Current Issue
2025 Vol. 43, No. 6
Display Method:
2025, 43(6): 1897-1918.
doi: 10.14027/j.issn.1000-0550.2024.080
Abstract:
Significance The development mechanism of fine-grained rock laminae is important for paleoclimate reduction and unconventional oil and gas exploration, and has attracted significant attention in recent years. However, the formation mechanism and corresponding identification characteristics of laminae in lacustrine fine-grained sedimentary rocks are still unclear. Progress This article systematically summarizes the sedimentary properties and factors influencing the formation of laminae in lacustrine fine-grained sedimentary rocks, such as suspended sedimentation, distal dilution of gravity flow, bottom currents, volcanic hydrothermal fluid and microbial activities. Various sedimentary processes may form similar laminae in composition, lamina thickness, particle size, and morphology, but for genetic identification, significant differences are evident in laminae combinations, bioturbation and other sedimentary features. The formation and distribution of these laminae are controlled by two major factors: paleoclimate and paleogeography. Paleoclimate has a broad, complex control over laminae; paleogeography controls their distribution pattern. [Prospects] From the perspectives of theoretical development and practical application, there remain some outstanding issues in the study of laminae in lacustrine fine-grained sedimentary rocks. In future studies, effective methods for extracting and naming laminae should be developed for identifying their formation mechanism, integrating spatial changes and focusing on groundbreaking issues (e.g., paleoclimate interpretation, carbon burial, life evolution, Martian sedimentology) to meet the major needs of unconventional oil and gas exploration.
Significance The development mechanism of fine-grained rock laminae is important for paleoclimate reduction and unconventional oil and gas exploration, and has attracted significant attention in recent years. However, the formation mechanism and corresponding identification characteristics of laminae in lacustrine fine-grained sedimentary rocks are still unclear. Progress This article systematically summarizes the sedimentary properties and factors influencing the formation of laminae in lacustrine fine-grained sedimentary rocks, such as suspended sedimentation, distal dilution of gravity flow, bottom currents, volcanic hydrothermal fluid and microbial activities. Various sedimentary processes may form similar laminae in composition, lamina thickness, particle size, and morphology, but for genetic identification, significant differences are evident in laminae combinations, bioturbation and other sedimentary features. The formation and distribution of these laminae are controlled by two major factors: paleoclimate and paleogeography. Paleoclimate has a broad, complex control over laminae; paleogeography controls their distribution pattern. [Prospects] From the perspectives of theoretical development and practical application, there remain some outstanding issues in the study of laminae in lacustrine fine-grained sedimentary rocks. In future studies, effective methods for extracting and naming laminae should be developed for identifying their formation mechanism, integrating spatial changes and focusing on groundbreaking issues (e.g., paleoclimate interpretation, carbon burial, life evolution, Martian sedimentology) to meet the major needs of unconventional oil and gas exploration.
2025, 43(6): 1919-1934.
doi: 10.14027/j.issn.1000-0550.2024.122
Abstract:
Significance The dolomite problem remains one of the most contentious and prominent issues in the field of sedimentology. Previous studies have demonstrated that the direct precipitation of ordered dolomite under low-temperature, inorganic conditions is challenging both in laboratory settings and modern natural sedimentary environments. The formation of dolomite is a kinetically controlled process, and several crucial factors have been identified, including the hydration of Mg2+, presence of sulfate inhibitor, nucleation sites, and ordering of cations. The role of sulfate in the formation of dolomite has garnered considerable attention, yet it remains a subject of substantial debate. The hypothesis that sulfate inhibits the formation of dolomite has long been widely accepted by geologists, serving as an explanatory framework for determining the evolution of dolomite abundance and seawater properties throughout geological history. With the advancement of research, particularly in ongoing investigations into the formation mechanism of microbial dolomite, a contentious debate has arisen regarding the role of sulfate, as several scholars have argued that the presence of sulfate does not inhibit low-temperature dolomite precipitation. The controversy regarding the role of sulfate arises from: (1) the large variation in SO4 2 - concentration in modern natural sedimentary environments where dolomite is precipitated; (2) the distinct roles of SO4 2 - that vary under inorganic and organic, high-temperature and low-temperature conditions; and (3) the limitations of applying conceptual patterns derived from laboratory contexts with singular factors to complex sedimentary environments. The ‘sulfate enigma’ remains an unresolved issue in understanding the dolomite genesis. Progress Here, we present a systematic review of the diverse perspectives regarding the role of sulfate in dolomite formation from the past 60 years. First, we elaborate on the two prevailing perspectives regarding how SO4 2 - inhabits dolomite formation. Subsequently, we assess the efficacy of SO4 2 - as an inhibitor under various conditions and reinterpret its role within the microbial dolomite model. Finally, we summarize the role of sulfate in the laboratory synthesis of dolomite analogs while addressing existing challenges and limitations. Conclusions and Prospects The role of sulfate in dolomite formation is not simply inhibitory or promotive but highly dependent on environmental conditions (e.g., temperature, concentration, and microbial activity). Future research should focus on the following aspects: (1) Re-evaluating the effectiveness of sulfate in inhibiting dolomite formation under low-temperature conditions; (2) Investigating whether microbial activity can override the inhibitory effect of sulfate; (3) Clarifying whether sulfate itself plays a role or whether its derived substances (e.g., H2S) contribute to dolomite precipitation; (4) Based on a deeper understanding of the role of sulfate, uncovering the coupling relationship between the abundance of dolomite in geological history and the evolution of paleo-ocean properties (e.g., sulfate concentration, redox state), thereby providing new theoretical support for resolving the “dolomite problem”.
