids have both positive and negative effects on the alteration of carbonate rock reservoirs. In the constructive role, the high temperature and rapid flow rate of hydrothermal fluids have strong chemical dissolution and mechanical erosive effects on the rock, expanding migration channels, increasing reservoir porosity, improving pore structure, and generally enhancing reservoir physical properties. Most of these occur at the earliest stage of hydrothermal activity and in the proximity of fault zones. They are identified in the logging response by high acoustic time difference, neutron porosity, low natural gamma and low resistivity values. The dissolution pores and fractures are developed over a large zone, and most are not filled. Conversely, a destructive effect occurs at lower temperature and pressure of the hydrothermal fluid, and is recognized by hydrothermal mineral infill in pores and fractures. As the fluidity decreases, the material carried by the hydrothermal fluid is constantly precipitated, forming new mineral combinations filling pre-existing pores and fractures, which reduces reservoir porosity and damages pore structure. This type of alteration mostly occurs in the late stage of hydrothermal activity far from the fault zone. It is evident in logging response by high resistivity and low natural gamma and acoustic time difference, and low neutron porosity; the pores and fissures are mostly isolated and extensively filled. Overall, however, the target strata were mainly affected by constructive hydrothermal dissolution and its positive impact on reservoir development.
Objective Deep carbonate reservoirs have an enormous potential for oil and gas exploration. However, due to their complex diagenesis, they are highly heterogeneous and dense. To clarify the modifying effect of hydro-thermal fluid activity on the carbonate reservoirs in a petroliferous basin, this study investigated Upper Carboniferous strata in the southwestern Tarim Basin. Methods The main study area includes some key well locations in the Bachu Uplift and Maigaiti Slope, and typical field outcrop profiles in the Kunlun piedmont thrust belt. Previous research on hydrothermal fluid activity has mainly focused on the northern and Tazhong region of the Tarim Basin, mostly concentrating on the Ordovician System. These studies have accumulated rich experience and obtained many results; however, generally little exploration has been carried out in the southwestern Tarim Basin. To strengthen the basic research, the method of combining geology and geochemistry was adopted in the study area: core observation, thin sections, cathodoluminescence, scanning electron microscopy, isotope data, rare earth element characteristics and previous information were used to identify the indicators of hydrothermal activity in the target formation, defining the alteration mode of carbonate reservoirs in the study area and establishing their logging responses to alteration by the heated fluid. Results A detailed classification of the petrology of the study area found that the presence of typical hydrothermal minerals (e.g., fluorite, barite, and saddle-shaped dolomite) is an indicator of hydrothermal fluid activity. The geochemical responses of these carbonate rocks to modification by hydrothermal fluids includes high 87Sr/86Sr values, very low δ18O, light rare earth element enrichment, loss of heavy rare earth elements, and positive Eu anomalies. Hydrothermal fluids often contain many chemically active substances and release a large amount of heat energy in their interaction with rock and produce physical and chemical reactions with the rock. In particular, such reactions promote strong dissolution of carbonate rocks. Conclusions It has been demonstrated that hydrothermal fluids have both positive and negative effects on the alteration of carbonate rock reservoirs. In the constructive role, the high temperature and rapid flow rate of hydrothermal fluids have strong chemical dissolution and mechanical erosive effects on the rock, expanding migration channels, increasing reservoir porosity, improving pore structure, and generally enhancing reservoir physical properties. Most of these occur at the earliest stage of hydrothermal activity and in the proximity of fault zones. They are identified in the logging response by high acoustic time difference, neutron porosity, low natural gamma and low resistivity values. The dissolution pores and fractures are developed over a large zone, and most are not filled. Conversely, a destructive effect occurs at lower temperature and pressure of the hydrothermal fluid, and is recognized by hydrothermal mineral infill in pores and fractures. As the fluidity decreases, the material carried by the hydrothermal fluid is constantly precipitated, forming new mineral combinations filling pre-existing pores and fractures, which reduces reservoir porosity and damages pore structure. This type of alteration mostly occurs in the late stage of hydrothermal activity far from the fault zone. It is evident in logging response by high resistivity and low natural gamma and acoustic time difference, and low neutron porosity; the pores and fissures are mostly isolated and extensively filled. Overall, however, the target strata were mainly affected by constructive hydrothermal dissolution and its positive impact on reservoir development.
2026, 44(2): 631-645.
doi: 10.14027/j.issn.1000-0550.2024.078
Abstract:
Objective In geological logs of shale oil cores from the Chang 7 oil member of the Yanchang Formation in the Longdong region, Ordos Basin, for a long time the resolution of single layer thickness of each rock type has been basically 10 cm, resulting in a large number of rock-type combinations being described as a single rock type. Exploring a new method for the quantitative study of shale oil rock-type combinations and reservoir capacity benefits the efficient exploration and development of shale oil in the Chang 7 oil member. Methods In this study, the shale oil rock types in the Chang 7 oil member were re-identified by high-resolution core observation (single layer thickness resolution 1-5 cm) together with stereo microscope and thin-section identification of 405 samples and analysis of physical property data, then the rock-type combinations and reservoir capacity of Chang 7 oil member were explored quantitatively. Results There are 11 main rock types in the shale oil of Chang 7 oil member of the Yanchang Formation in the Longdong region of the Ordos Basin. Firstly, four combinations of rock-type form (unitype, stratified type, interstratified type and interstratified type) and 65 rock-type combinations were quantitatively identified for the first time. Secondly, a new method is proposed for calculating reservoir capacity on the basis of quantitative evaluation of the reservoir capacity of each of the 11 rock types, combined with the thickness percentage of each rock type, for 65 rock-type combinations. Conclusions This study demonstrates that, to guide the efficient exploration and development of the shale oil in the Chang 7 oil member, the traditional single rock-type study for shale oil should be modified to encompass the study of rock-type combinations. However, this research for the Chang 7 oil member is at the exploratory stage; further improvement will be achieved by examining the effect of combining these findings with a large amount of shale oil exploration and development data.