Significance The dolomite problem remains one of the most contentious and prominent issues in the field of sedimentology. Previous studies have demonstrated that the direct precipitation of ordered dolomite under low-temperature, inorganic conditions is challenging both in laboratory settings and modern natural sedimentary environments. The formation of dolomite is a kinetically controlled process, and several crucial factors have been identified, including the hydration of Mg2+, presence of sulfate inhibitor, nucleation sites, and ordering of cations. The role of sulfate in the formation of dolomite has garnered considerable attention, yet it remains a subject of substantial debate. The hypothesis that sulfate inhibits the formation of dolomite has long been widely accepted by geologists, serving as an explanatory framework for determining the evolution of dolomite abundance and seawater properties throughout geological history. With the advancement of research, particularly in ongoing investigations into the formation mechanism of microbial dolomite, a contentious debate has arisen regarding the role of sulfate, as several scholars have argued that the presence of sulfate does not inhibit low-temperature dolomite precipitation. The controversy regarding the role of sulfate arises from: (1) the large variation in SO
2025, 43(6): 1935-1951.
doi: 10.14027/j.issn.1000-0550.2024.125
Abstract:
Significance Since the beginning of the Industrial Revolution, human activities have resulted in the sustained release of greenhouse gases, including carbon dioxide (CO2) into the atmosphere. This has been primarily driven by the combustion of fossil fuels, and threatens profound climatic disturbances, environmental transformations and widespread biological crises. Similarly, the Paleocene-Eocene Thermal Maximum (PETM, ~56 Ma) represents a period of massive carbon release into the atmosphere, occurring at a rate strikingly comparable to current anthropogenic carbon emissions. It is of paramount importance to gain a comprehensive understanding of the processes and mechanisms that regulated carbon release during the PETM. Such knowledge can provide valuable insights into the impact of these emissions on the Earth’s habitability. Furthermore, these findings have significant implications for our attempts to gain an understanding of present-day and future climate change. It is consequently of the highest scientific importance to study this ancient climatic event, as it offers a natural experiment for evaluating the potential consequences of contemporary carbon emissions on global climate dynamics and ecological stability. Progress The trigger of the PETM has been the subject of considerable debate among scholars in the past few decades. Despite extensive research, the exact mechanism that instigated the massive carbon release during the PETM remains unresolved, although the findings of recent studies have indicated a temporal correlation between magmatism in the North Atlantic Igneous Province (NAIP) and the PETM. This evidence suggests that volcanic activity in NAIP was likely to be have been the trigger of the climatic perturbation. While this hypothesis adds to our insights into the triggering mechanisms of PETM events, our understanding of the exact cause-and-effect relationship between volcanic activity and climate fluctuations during this transition period remains incomplete. A significant challenge to a full establishing this relationship is the difficulty of accurately tracing volcanic activity in the sedimentary record during this period, due to the complex nature of volcanic products and their subsequent alteration over millions of years and the problem of identifying and distinguishing between different volcanic events. Recently, mercury (Hg) concentrations and their isotopic compositions in sediments have emerged as promising tools for tracing volcanic activity throughout geological history. However, in the present study, the focus on the Hg record of the PETM was largely limited to near-shore areas proximal to the NAIP eruption sites. Few studies have explored the Hg concentrations in sediments from open-ocean regions located at a considerable distance from the eruption centers, leaving a significant gap in our understanding of the broader extent of the influence of the NAIP. The spatial limitations of this study restricted our ability to fully assess the global impact of volcanic emissions on the Earth’s climate and ecosystems during the PETM. Conclusions and Prospects This paper provides a comprehensive review of the current state of research on the use of mercury deposition as a tracer of ancient volcanic activity during the PETM. It identifies existing research limitations and suggests key directions for future studies. It also reviews the possible relationship between the volcanic activity of the NAIP and the climatic events of the PETM, emphasizing the need for further interdisciplinary research to resolve outstanding issues and refine our understanding of this critical period in the Earth’s history.
Significance Since the beginning of the Industrial Revolution, human activities have resulted in the sustained release of greenhouse gases, including carbon dioxide (CO2) into the atmosphere. This has been primarily driven by the combustion of fossil fuels, and threatens profound climatic disturbances, environmental transformations and widespread biological crises. Similarly, the Paleocene-Eocene Thermal Maximum (PETM, ~56 Ma) represents a period of massive carbon release into the atmosphere, occurring at a rate strikingly comparable to current anthropogenic carbon emissions. It is of paramount importance to gain a comprehensive understanding of the processes and mechanisms that regulated carbon release during the PETM. Such knowledge can provide valuable insights into the impact of these emissions on the Earth’s habitability. Furthermore, these findings have significant implications for our attempts to gain an understanding of present-day and future climate change. It is consequently of the highest scientific importance to study this ancient climatic event, as it offers a natural experiment for evaluating the potential consequences of contemporary carbon emissions on global climate dynamics and ecological stability. Progress The trigger of the PETM has been the subject of considerable debate among scholars in the past few decades. Despite extensive research, the exact mechanism that instigated the massive carbon release during the PETM remains unresolved, although the findings of recent studies have indicated a temporal correlation between magmatism in the North Atlantic Igneous Province (NAIP) and the PETM. This evidence suggests that volcanic activity in NAIP was likely to be have been the trigger of the climatic perturbation. While this hypothesis adds to our insights into the triggering mechanisms of PETM events, our understanding of the exact cause-and-effect relationship between volcanic activity and climate fluctuations during this transition period remains incomplete. A significant challenge to a full establishing this relationship is the difficulty of accurately tracing volcanic activity in the sedimentary record during this period, due to the complex nature of volcanic products and their subsequent alteration over millions of years and the problem of identifying and distinguishing between different volcanic events. Recently, mercury (Hg) concentrations and their isotopic compositions in sediments have emerged as promising tools for tracing volcanic activity throughout geological history. However, in the present study, the focus on the Hg record of the PETM was largely limited to near-shore areas proximal to the NAIP eruption sites. Few studies have explored the Hg concentrations in sediments from open-ocean regions located at a considerable distance from the eruption centers, leaving a significant gap in our understanding of the broader extent of the influence of the NAIP. The spatial limitations of this study restricted our ability to fully assess the global impact of volcanic emissions on the Earth’s climate and ecosystems during the PETM. Conclusions and Prospects This paper provides a comprehensive review of the current state of research on the use of mercury deposition as a tracer of ancient volcanic activity during the PETM. It identifies existing research limitations and suggests key directions for future studies. It also reviews the possible relationship between the volcanic activity of the NAIP and the climatic events of the PETM, emphasizing the need for further interdisciplinary research to resolve outstanding issues and refine our understanding of this critical period in the Earth’s history.
2025, 43(6): 1952-1967.
doi: DOI:10.14027/j.issn.1000-0550.2023.112
Abstract:
Objective At present, research on the Early Jurassic Toarcian Oceanic Anoxic Event (T-OAE; ~183 Ma) in the Ordos Basin primarily emphasizes paleoclimate conditions, the evolution of the sedimentary environment, and biodiversity changes. However, the mechanisms governing sulfur cycling in lakes during the T-OAE remain unclear. Consequently, further examination of the sulfur cycling mechanism is essential. Methods Twenty-eight samples were selected from the Anya section. Mineralogy and isotope geochemistry analyses were performed on mudstone and black shale samples from the Anya section. The mechanisms of sulfur isotope fractionation during the T-OAE were investigated using major and trace elements, as well as pyrite sulfur isotopes (δ34Spy). To avoid interference from marcasite and siderite, mineral morphology and energy spectra were examined using a scanning electron microscope (SEM). Results The pyrite in the samples from the Anya section predominantly were tetrahedral and octahedral crystals, forming framboidal pyrite. The mineral surface exhibits a smooth texture without the presence of platy marcasite. The coexistence of radial siderite with pyrite is also observable. The δ34Spy values of these samples consistently display positive values, ranging from 2.7‰ to 14.1‰, with an average of 8.3‰. By analyzing the fluctuations in δ34Spy and total organic carbon (TOC), along with the use of geochemical indicators such as δ13C, total sulfur (TS), Corg/P, and (La/Yb)N, we delineated the evolution of the lacustrine sedimentary environment during the T-OAE into four distinct stages, comprising periods characterized by high (Stages I and II) and low organic matter (Stages I and II). Conclusions The δ34Spy values during the T-OAE in the Anya section of the Ordos Basin align with those of atmospheric precipitation and surface runoff, suggesting that sulfate in the water mass serves as the primary source of sulfur in the lake. Atmospheric precipitation and surface runoff mainly consist of dissolved sulfate ions exhibiting lacustrine sulfate isotope compositions between 0 and 10%. However, the samples from the Anya section include black shale, mudstone, sandstone, and other low sulfur source rocks, likely resulting in smaller sulfur isotope compositions within the lakes. It is improbable that the sulfur isotope composition of pyrite is inherited from lacustrine sulfate. The sulfur isotopes in the pyrite of the samples are primarily influenced by the redox conditions of the lake bottom water and the organic matter content/type within the sediment. When the lake bottom water is oxygen-rich and the organic matter content is low, dissolved oxygen infiltrates into sediments, activating anaerobic oxidants such as NO2 - and Mn2+, while promoting H2S reoxidation. This process leads to a positive δ34Spy shift, as described by the Rayleigh fractionation model. In contrast, when the lake bottom water is oxygen-deficient and the organic matter content high, sulfate-reducing bacteria become more active, promoting the microbial sulfate reduction (MSR) reaction, which preferentially incorporates 32S, which results in a negative δ34Spy shift. During the T-OAE, the lake redox conditions and climate underwent significant changes, exerting a substantial influence on the form, content, and fractionation of sulfur within lake. The sulfur cycle during the T-OAE in the Anya section is predominantly dictated by local and regional sedimentary environments, although it is also affected by global warming and intensified hydrological circulation during the T-OAE.
Objective At present, research on the Early Jurassic Toarcian Oceanic Anoxic Event (T-OAE; ~183 Ma) in the Ordos Basin primarily emphasizes paleoclimate conditions, the evolution of the sedimentary environment, and biodiversity changes. However, the mechanisms governing sulfur cycling in lakes during the T-OAE remain unclear. Consequently, further examination of the sulfur cycling mechanism is essential. Methods Twenty-eight samples were selected from the Anya section. Mineralogy and isotope geochemistry analyses were performed on mudstone and black shale samples from the Anya section. The mechanisms of sulfur isotope fractionation during the T-OAE were investigated using major and trace elements, as well as pyrite sulfur isotopes (δ34Spy). To avoid interference from marcasite and siderite, mineral morphology and energy spectra were examined using a scanning electron microscope (SEM). Results The pyrite in the samples from the Anya section predominantly were tetrahedral and octahedral crystals, forming framboidal pyrite. The mineral surface exhibits a smooth texture without the presence of platy marcasite. The coexistence of radial siderite with pyrite is also observable. The δ34Spy values of these samples consistently display positive values, ranging from 2.7‰ to 14.1‰, with an average of 8.3‰. By analyzing the fluctuations in δ34Spy and total organic carbon (TOC), along with the use of geochemical indicators such as δ13C, total sulfur (TS), Corg/P, and (La/Yb)N, we delineated the evolution of the lacustrine sedimentary environment during the T-OAE into four distinct stages, comprising periods characterized by high (Stages I and II) and low organic matter (Stages I and II). Conclusions The δ34Spy values during the T-OAE in the Anya section of the Ordos Basin align with those of atmospheric precipitation and surface runoff, suggesting that sulfate in the water mass serves as the primary source of sulfur in the lake. Atmospheric precipitation and surface runoff mainly consist of dissolved sulfate ions exhibiting lacustrine sulfate isotope compositions between 0 and 10%. However, the samples from the Anya section include black shale, mudstone, sandstone, and other low sulfur source rocks, likely resulting in smaller sulfur isotope compositions within the lakes. It is improbable that the sulfur isotope composition of pyrite is inherited from lacustrine sulfate. The sulfur isotopes in the pyrite of the samples are primarily influenced by the redox conditions of the lake bottom water and the organic matter content/type within the sediment. When the lake bottom water is oxygen-rich and the organic matter content is low, dissolved oxygen infiltrates into sediments, activating anaerobic oxidants such as NO
2025, 43(6): 1968-1977.
doi: 10.14027/j.issn.1000-0550.2024.015
Abstract:
Objective Carbon and oxygen isotopes are important geochemical indices of carbonate rocks, play an important role in revealing the characteristics of sedimentary and diagenetic fluids, and have become one of the basic means to study carbonate rocks. At present, a large number of studies on carbon and oxygen isotopes in limestone-dolomite have been conducted globally, but there are few studies on carbon and oxygen isotopes in sulfate-carbonate. In the sulfate-carbonate stage of the sedimentary sequence, there are still carbon and oxygen elements that can be tested, which makes this study possible. There are currently studies on carbon and oxygen isotopes of the plaster salt section of Huaying Mountain and the plaster bearing strata of Reichenhall Formation, Australia, but these studies are few and concentrated on surface samples. It is of great theoretical significance to study carbon and oxygen isotopes of drilling gypsum salt samples. Methods In the process of drilling a geothermal well in Doubei Village, Gaotan Town, Linshui County, and Sichuan, to the east of Huaying Mountain in Sichuan Basin, carbon and oxygen isotopes of paste salt interbedding cuttings of Jialingjiang-Lekoupo Formation were studied. Results (1) The δ13CPDB ranges from -4.68‰ to -0.12‰, with an average value of -2.86‰. The δ18OPDB of paste salt interbedding cuttings in the Daobei geothermal well ranges from -15.47‰ to -2.56‰, with an average value of -9.13‰, and the Z-value is lower than 120, which is inconsistent with the characteristics of marine sediments. The δ13CPDB and δ18OPDB values were significantly lower than that of the Triassic paste salt formation in Huaying Mountain and the Reichenhall paste salt formation in Australia; (2) According to the two calculation methods, the formation temperature is 28.18 ℃-111.71 ℃, the average value is 68.45 ℃ and 4.54 ℃-78.21 ℃, the average value is 38.91 ℃. The former was close to the present temperature of the formation, but the latter was lower, which may be related to the selection of δ18O in the calculation formula. Conclusions The carbon and oxygen isotopes of the underground salt-salt strata in this area are mainly affected by the thermochemical sulfate reduction (TSR) in the deep-buried stage before the formation fold and the massive inflow of surface fresh water after the formation fold, fracture and uplift. The high formation temperature and exchange of organic carbon before fold and the desalting of surface water after fold and fracture are the fundamental reasons for the low δ13C and δ18O of the gypsum salt layer in this area. However, there may be a little freshwater action and influence during the depositional stage.