Objective In geological logs of shale oil cores from the Chang 7 oil member of the Yanchang Formation in the Longdong region, Ordos Basin, for a long time the resolution of single layer thickness of each rock type has been basically 10 cm, resulting in a large number of rock-type combinations being described as a single rock type. Exploring a new method for the quantitative study of shale oil rock-type combinations and reservoir capacity benefits the efficient exploration and development of shale oil in the Chang 7 oil member. Methods In this study, the shale oil rock types in the Chang 7 oil member were re-identified by high-resolution core observation (single layer thickness resolution 1-5 cm) together with stereo microscope and thin-section identification of 405 samples and analysis of physical property data, then the rock-type combinations and reservoir capacity of Chang 7 oil member were explored quantitatively. Results There are 11 main rock types in the shale oil of Chang 7 oil member of the Yanchang Formation in the Longdong region of the Ordos Basin. Firstly, four combinations of rock-type form (unitype, stratified type, interstratified type and interstratified type) and 65 rock-type combinations were quantitatively identified for the first time. Secondly, a new method is proposed for calculating reservoir capacity on the basis of quantitative evaluation of the reservoir capacity of each of the 11 rock types, combined with the thickness percentage of each rock type, for 65 rock-type combinations. Conclusions This study demonstrates that, to guide the efficient exploration and development of the shale oil in the Chang 7 oil member, the traditional single rock-type study for shale oil should be modified to encompass the study of rock-type combinations. However, this research for the Chang 7 oil member is at the exploratory stage; further improvement will be achieved by examining the effect of combining these findings with a large amount of shale oil exploration and development data.
2026, 44(2): 646-663.
doi: 10.14027/j.issn.1000-0550.2024.091
Abstract:
Objective In this study, the effect of seasonal lake level changes on the sedimentary characteristics, growth process, and sedimentary architecture of the finger bar in shallow delta fronts is clarified. Methods Based on the modern mud and sand and hydrological data of finger bar in the Ganjiang Delta, sedimentary numerical simulation software Delft3D, which is commonly used in China and elsewhere, is used to conduct numerical simulation of the sedimentation of the finger bar under seasonal lake level changes and constant lake level conditions, comparing the differences in sedimentary architectures. Results The study shows that under seasonal lake level changes, the finger bar exhibit the following sedimentary architecture and growth evolution characteristics: (1) There are few finger bar, small curvature (average ~1.42), long length (average ~9.2 km), thick in the middle, and thin at the edge, with a thickness difference of 15.4 m. There is no evident confluence between the finger bar, presenting a plane combination style dominated by bird-foot shape. (2) The finger bar develop deep distributary channels, the natural levees are wide and thick, and the thickness of the single-stage accretionary body in the mouth bar is large. (3) The finger bar exhibit stable growth. During lake level drop, the finger bar undergo progradation, the distributary channels are mainly eroded-extended, and mouth bar deposits are formed at the front edge of the distributary channels. The distributary channels are also affected by the mouth bars and undergo diversion and breach, forming multiple terminal distributary channels, and the natural levees are almost undeveloped; during lake level rise, the finger bar undergo retrogradation, the erosion of the distributary channels is weak, the distributary channels are abandoned and optimized, and the natural levees on both sides of the distributary channels accumulate and continue to thicken. For constant lake level, the finger bar show the following sedimentary architecture and growth evolution characteristics: (1) There are many finger bar, with large curvature (average ~1.53), short length (average ~7.2 km), large overall thickness (maximum and minimum thickness differ by only 4.8 m), and no evident topographic difference; multiple finger bar are constantly bifurcated and merged locally, forming a complex the finger bar network, and the plane combination style of the finger bar is mainly interlaced. (2) Deep distributary channels are developed in the finger bar, the single-stage accretion body of the estuary bar is thick, but the most important difference is that there is no natural levee deposition. (3) The growth process of the finger bar is relatively simple, with multiple the finger bar growing simultaneously, intertwining with each other, and finally forming an interlaced plane combination style. Conclusions Therefore, seasonal lake level change is an important formation condition for the finger bar at the front of shallow deltas, promoting the development of natural levees, improving the stability of distributary channels and the finger bar, and playing an important role in controlling the sedimentary architecture and growth process of the finger bar.