Objective Carbon and oxygen isotopes are important geochemical indices of carbonate rocks, play an important role in revealing the characteristics of sedimentary and diagenetic fluids, and have become one of the basic means to study carbonate rocks. At present, a large number of studies on carbon and oxygen isotopes in limestone-dolomite have been conducted globally, but there are few studies on carbon and oxygen isotopes in sulfate-carbonate. In the sulfate-carbonate stage of the sedimentary sequence, there are still carbon and oxygen elements that can be tested, which makes this study possible. There are currently studies on carbon and oxygen isotopes of the plaster salt section of Huaying Mountain and the plaster bearing strata of Reichenhall Formation, Australia, but these studies are few and concentrated on surface samples. It is of great theoretical significance to study carbon and oxygen isotopes of drilling gypsum salt samples. Methods In the process of drilling a geothermal well in Doubei Village, Gaotan Town, Linshui County, and Sichuan, to the east of Huaying Mountain in Sichuan Basin, carbon and oxygen isotopes of paste salt interbedding cuttings of Jialingjiang-Lekoupo Formation were studied. Results (1) The δ13CPDB ranges from -4.68‰ to -0.12‰, with an average value of -2.86‰. The δ18OPDB of paste salt interbedding cuttings in the Daobei geothermal well ranges from -15.47‰ to -2.56‰, with an average value of -9.13‰, and the Z-value is lower than 120, which is inconsistent with the characteristics of marine sediments. The δ13CPDB and δ18OPDB values were significantly lower than that of the Triassic paste salt formation in Huaying Mountain and the Reichenhall paste salt formation in Australia; (2) According to the two calculation methods, the formation temperature is 28.18 ℃-111.71 ℃, the average value is 68.45 ℃ and 4.54 ℃-78.21 ℃, the average value is 38.91 ℃. The former was close to the present temperature of the formation, but the latter was lower, which may be related to the selection of δ18O in the calculation formula. Conclusions The carbon and oxygen isotopes of the underground salt-salt strata in this area are mainly affected by the thermochemical sulfate reduction (TSR) in the deep-buried stage before the formation fold and the massive inflow of surface fresh water after the formation fold, fracture and uplift. The high formation temperature and exchange of organic carbon before fold and the desalting of surface water after fold and fracture are the fundamental reasons for the low δ13C and δ18O of the gypsum salt layer in this area. However, there may be a little freshwater action and influence during the depositional stage.
2025, 43(6): 1978-1991.
doi: 10.14027/j.issn.1000-0550.2024.001
Abstract:
Objective During the Cretaceous period, extreme greenhouse climate, global oceanic anoxia,and oxygen enrichment events occurred. The Cretaceous red beds that appeared during this period contain important information related to the paleoclimate and paleoenvironment that aid in our understanding of stratigraphic surface systems. Methods In this study, a set of red mudstones developed during the Cretaceous in the North Yellow Sea Basin of eastern China were taken as the object of study. X-ray diffraction (XRD) and diffuse reflectance spectroscopy (DRS) analyses were conducted on the red and grey mudstones of the Middle Jurassic to Lower Cretaceous to semi-quantitatively and quantitatively analyze the composition and content of chromogenic minerals in the rocks. We also combined the ordinary thin section and scanning electron microscope methods to observe the characteristics of chromogenic minerals in the red mudstone, such as the morphology, distribution, and crystalline size of iron-containing minerals. The DRS second derivative method was used to calculate the contents of hematite and goethite in mudstone samples. The paleoclimate and paleoenvironment information of red mudstone during its deposition period was obtained by combining the content and ratio of iron oxides in the samples. Results XRD results show that the chromogenic minerals in the red mudstone are hematite and goethite, of which hematite is the main content. The highest content can reach 14%, whereas the grey mudstone does not contain hematite; hematite aggregates can be seen under the microscope in the red mudstone, and alteration phenomena can be seen in the local area; hematite can be seen as granular or plate aggregates under the scanning electron microscope; The DRS second derivative method calculated that the average content of hematite in red samples was 1.25 g/kg, and the highest was 2.62 g/kg. The average content of goethite was 0.62 g/kg, and the highest was 1.19 g/kg. Using the changes in hematite and goethite content, the climate was found to be relatively humid from the Late Jurassic to the Early Cretaceous, and hot and dry from the Middle to Late Early Cretaceous. Conclusions Combined with the paleoclimate data of the North Yellow Sea Basin and its adjacent areas, the method of using iron oxides to reflect the paleoclimate changes in the study area was found to be feasible. A comprehensive analysis suggests that the chromogenic minerals in the red mudstone of the Lower Cretaceous have indicative significance for the paleoenvironment and paleoclimate.
Objective During the Cretaceous period, extreme greenhouse climate, global oceanic anoxia,and oxygen enrichment events occurred. The Cretaceous red beds that appeared during this period contain important information related to the paleoclimate and paleoenvironment that aid in our understanding of stratigraphic surface systems. Methods In this study, a set of red mudstones developed during the Cretaceous in the North Yellow Sea Basin of eastern China were taken as the object of study. X-ray diffraction (XRD) and diffuse reflectance spectroscopy (DRS) analyses were conducted on the red and grey mudstones of the Middle Jurassic to Lower Cretaceous to semi-quantitatively and quantitatively analyze the composition and content of chromogenic minerals in the rocks. We also combined the ordinary thin section and scanning electron microscope methods to observe the characteristics of chromogenic minerals in the red mudstone, such as the morphology, distribution, and crystalline size of iron-containing minerals. The DRS second derivative method was used to calculate the contents of hematite and goethite in mudstone samples. The paleoclimate and paleoenvironment information of red mudstone during its deposition period was obtained by combining the content and ratio of iron oxides in the samples. Results XRD results show that the chromogenic minerals in the red mudstone are hematite and goethite, of which hematite is the main content. The highest content can reach 14%, whereas the grey mudstone does not contain hematite; hematite aggregates can be seen under the microscope in the red mudstone, and alteration phenomena can be seen in the local area; hematite can be seen as granular or plate aggregates under the scanning electron microscope; The DRS second derivative method calculated that the average content of hematite in red samples was 1.25 g/kg, and the highest was 2.62 g/kg. The average content of goethite was 0.62 g/kg, and the highest was 1.19 g/kg. Using the changes in hematite and goethite content, the climate was found to be relatively humid from the Late Jurassic to the Early Cretaceous, and hot and dry from the Middle to Late Early Cretaceous. Conclusions Combined with the paleoclimate data of the North Yellow Sea Basin and its adjacent areas, the method of using iron oxides to reflect the paleoclimate changes in the study area was found to be feasible. A comprehensive analysis suggests that the chromogenic minerals in the red mudstone of the Lower Cretaceous have indicative significance for the paleoenvironment and paleoclimate.
2025, 43(6): 1992-2003.
doi: 10.14027/j.issn.1000-0550.2024.003
Abstract:
Objective Chemical weathering is a key geological process that regulates the long-term climate of the Earth and participates in the global carbon cycle. It plays a key role in the evolution of terrestrial climate and paleo-climate reconstruction, shaping the surface morphology and sustaining life. Methods The chemical weathering characteristics of fine particle components (<63 μm) of 89 aeolian and fluvial sand samples from four major sandy lands in Northeast China (Hunshandake sandy land, Horqin sandy land, Songnen sandy land, and Hulunbuir sandy land) were analyzed to reveal the spatial distribution characteristics of chemical weathering in the Northeast sandy land. To evaluate the correlation between 13 different weathering indices and climate factors (annual average temperature and precipitation) and the main influencing factors controlling the chemical weathering degree of the Northeast sandy land . Results The results showed that when the same chemical weathering index (such as Chemical Index of Alteration, CIA) was used to reconstruct the chemical weathering characteristics of sandy land, the spatial distribution of different sandy lands was poor, the correlation between the same weathering index and climate factors was poor (r≤0.4, p>0.05). However, different weathering indices showed clear spatial distribution rules when reconstructing the distribution characteristics of chemical weathering in the Northeast sandy land, and the correlation with climate factors was better in different sandy lands (r≥0.6, p≤0.05), indicating that different weathering indices had different sensitivities to climate in different regions. Therefore, the chemical weathering measured by different indices in the Northeast sandy land is controlled by climate factors, but the correlation between chemical weathering intensity and temperature and precipitation of different sandy lands is still significantly different. In general, most of the chemical weathering areas reconstructed with different indices in the Northeast sandy land are in a low chemical weathering intensity, and the distribution range of chemical weathering high value is small, and there are clear spatial distribution characteristics. The intensity of chemical weathering in Hunshandake sandy land, eastern Horqin sandy land and Songnen sandy land is affected by precipitation factors. The temperature and precipitation changes are influenced by fluvial action, monsoon precipitation, geographical location, and vegetation coverage, which indirectly affect the occurrence of chemical weathering. The chemical weathering intensity in the west Horqin sandy land is mainly affected by temperature factors and controlled by terrain and higher average annual temperature. The chemical weathering intensity of Hulunbuir sandy land is weakly affected by temperature and precipitation factors, and non-climatic factors (such as terrain, wind erosion, physical weathering, and vegetation coverage) may weaken the influence of climate on chemical weathering. Conclusions In summary, the degree of chemical weathering in the Northeast sandy land is mainly controlled by climatic conditions (temperature and precipitation), but the sensitivity of chemical weathering represented by different chemical weathering indices to climate is significantly different in different sandy lands. Therefore, careful choices should be made when using chemical weathering indices of sediments for paleo-climate and paleo-climate reconstruction.
Objective Chemical weathering is a key geological process that regulates the long-term climate of the Earth and participates in the global carbon cycle. It plays a key role in the evolution of terrestrial climate and paleo-climate reconstruction, shaping the surface morphology and sustaining life. Methods The chemical weathering characteristics of fine particle components (<63 μm) of 89 aeolian and fluvial sand samples from four major sandy lands in Northeast China (Hunshandake sandy land, Horqin sandy land, Songnen sandy land, and Hulunbuir sandy land) were analyzed to reveal the spatial distribution characteristics of chemical weathering in the Northeast sandy land. To evaluate the correlation between 13 different weathering indices and climate factors (annual average temperature and precipitation) and the main influencing factors controlling the chemical weathering degree of the Northeast sandy land . Results The results showed that when the same chemical weathering index (such as Chemical Index of Alteration, CIA) was used to reconstruct the chemical weathering characteristics of sandy land, the spatial distribution of different sandy lands was poor, the correlation between the same weathering index and climate factors was poor (r≤0.4, p>0.05). However, different weathering indices showed clear spatial distribution rules when reconstructing the distribution characteristics of chemical weathering in the Northeast sandy land, and the correlation with climate factors was better in different sandy lands (r≥0.6, p≤0.05), indicating that different weathering indices had different sensitivities to climate in different regions. Therefore, the chemical weathering measured by different indices in the Northeast sandy land is controlled by climate factors, but the correlation between chemical weathering intensity and temperature and precipitation of different sandy lands is still significantly different. In general, most of the chemical weathering areas reconstructed with different indices in the Northeast sandy land are in a low chemical weathering intensity, and the distribution range of chemical weathering high value is small, and there are clear spatial distribution characteristics. The intensity of chemical weathering in Hunshandake sandy land, eastern Horqin sandy land and Songnen sandy land is affected by precipitation factors. The temperature and precipitation changes are influenced by fluvial action, monsoon precipitation, geographical location, and vegetation coverage, which indirectly affect the occurrence of chemical weathering. The chemical weathering intensity in the west Horqin sandy land is mainly affected by temperature factors and controlled by terrain and higher average annual temperature. The chemical weathering intensity of Hulunbuir sandy land is weakly affected by temperature and precipitation factors, and non-climatic factors (such as terrain, wind erosion, physical weathering, and vegetation coverage) may weaken the influence of climate on chemical weathering. Conclusions In summary, the degree of chemical weathering in the Northeast sandy land is mainly controlled by climatic conditions (temperature and precipitation), but the sensitivity of chemical weathering represented by different chemical weathering indices to climate is significantly different in different sandy lands. Therefore, careful choices should be made when using chemical weathering indices of sediments for paleo-climate and paleo-climate reconstruction.