Objective In this study, the effect of seasonal lake level changes on the sedimentary characteristics, growth process, and sedimentary architecture of the finger bar in shallow delta fronts is clarified. Methods Based on the modern mud and sand and hydrological data of finger bar in the Ganjiang Delta, sedimentary numerical simulation software Delft3D, which is commonly used in China and elsewhere, is used to conduct numerical simulation of the sedimentation of the finger bar under seasonal lake level changes and constant lake level conditions, comparing the differences in sedimentary architectures. Results The study shows that under seasonal lake level changes, the finger bar exhibit the following sedimentary architecture and growth evolution characteristics: (1) There are few finger bar, small curvature (average ~1.42), long length (average ~9.2 km), thick in the middle, and thin at the edge, with a thickness difference of 15.4 m. There is no evident confluence between the finger bar, presenting a plane combination style dominated by bird-foot shape. (2) The finger bar develop deep distributary channels, the natural levees are wide and thick, and the thickness of the single-stage accretionary body in the mouth bar is large. (3) The finger bar exhibit stable growth. During lake level drop, the finger bar undergo progradation, the distributary channels are mainly eroded-extended, and mouth bar deposits are formed at the front edge of the distributary channels. The distributary channels are also affected by the mouth bars and undergo diversion and breach, forming multiple terminal distributary channels, and the natural levees are almost undeveloped; during lake level rise, the finger bar undergo retrogradation, the erosion of the distributary channels is weak, the distributary channels are abandoned and optimized, and the natural levees on both sides of the distributary channels accumulate and continue to thicken. For constant lake level, the finger bar show the following sedimentary architecture and growth evolution characteristics: (1) There are many finger bar, with large curvature (average ~1.53), short length (average ~7.2 km), large overall thickness (maximum and minimum thickness differ by only 4.8 m), and no evident topographic difference; multiple finger bar are constantly bifurcated and merged locally, forming a complex the finger bar network, and the plane combination style of the finger bar is mainly interlaced. (2) Deep distributary channels are developed in the finger bar, the single-stage accretion body of the estuary bar is thick, but the most important difference is that there is no natural levee deposition. (3) The growth process of the finger bar is relatively simple, with multiple the finger bar growing simultaneously, intertwining with each other, and finally forming an interlaced plane combination style. Conclusions Therefore, seasonal lake level change is an important formation condition for the finger bar at the front of shallow deltas, promoting the development of natural levees, improving the stability of distributary channels and the finger bar, and playing an important role in controlling the sedimentary architecture and growth process of the finger bar.
2026, 44(2): 664-675.
doi: 10.14027/j.issn.1000-0550.2024.042
Abstract:
Objective The reservoirs in the bottom conglomerate of the Qingshuihe Formation in the Gaoquan structural zone of the Sikeshu Sag, southern Junggar Basin, are strongly heterogeneous. The objective was to clarify the development and distribution of high-quality reservoirs in the study area. Methods The sedimentary and reservoir characteristics of the Qingshuihe Formation were examined by facies analysis in cores, well logs and seismic records, and a model of the sedimentary evolution was established based on paleogeomorphological data. The influence of microgeomorphology on the distribution of high-quality reservoirs is clarified. Results Three slope breaks developed in the Gaoquan structural zone, each striking northwest-southeast and comprising groove and platform paleogeomorphological units. A regressive fan delta was formed on the slope breaks during lake transgression, each of which formed conglomerate reservoirs 10-15 m thick. Groove and platform areas controlled the mud content of the reservoirs. Brown conglomerate with high mud content readily developed in the groove areas. Gray or gray-green conglomerate with low mud content developed in the platform areas, forming high-quality reservoirs. Conclusions Groove/platform units at slope breaks controlled the formation and distribution of high-quality reservoirs in the Qingshuihe Formation. The most favorable reservoirs in the study area are in the platform units at each slope break.
Objective The reservoirs in the bottom conglomerate of the Qingshuihe Formation in the Gaoquan structural zone of the Sikeshu Sag, southern Junggar Basin, are strongly heterogeneous. The objective was to clarify the development and distribution of high-quality reservoirs in the study area. Methods The sedimentary and reservoir characteristics of the Qingshuihe Formation were examined by facies analysis in cores, well logs and seismic records, and a model of the sedimentary evolution was established based on paleogeomorphological data. The influence of microgeomorphology on the distribution of high-quality reservoirs is clarified. Results Three slope breaks developed in the Gaoquan structural zone, each striking northwest-southeast and comprising groove and platform paleogeomorphological units. A regressive fan delta was formed on the slope breaks during lake transgression, each of which formed conglomerate reservoirs 10-15 m thick. Groove and platform areas controlled the mud content of the reservoirs. Brown conglomerate with high mud content readily developed in the groove areas. Gray or gray-green conglomerate with low mud content developed in the platform areas, forming high-quality reservoirs. Conclusions Groove/platform units at slope breaks controlled the formation and distribution of high-quality reservoirs in the Qingshuihe Formation. The most favorable reservoirs in the study area are in the platform units at each slope break.