Burial Characteristics and Source Analysis of Organic Carbon in Mangrove Sediments, Yanpu Bay, China
2025, 43(6): 2004-2014.
doi: 10.14027/j.issn.1000-0550.2023.126
Abstract:
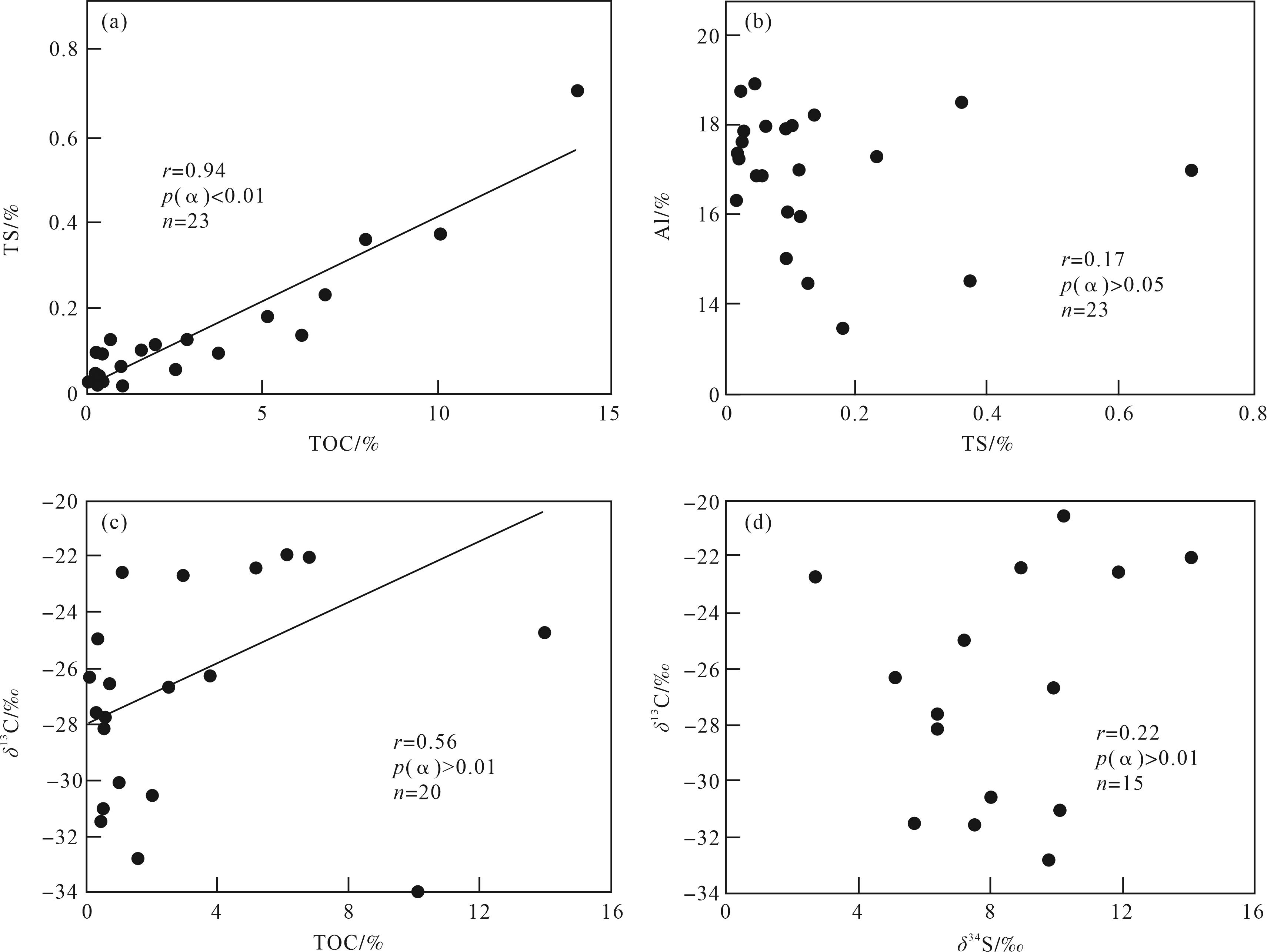
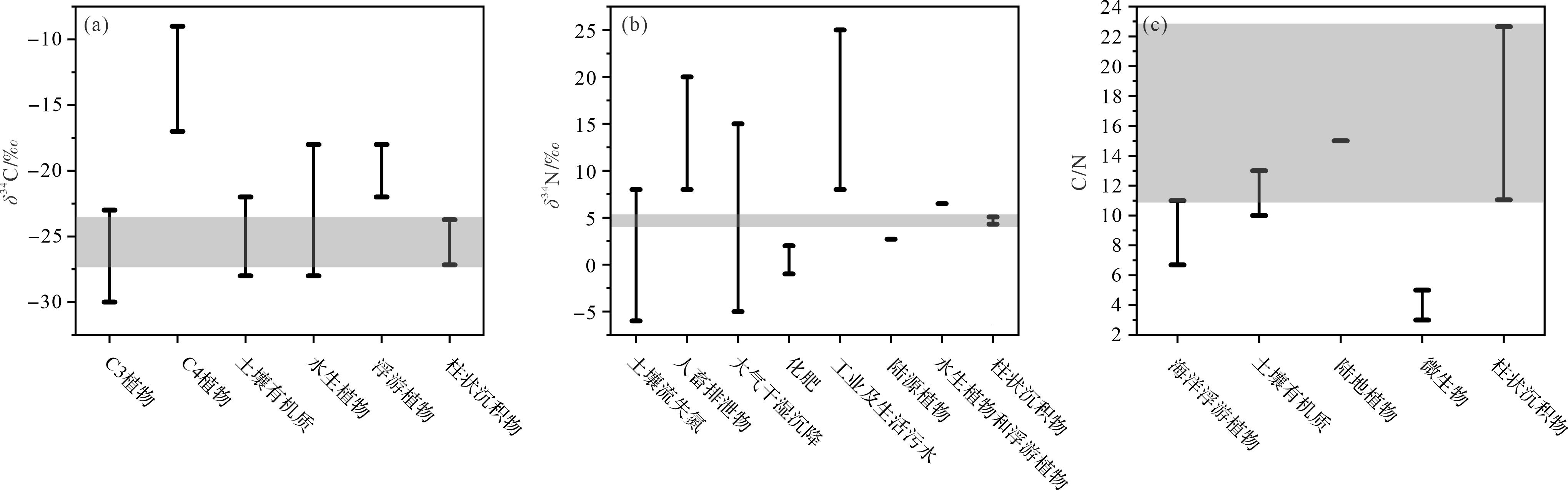
Objective Mangroves are an important coastal blue carbon ecosystem, with a strong carbon sink function that has a profound impact on the global carbon cycle. In recent years, the sources and burial characteristics of organic carbon in mangrove wetland sediments have become a hot topic at home and abroad. However, there are few studies on the sources and biogeochemical cycles of organic carbon in mangrove wetland sediments at high latitudes. Methods A high-resolution 210Pb chronostratigraphic framework was established in the Yanpu Bay mangrove research area using the 1.5 m deep column sediment collected from the mangrove as a carrier. The sediment accumulation rate (SAR), organic carbon accumulation rate (OCAR), potential sources of organic carbon, and their contribution rates were analyzed according to the characteristics of the total organic carbon content (TOC), carbon to nitrogen ratio (C/N), median particle size (D50) and stable isotopes of carbon and nitrogen (δ13C, δ15N). Results The sedimentation rate of mangrove sediments along Yanpu Bay is approximately 2.2cm/a, and a continuous sedimentary sequence of almost 70 years has been obtained. The particle size components are mainly silt and clay components. The proportion of different components of particle size and D50 remained unchanged with depth, and the activity of excess 210Pb was closely related to depth, indicating that the sedimentary environment was relatively stable. The average content of TOC is 1.63%, while the average content of TN is 0.10%. There was a significant positive correlation between TOC and TN (R2=0.238 09), and a significant negative correlation between TOC and δ13C (R2=0.472 69), indicating that the sources of organic carbon and nitrogen in sediments were consistent, and carbon sources with lower δ13C values were the main contributors to organic carbon in sediments. According to the vertical trend of TOC content, SAR and OCAR, the sedimentary record of organic carbon can be divided into three stages: the first stage is from 1955 to 1982, the second stage is from 1982 to 2014, and the third stage is from 2014 to 2021. The SAR values ranged from 52.03 to 233.61 g/(cm2·a), with an average value of 177.68 g/(cm2·a), OCAR values ranged from 112.78 to 473.97 g/(m2·a), with an average value of 286.65 g/(m2·a). TOC and OCAR showed no significant correlation (R2=0.095 78), while SAR and OCAR showed a significant positive correlation (R2=0.457 66). SAR of mangrove sediments may be an important factor that affects the burial of organic carbon in sediments. According to the distribution range of δ13C, δ15N and C/N values of mangrove columnar sediments, it is preliminarily concluded that the deposition of terrigenous organic matter is mainly contributed by terrigenous plants, C3 plants and organic matter in lost soil. Marine organic matter deposition is mainly caused by aquatic plants, marine phytoplankton and suspended organic particles brought by seawater perfusion. Among them, the contribution rate of mangrove litter was the highest (59.44%), followed by the average contribution rate of POM (25.91%), and the contribution rate of SOM and phytoplankton was relatively small. The contribution rate of POM is the largest, which is mainly affected by downstream seawater injection and the upstream runoff. The water conservancy facilities are the main limiting factor of the contribution rate of POM. Mangrove area and POM delivery are important factors that affect the burial of organic carbon burial in sediments. Conclusions Mangrove sediment organic carbon in Yanpu Bay is a mixed source of marine and land, and the sources of organic carbon and nitrogen in the sediment are consistent. Mangrove plant litter is the main contributor to organic carbon in sediments. Extreme weather, natural disasters, and water conservancy projects increase the complexity of sediment organic carbon sources. The sediment mass burial rate is the main factor affecting the organic carbon burial flux of mangrove sediments along Yanpu Bay. The sediment mass burial rate is mainly affected by extreme weather such as typhoon, and the use of upstream sluices and estuarine sluices also has a significant influence on it. Through reconstruction of the organic carbon burial records of mangrove sediments in Yanpu Bay, it is found that the burial of organic carbon in mangrove sediments is greatly affected by extreme weather and water conservancy projects, forming a phased deposition process.
Objective Mangroves are an important coastal blue carbon ecosystem, with a strong carbon sink function that has a profound impact on the global carbon cycle. In recent years, the sources and burial characteristics of organic carbon in mangrove wetland sediments have become a hot topic at home and abroad. However, there are few studies on the sources and biogeochemical cycles of organic carbon in mangrove wetland sediments at high latitudes. Methods A high-resolution 210Pb chronostratigraphic framework was established in the Yanpu Bay mangrove research area using the 1.5 m deep column sediment collected from the mangrove as a carrier. The sediment accumulation rate (SAR), organic carbon accumulation rate (OCAR), potential sources of organic carbon, and their contribution rates were analyzed according to the characteristics of the total organic carbon content (TOC), carbon to nitrogen ratio (C/N), median particle size (D50) and stable isotopes of carbon and nitrogen (δ13C, δ15N). Results The sedimentation rate of mangrove sediments along Yanpu Bay is approximately 2.2cm/a, and a continuous sedimentary sequence of almost 70 years has been obtained. The particle size components are mainly silt and clay components. The proportion of different components of particle size and D50 remained unchanged with depth, and the activity of excess 210Pb was closely related to depth, indicating that the sedimentary environment was relatively stable. The average content of TOC is 1.63%, while the average content of TN is 0.10%. There was a significant positive correlation between TOC and TN (R2=0.238 09), and a significant negative correlation between TOC and δ13C (R2=0.472 69), indicating that the sources of organic carbon and nitrogen in sediments were consistent, and carbon sources with lower δ13C values were the main contributors to organic carbon in sediments. According to the vertical trend of TOC content, SAR and OCAR, the sedimentary record of organic carbon can be divided into three stages: the first stage is from 1955 to 1982, the second stage is from 1982 to 2014, and the third stage is from 2014 to 2021. The SAR values ranged from 52.03 to 233.61 g/(cm2·a), with an average value of 177.68 g/(cm2·a), OCAR values ranged from 112.78 to 473.97 g/(m2·a), with an average value of 286.65 g/(m2·a). TOC and OCAR showed no significant correlation (R2=0.095 78), while SAR and OCAR showed a significant positive correlation (R2=0.457 66). SAR of mangrove sediments may be an important factor that affects the burial of organic carbon in sediments. According to the distribution range of δ13C, δ15N and C/N values of mangrove columnar sediments, it is preliminarily concluded that the deposition of terrigenous organic matter is mainly contributed by terrigenous plants, C3 plants and organic matter in lost soil. Marine organic matter deposition is mainly caused by aquatic plants, marine phytoplankton and suspended organic particles brought by seawater perfusion. Among them, the contribution rate of mangrove litter was the highest (59.44%), followed by the average contribution rate of POM (25.91%), and the contribution rate of SOM and phytoplankton was relatively small. The contribution rate of POM is the largest, which is mainly affected by downstream seawater injection and the upstream runoff. The water conservancy facilities are the main limiting factor of the contribution rate of POM. Mangrove area and POM delivery are important factors that affect the burial of organic carbon burial in sediments. Conclusions Mangrove sediment organic carbon in Yanpu Bay is a mixed source of marine and land, and the sources of organic carbon and nitrogen in the sediment are consistent. Mangrove plant litter is the main contributor to organic carbon in sediments. Extreme weather, natural disasters, and water conservancy projects increase the complexity of sediment organic carbon sources. The sediment mass burial rate is the main factor affecting the organic carbon burial flux of mangrove sediments along Yanpu Bay. The sediment mass burial rate is mainly affected by extreme weather such as typhoon, and the use of upstream sluices and estuarine sluices also has a significant influence on it. Through reconstruction of the organic carbon burial records of mangrove sediments in Yanpu Bay, it is found that the burial of organic carbon in mangrove sediments is greatly affected by extreme weather and water conservancy projects, forming a phased deposition process.