2026, 44(2): 676-688.
doi: 10.14027/j.issn.1000-0550.2024.055
Abstract:
Objective In the middle and late stages of oil and gas field development, studying sand architecture is the key to accessing residual oil and enhancing recovery. Precise interpretation of similar outcrops provides a comparable prototype model for predicting underground reservoir architecture. Methods The shallow-water delta profiles of the Yan’an Formation in the Kaokaowusugou and Gulf Mining Industry in the Ordos Basin were the research objects. UAV oblique photography was used to obtain images of massive outcrops from which 3D digital outcrop models were established. Detailed interpretation of digital outcrop architecture was then carried out by combined field observation and indoor analysis. Results Developmental characteristics and evolutionary models of shallow-water delta front architecture during a time of rising lake levels were defined. When the lake level is low, mainly trunk-type distributary channels are developed, measuring 23.30-48.40 m wide × 0.89-1.81 m thick, with an average width-to-thickness ratio of 26.74. The sandbody superposition patterns are mainly overlay type. As the lake level rises, fork-type distributary channels, mouth bars, sand sheets and subaqueous distributary bays gradually develop. The width of the mouth bar is 53.90 m, thickness is 2.21 m, width-to-thickness ratio is 24.39, and the sandbody superposition patterns is mainly lateral splicing type. When the lake level is higher, mainly terminal-type distributary channels, mouth bars and sheet sand architectural units are developed. Terminal-type underwater distributary channels, which are isolated in muddy deposits, have widths ranging from 4.70 to 25.30 m, thickness from 0.40 to 1.03 m, and the width-to-thickness ratio from 11.75 to 24.56. Conclusions When the source supply of material is relatively stable, an increase in lake level enlarges the accommodation space. The architectural units evolve from trunk-type to terminal-type distributary channels, depositing mouth bars and sand sheets. The size of the sandbody decreases, but its width-to-thickness ratio increases. Overall, the ratio between sandstone and stratum thickness decreases, spatial connectivity decreases, and reservoir heterogeneity is enhanced.
Objective In the middle and late stages of oil and gas field development, studying sand architecture is the key to accessing residual oil and enhancing recovery. Precise interpretation of similar outcrops provides a comparable prototype model for predicting underground reservoir architecture. Methods The shallow-water delta profiles of the Yan’an Formation in the Kaokaowusugou and Gulf Mining Industry in the Ordos Basin were the research objects. UAV oblique photography was used to obtain images of massive outcrops from which 3D digital outcrop models were established. Detailed interpretation of digital outcrop architecture was then carried out by combined field observation and indoor analysis. Results Developmental characteristics and evolutionary models of shallow-water delta front architecture during a time of rising lake levels were defined. When the lake level is low, mainly trunk-type distributary channels are developed, measuring 23.30-48.40 m wide × 0.89-1.81 m thick, with an average width-to-thickness ratio of 26.74. The sandbody superposition patterns are mainly overlay type. As the lake level rises, fork-type distributary channels, mouth bars, sand sheets and subaqueous distributary bays gradually develop. The width of the mouth bar is 53.90 m, thickness is 2.21 m, width-to-thickness ratio is 24.39, and the sandbody superposition patterns is mainly lateral splicing type. When the lake level is higher, mainly terminal-type distributary channels, mouth bars and sheet sand architectural units are developed. Terminal-type underwater distributary channels, which are isolated in muddy deposits, have widths ranging from 4.70 to 25.30 m, thickness from 0.40 to 1.03 m, and the width-to-thickness ratio from 11.75 to 24.56. Conclusions When the source supply of material is relatively stable, an increase in lake level enlarges the accommodation space. The architectural units evolve from trunk-type to terminal-type distributary channels, depositing mouth bars and sand sheets. The size of the sandbody decreases, but its width-to-thickness ratio increases. Overall, the ratio between sandstone and stratum thickness decreases, spatial connectivity decreases, and reservoir heterogeneity is enhanced.
2026, 44(2): 689-706.
doi: 10.14027/j.issn.1000-0550.2024.053
Abstract:
Objective The architecture of marine sandy beach-bar reservoirs is complex, and dominant seepage channels and barriers are developed. The current lack of architecture models for underground reservoirs means that there are few effective guidelines for the recovery of residual oil. Methods A system is proposed for recognizing the architecture patterns of marine sandy beach-bar reservoirs from outcrops in the Hudson Donghe sandstone, obtained through the use of satellite photographs and numerical simulations. Results The depositional architecture of individual sand bars within composite beach-bars is affected by many factors (e.g., shoreline shape, coastal slope, wave direction and height). Multiple types of sandbar may be formed (e.g., conical bar, crescent-moon-shaped bar, positive linear bar, nonlinear inclined bar and sandy beach bar). Based on the identification of boundaries between individual sandbars, and guided by the architecture mode, 13 sandbars of different sizes were identified in the C1 layer in the study area, comprising five crescent-moon-shaped bars, seven forward linear bars and one oblique bar. Differences in scale are evident between different sandbar types: the length of crescent-moon-shaped bars is about 1.5-3.0 km; the length of oblique bars is about 4.5-5.0 km; and the length of positive linear bars is more than 6 km. The sandbars exhibit either progradational or retrogradational stacking patterns; bars in the C1 layer exhibit progradational lateral separation and progradational lateral stacking patterns. The migration rate of the coastline has affected the stacking relationship between the sandbars. Numerical simulations and outcrop observations indicate differences in the developmental patterns of the internal accretion bodies, including top accretion, top- and side accretion, and different interval types. Three internal interlayer patterns were identified in the C1 layer: a two-stage “top- and side-accretion” feature in the No. 16 sandbar, and “side accretion” in the No. 19 sandbar. The slopes of the top and side accretion interlayers range from about 1°-3° to 3°-7°. The layers between No. 14 and 15 sandbars are arranged in an “interval” pattern. Conclusions The fine characterization of the internal architecture of marine sandy beach-bar reservoirs described in this study can effectively guide the recovery of remaining oil.
Objective The architecture of marine sandy beach-bar reservoirs is complex, and dominant seepage channels and barriers are developed. The current lack of architecture models for underground reservoirs means that there are few effective guidelines for the recovery of residual oil. Methods A system is proposed for recognizing the architecture patterns of marine sandy beach-bar reservoirs from outcrops in the Hudson Donghe sandstone, obtained through the use of satellite photographs and numerical simulations. Results The depositional architecture of individual sand bars within composite beach-bars is affected by many factors (e.g., shoreline shape, coastal slope, wave direction and height). Multiple types of sandbar may be formed (e.g., conical bar, crescent-moon-shaped bar, positive linear bar, nonlinear inclined bar and sandy beach bar). Based on the identification of boundaries between individual sandbars, and guided by the architecture mode, 13 sandbars of different sizes were identified in the C1 layer in the study area, comprising five crescent-moon-shaped bars, seven forward linear bars and one oblique bar. Differences in scale are evident between different sandbar types: the length of crescent-moon-shaped bars is about 1.5-3.0 km; the length of oblique bars is about 4.5-5.0 km; and the length of positive linear bars is more than 6 km. The sandbars exhibit either progradational or retrogradational stacking patterns; bars in the C1 layer exhibit progradational lateral separation and progradational lateral stacking patterns. The migration rate of the coastline has affected the stacking relationship between the sandbars. Numerical simulations and outcrop observations indicate differences in the developmental patterns of the internal accretion bodies, including top accretion, top- and side accretion, and different interval types. Three internal interlayer patterns were identified in the C1 layer: a two-stage “top- and side-accretion” feature in the No. 16 sandbar, and “side accretion” in the No. 19 sandbar. The slopes of the top and side accretion interlayers range from about 1°-3° to 3°-7°. The layers between No. 14 and 15 sandbars are arranged in an “interval” pattern. Conclusions The fine characterization of the internal architecture of marine sandy beach-bar reservoirs described in this study can effectively guide the recovery of remaining oil.
2026, 44(2): 707-733.
doi: 10.14027/j.issn.1000-0550.2025.008
Abstract:
Objective The Late Triassic was a crucial period for the Mesozoic Qiangtang Basin evolution. However, the previous research concentrating on the sedimentology of the Upper Triassic strata is rare in the Qiangtang Basin, making it not conducive for elaborately analyzing the characterization of Late Triassic sedimentary evolution and predicting the distribution of source and reservoir rocks. Methods Based on the measured section, we synthesized the thin section, grain size of detrital particle, and typical primary sedimentary structure to identify the sedimentary facies of the Jiapila Formation, Bolila Formation, and Bagong Formation in the Jiang’ai Darina section and then establish the Late Triassic sedimentary evolution model in the central Qiangtang Basin. In addition, the whole-rock and clay minerals, physical properties, and total organic carbon (TOC) contents of sandstone and mudstone samples were analyzed to evaluate the characteristics of source and reservoir rocks. Results (1) In the Jiang’ai Darina section, the sedimentary facies of the Upper Triassic strata have experienced the evolution of the fan-delta facies → barrier-free coastal facies → carbonate ramp facies → neritic shelf facies → delta facies upward, and ten subfacies and eight microfacies were identified. (2) The Upper Triassic strata in the study area constitute an upward deepening transgressive succession and then a shallower regressive succession. The transgressive succession is mainly composed of the Jiapila Formation and Bolila Formation, whereas the regressive succession is primarily composed of the Bagong Formation. (3) The sandstone samples from the Jiapila Formation and Bagong Formation are ultra-low porosity and permeability reservoirs with secondary pores primarily. The mudstone samples of the Bagong Formation from the Jiang’ai Darina section are poor source rocks and non-source rocks, whereas they improve to the north (Woruoshan section). We inferred that the depression between Jiang’ai Darina and Woruoshan may develop well source rocks and have a good exploration prospect based on the latest tectono-lithofacies paleogeographic data, but confirmation is required. Conclusions These results would provide a valuable reference for the researches of Late Triassic sedimentary-tectonic evolution and oil and gas resource evaluation in Qiangtang Basin.
Objective The Late Triassic was a crucial period for the Mesozoic Qiangtang Basin evolution. However, the previous research concentrating on the sedimentology of the Upper Triassic strata is rare in the Qiangtang Basin, making it not conducive for elaborately analyzing the characterization of Late Triassic sedimentary evolution and predicting the distribution of source and reservoir rocks. Methods Based on the measured section, we synthesized the thin section, grain size of detrital particle, and typical primary sedimentary structure to identify the sedimentary facies of the Jiapila Formation, Bolila Formation, and Bagong Formation in the Jiang’ai Darina section and then establish the Late Triassic sedimentary evolution model in the central Qiangtang Basin. In addition, the whole-rock and clay minerals, physical properties, and total organic carbon (TOC) contents of sandstone and mudstone samples were analyzed to evaluate the characteristics of source and reservoir rocks. Results (1) In the Jiang’ai Darina section, the sedimentary facies of the Upper Triassic strata have experienced the evolution of the fan-delta facies → barrier-free coastal facies → carbonate ramp facies → neritic shelf facies → delta facies upward, and ten subfacies and eight microfacies were identified. (2) The Upper Triassic strata in the study area constitute an upward deepening transgressive succession and then a shallower regressive succession. The transgressive succession is mainly composed of the Jiapila Formation and Bolila Formation, whereas the regressive succession is primarily composed of the Bagong Formation. (3) The sandstone samples from the Jiapila Formation and Bagong Formation are ultra-low porosity and permeability reservoirs with secondary pores primarily. The mudstone samples of the Bagong Formation from the Jiang’ai Darina section are poor source rocks and non-source rocks, whereas they improve to the north (Woruoshan section). We inferred that the depression between Jiang’ai Darina and Woruoshan may develop well source rocks and have a good exploration prospect based on the latest tectono-lithofacies paleogeographic data, but confirmation is required. Conclusions These results would provide a valuable reference for the researches of Late Triassic sedimentary-tectonic evolution and oil and gas resource evaluation in Qiangtang Basin.
2026, 44(2): 734-749.
doi: 10.14027/j.issn.1000-0550.2025.019
Abstract:
Objective The Carnian Pluvial Episode (CPE) was a critical climatic perturbation in the Late Triassic, marked by a pronounced transition to warmer and more humid conditions. These environmental changes sub-stantially facilitated the accumulation of fine-grained sediments and the enrichment of organic matter. This study aims to elucidate the sedimentary and geochemical responses of Chang 7 member of the Yanchang Formation in the Ordos Basin to the CPE, by examining thick successions of organic-rich black shales. Methods A multi-proxy analytical approach was employed using core samples from well ZK903. Biomarker compounds serve as the principal dataset, supported by analyses of organic carbon isotopes, trace element geochemistry, and clay mineral assemblages. These proxies were used to reconstruct the paleoclimatic conditions, redox environment, paleosalinity, and organic matter sources across Chang 7 member to Chang 8 member. On this basis, an organic matter enrichment model was developed to interpret the basin’s response to the CPE. Results In the Ordos Basin, the Chang 73 submember records a distinct lithological transition from sandstone to black shale, signaling intensified influence from the CPE and progressively increasing organic matter accumulation. Geochemical proxies, including Sr/Cu and Sr/Rb ratios, together with clay mineral data, indicate a climatic shift from arid-hot to warm-humid conditions. Redox-sensitive parameters such as V/Cr and U/Th, along with biomarker ratios (Pr/Ph and Ts/(Ts+Tm)), point to a significant reduction in bottom-water oxygen levels during this interval. Additionally, increased Sr/Ba ratios and a higher gammacerane index (GI) suggest elevated precipitation and lake-level rise, which led to enhanced water column stratification and diminished vertical mixing. These conditions promoted the development of a freshwater, anoxic environment conducive to the preservation of organic matter. Notably, elevated values of ∑C21 - /∑C22 + and C27/C29 (ααα)R ratios in the Chang 73 interval indicate a shift in the biotic community structure, with a dominance of lower aquatic organisms, particularly algae, as the primary contributors to the organic matter pool. Conclusions The CPE exerted a profound influence on the paleoclimate and depositional dynamics of the study area. Enhanced thermal and hydrological conditions, in conjunction with lake stratification, promoted the accumulation of fine-grained sediments and created favorable conditions for both primary productivity and the preservation of organic matter. These factors jointly facilitated the formation of organic-rich black shales (oil shales) in the Yanchang Formation, underscoring the role of global climatic events in shaping regional hydrocarbon potential.
Objective The Carnian Pluvial Episode (CPE) was a critical climatic perturbation in the Late Triassic, marked by a pronounced transition to warmer and more humid conditions. These environmental changes sub-stantially facilitated the accumulation of fine-grained sediments and the enrichment of organic matter. This study aims to elucidate the sedimentary and geochemical responses of Chang 7 member of the Yanchang Formation in the Ordos Basin to the CPE, by examining thick successions of organic-rich black shales. Methods A multi-proxy analytical approach was employed using core samples from well ZK903. Biomarker compounds serve as the principal dataset, supported by analyses of organic carbon isotopes, trace element geochemistry, and clay mineral assemblages. These proxies were used to reconstruct the paleoclimatic conditions, redox environment, paleosalinity, and organic matter sources across Chang 7 member to Chang 8 member. On this basis, an organic matter enrichment model was developed to interpret the basin’s response to the CPE. Results In the Ordos Basin, the Chang 73 submember records a distinct lithological transition from sandstone to black shale, signaling intensified influence from the CPE and progressively increasing organic matter accumulation. Geochemical proxies, including Sr/Cu and Sr/Rb ratios, together with clay mineral data, indicate a climatic shift from arid-hot to warm-humid conditions. Redox-sensitive parameters such as V/Cr and U/Th, along with biomarker ratios (Pr/Ph and Ts/(Ts+Tm)), point to a significant reduction in bottom-water oxygen levels during this interval. Additionally, increased Sr/Ba ratios and a higher gammacerane index (GI) suggest elevated precipitation and lake-level rise, which led to enhanced water column stratification and diminished vertical mixing. These conditions promoted the development of a freshwater, anoxic environment conducive to the preservation of organic matter. Notably, elevated values of ∑C
2026, 44(2): 750-769.
doi: 10.14027/j.issn.1000-0550.2025.020
Abstract:
Objective The geological conditions in the Junggar Basin hinterland are diverse, and the crude oil properties are complex. To address the issues of crude oil type classification and oil and gas source identification in this area, a study was conducted on the hydrogen isotopic characteristics of n-alkanes (δ2Halk) in the mixed-source crude oils from the Junggar Basin hinterland. Methods Gas Chromatography-Mass Spectrometry (GC-MS), Gas Chromatography-Isotope Ratio Mass Spectrometry (GC-IRMS) and Gas Chromatography-Thermal Conversion-Isotope Ratio Mass Spectrometry (GC-TC-IRMS) techniques were employed to analyze biomarker compounds and conduct hydrogen isotope analysis of n-alkane monomers in 33 crude oil samples from different strata. Results Three types of crude oil were identified in the Junggar Basin hinterland: Type I originated from the Jurassic coal-bearing source rocks (J1b), with the lightest hydrogen isotopic composition due to the significant input of terrestrial higher-plant organic matter; Type II mainly originated from the Permian Fengcheng Formation source rocks (P1f), with Type IIA derived from lacustrine sedimentary environments in transitional marine-terrestrial settings, featuring a low Ga/C30H ratio and relatively heavy hydrogen isotopic composition, while Type IIB had a lighter hydrogen isotopic composition and a higher Ga/C30H ratio; Type III crude oil mainly originated from the Permian Lower Wuerhe Formation source rocks (P2w), with a light hydrogen isotopic composition of n-alkanes. Conclusions The combination of hydrogen isotopic analysis of n-alkanes and biomarker compound analysis is able to precisely classify crude oil types and clarify their sources, which is highly significant for oil source tracking and crude oil classification throughout the Junggar Basin.
Objective The geological conditions in the Junggar Basin hinterland are diverse, and the crude oil properties are complex. To address the issues of crude oil type classification and oil and gas source identification in this area, a study was conducted on the hydrogen isotopic characteristics of n-alkanes (δ2Halk) in the mixed-source crude oils from the Junggar Basin hinterland. Methods Gas Chromatography-Mass Spectrometry (GC-MS), Gas Chromatography-Isotope Ratio Mass Spectrometry (GC-IRMS) and Gas Chromatography-Thermal Conversion-Isotope Ratio Mass Spectrometry (GC-TC-IRMS) techniques were employed to analyze biomarker compounds and conduct hydrogen isotope analysis of n-alkane monomers in 33 crude oil samples from different strata. Results Three types of crude oil were identified in the Junggar Basin hinterland: Type I originated from the Jurassic coal-bearing source rocks (J1b), with the lightest hydrogen isotopic composition due to the significant input of terrestrial higher-plant organic matter; Type II mainly originated from the Permian Fengcheng Formation source rocks (P1f), with Type IIA derived from lacustrine sedimentary environments in transitional marine-terrestrial settings, featuring a low Ga/C30H ratio and relatively heavy hydrogen isotopic composition, while Type IIB had a lighter hydrogen isotopic composition and a higher Ga/C30H ratio; Type III crude oil mainly originated from the Permian Lower Wuerhe Formation source rocks (P2w), with a light hydrogen isotopic composition of n-alkanes. Conclusions The combination of hydrogen isotopic analysis of n-alkanes and biomarker compound analysis is able to precisely classify crude oil types and clarify their sources, which is highly significant for oil source tracking and crude oil classification throughout the Junggar Basin.
2026, 44(2): 770-784.
doi: 10.14027/j.issn.1000-0550.2024.084
Abstract:
Objective Climate change caused by astronomical orbital parameters is closely related to biological turnover and sedimentary evolution of the ocean and lakes, which in turn affects the organic matter enrichment in the strata. The Late Paleozoic coal-bearing rock system in North China is dominated by coal, mudstone, siltstone, sandstone and tuff observed in a number of depositional cycles in the vertical direction. It is also an important system for current oil and gas exploration and development. The aim of this study is to systematically reveal the influence of the astronomical orbital cycle on organic matter enrichment in this coal-bearing system. Methods Natural gamma logging sequences were obtained for four wells (sampling distance 0.05 m) and continuous mineral elements for one well (sampling distance 1 m) in western North China. Astronomical cyclotron time series data and elemental geochemical analysis of typical samples were used to clarify the pattern of organic matter enrichment in stratigraphic cyclotrons at different scales. Results (1) Six 1.2 Myr ultra-long obliquity cycles and eighteen 405 kyr long eccentricity cycles are recognizable in the Carboniferous-Permian Benxi Formation, Taiyuan Formation and Shanxi Formation. (2) Using Mg/Ca, SiO2/Al2O3, Fe/Mn and V/(V+Ni) ratios as paleoclimate and paleoredox proxies, six long-period variations and 18 medium-period variations were identified, all corresponding with ultra-long obliquities and long eccentricities. (3) Comparative analyses of paleoenvironmental restoration and organic carbon content during the depositional period of the Benxi Formation-Shanxi Formation show that paleoclimate evolution and organic matter enrichment are basically synchronized and controlled by the astronomical orbital cycle, and that during periods of increasing ultra-long obliquity or long eccentricity the climate is warm and humid and the reducing nature of bodies of water is enhanced, which promotes organic matter enrichment. Conclusions The above results reveal Carboniferous-Permian climate change in North China influenced by the astronomical orbital cycle and the development of a constrained organic matter-rich sedimentary system, and find that the paleoclimate change during the same period was obviously constrained by the long eccentricity. The findings can be used as a reference for the study of global climate evolution and organic matter enrichment mechanism in the Permian.
Objective Climate change caused by astronomical orbital parameters is closely related to biological turnover and sedimentary evolution of the ocean and lakes, which in turn affects the organic matter enrichment in the strata. The Late Paleozoic coal-bearing rock system in North China is dominated by coal, mudstone, siltstone, sandstone and tuff observed in a number of depositional cycles in the vertical direction. It is also an important system for current oil and gas exploration and development. The aim of this study is to systematically reveal the influence of the astronomical orbital cycle on organic matter enrichment in this coal-bearing system. Methods Natural gamma logging sequences were obtained for four wells (sampling distance 0.05 m) and continuous mineral elements for one well (sampling distance 1 m) in western North China. Astronomical cyclotron time series data and elemental geochemical analysis of typical samples were used to clarify the pattern of organic matter enrichment in stratigraphic cyclotrons at different scales. Results (1) Six 1.2 Myr ultra-long obliquity cycles and eighteen 405 kyr long eccentricity cycles are recognizable in the Carboniferous-Permian Benxi Formation, Taiyuan Formation and Shanxi Formation. (2) Using Mg/Ca, SiO2/Al2O3, Fe/Mn and V/(V+Ni) ratios as paleoclimate and paleoredox proxies, six long-period variations and 18 medium-period variations were identified, all corresponding with ultra-long obliquities and long eccentricities. (3) Comparative analyses of paleoenvironmental restoration and organic carbon content during the depositional period of the Benxi Formation-Shanxi Formation show that paleoclimate evolution and organic matter enrichment are basically synchronized and controlled by the astronomical orbital cycle, and that during periods of increasing ultra-long obliquity or long eccentricity the climate is warm and humid and the reducing nature of bodies of water is enhanced, which promotes organic matter enrichment. Conclusions The above results reveal Carboniferous-Permian climate change in North China influenced by the astronomical orbital cycle and the development of a constrained organic matter-rich sedimentary system, and find that the paleoclimate change during the same period was obviously constrained by the long eccentricity. The findings can be used as a reference for the study of global climate evolution and organic matter enrichment mechanism in the Permian.
2026, 44(2): 785-798.
doi: 10.14027/j.issn.1000-0550.2024.102
Abstract:
Objective Recent significant discoveries of marine clastic gas reservoirs in the Shiqiantan Formation (Shiqiantan Sag, Junggar Basin, NW China) necessitate the refined understanding of depositional systems to guide future hydrocarbon exploration. Methods This study reconstructs paleogeomorphology through isochronous sequence stratigraphic correlation and integrates seismic facies analysis, well-log cross-sections, and core/thin-section observations to delineate depositional facies and establish an evolutionary model. [Results and Conclusions] Results reveal a complete third-order sequence in the Shiqiantan Formation, subdivided by paleogeomorphic slope breaks into early transgressive systems tract (TST), late TST, and highstand systems tract (HST). During deposition, the sag formed a narrow NW-SE-trending marine seaway featuring rift-controlled troughs, multi-stage slope breaks, fault-bounded steep margins, and erosional valleys. Depositional systems identified include nearshore subaqueous fans, fan deltas, slope fans, and basin-floor fans. Paleogeomorphology exerted primary control on facies distribution: fan deltas and nearshore subaqueous fans developed along southern fault-controlled steep slopes; slope fans dominated the northern multi-stage gentle slopes; basin-floor fans occupied the central trough. Deposition occurred under rapid transgression, forming multi-stage imbricate retrogradational basin-floor/slope fan complexes during TST, overlain by extensive braided delta systems in HST. The TST hosts high-quality mature source rocks. Critically, basin-floor fans and slope fans on the northern gentle slope exhibit "finger-like interdigitation" with marine source rocks—creating optimal "source-on-top" and "source-adjacent" reservoir configurations. These zones represent prime targets for concealed hydrocarbon exploration due to superior charge conditions.
Objective Recent significant discoveries of marine clastic gas reservoirs in the Shiqiantan Formation (Shiqiantan Sag, Junggar Basin, NW China) necessitate the refined understanding of depositional systems to guide future hydrocarbon exploration. Methods This study reconstructs paleogeomorphology through isochronous sequence stratigraphic correlation and integrates seismic facies analysis, well-log cross-sections, and core/thin-section observations to delineate depositional facies and establish an evolutionary model. [Results and Conclusions] Results reveal a complete third-order sequence in the Shiqiantan Formation, subdivided by paleogeomorphic slope breaks into early transgressive systems tract (TST), late TST, and highstand systems tract (HST). During deposition, the sag formed a narrow NW-SE-trending marine seaway featuring rift-controlled troughs, multi-stage slope breaks, fault-bounded steep margins, and erosional valleys. Depositional systems identified include nearshore subaqueous fans, fan deltas, slope fans, and basin-floor fans. Paleogeomorphology exerted primary control on facies distribution: fan deltas and nearshore subaqueous fans developed along southern fault-controlled steep slopes; slope fans dominated the northern multi-stage gentle slopes; basin-floor fans occupied the central trough. Deposition occurred under rapid transgression, forming multi-stage imbricate retrogradational basin-floor/slope fan complexes during TST, overlain by extensive braided delta systems in HST. The TST hosts high-quality mature source rocks. Critically, basin-floor fans and slope fans on the northern gentle slope exhibit "finger-like interdigitation" with marine source rocks—creating optimal "source-on-top" and "source-adjacent" reservoir configurations. These zones represent prime targets for concealed hydrocarbon exploration due to superior charge conditions.