2025, 43(6): 2015-2027.
doi: 10.14027/j.issn.1000-0550.2024.092
Abstract:
Objective The First member of the Neogene Shawan Formation located at the eastern side of the Chepaizi uplift in the Junggar Basin displays significant carbonate cementation and strongly heterogeneous oil-bearing potential. The reasons for the development of the carbonate cements in the study area were thoroughly analyzed, and its effects on the physical properties and oil content of the reservoir are discussed. Methods The types, distribution, formation stages and genesis of these shallow-depth carbonate cements were studied by core observation and cathode luminescence (CL) and X-ray diffraction (XRD) examination of thin sections. Results At least three stages of carbonate cementation were identified. The first stage is mainly dominated by shell-like calcite and granular siderite. Polarized microscopy indicated that the edges of some mineral particles have been replaced, and at the later stage the influence of acidic fluids has resulted in poor connectivity of the cement. The CL showed the calcite as bright yellow. The carbonate cement formation was mainly influenced by paleoclimate and depositional water; in the study area there is also evidence of the presence of algae. The second and third stages are dominated by poikilitic calcite, which is most widely distributed in the second stage. Also, CL of the second stage shows the calcite cement as almost non-luminous, and with a high Mg content. The calcite cement in the third stage is seen as orange-yellow color under CL. Signs of corrosion at the boundary between the second and third stages are clearly seen under the polarizing microscope. In both the second and third stages, the effect of hydrocarbon generation and expulsion from Middle and Lower Jurassic source rocks in the Changji Depression is indicated. Organic acid fluid dissolved the early carbonate cements and acid-soluble particles, providing the main material source for the development of subsequent carbonate cements. It was found that the carbonate cement causes the poor physical properties of the Shawan Formation reservoir in the early stage. Subsequent injection of acidic fluid in the later stages increased the porosity and permeability of the reservoir to a limited extent. Continuous planar development formed thin interlayers of carbonate cement sealed by capillary pressure, restricting hydrocarbon migration and trap types in the reservoir by blocking their migration path, so that migration and accumulation of oil and gas only occurs along a few structural fractures. This has led to obvious oil heterogeneity in the sandstone within the study area. Also, where high-carbonate cement occurs over large areas, it overlies the sand body. Because it is mostly basement cementation, it may form a better cap layer, affecting the accumulation of oil and gas. Conclusions The types, distribution, formation and geological significance of the multistage carbonate cements are defined, providing support for continued exploration and development as well as the search for new exploration targets.
Objective The First member of the Neogene Shawan Formation located at the eastern side of the Chepaizi uplift in the Junggar Basin displays significant carbonate cementation and strongly heterogeneous oil-bearing potential. The reasons for the development of the carbonate cements in the study area were thoroughly analyzed, and its effects on the physical properties and oil content of the reservoir are discussed. Methods The types, distribution, formation stages and genesis of these shallow-depth carbonate cements were studied by core observation and cathode luminescence (CL) and X-ray diffraction (XRD) examination of thin sections. Results At least three stages of carbonate cementation were identified. The first stage is mainly dominated by shell-like calcite and granular siderite. Polarized microscopy indicated that the edges of some mineral particles have been replaced, and at the later stage the influence of acidic fluids has resulted in poor connectivity of the cement. The CL showed the calcite as bright yellow. The carbonate cement formation was mainly influenced by paleoclimate and depositional water; in the study area there is also evidence of the presence of algae. The second and third stages are dominated by poikilitic calcite, which is most widely distributed in the second stage. Also, CL of the second stage shows the calcite cement as almost non-luminous, and with a high Mg content. The calcite cement in the third stage is seen as orange-yellow color under CL. Signs of corrosion at the boundary between the second and third stages are clearly seen under the polarizing microscope. In both the second and third stages, the effect of hydrocarbon generation and expulsion from Middle and Lower Jurassic source rocks in the Changji Depression is indicated. Organic acid fluid dissolved the early carbonate cements and acid-soluble particles, providing the main material source for the development of subsequent carbonate cements. It was found that the carbonate cement causes the poor physical properties of the Shawan Formation reservoir in the early stage. Subsequent injection of acidic fluid in the later stages increased the porosity and permeability of the reservoir to a limited extent. Continuous planar development formed thin interlayers of carbonate cement sealed by capillary pressure, restricting hydrocarbon migration and trap types in the reservoir by blocking their migration path, so that migration and accumulation of oil and gas only occurs along a few structural fractures. This has led to obvious oil heterogeneity in the sandstone within the study area. Also, where high-carbonate cement occurs over large areas, it overlies the sand body. Because it is mostly basement cementation, it may form a better cap layer, affecting the accumulation of oil and gas. Conclusions The types, distribution, formation and geological significance of the multistage carbonate cements are defined, providing support for continued exploration and development as well as the search for new exploration targets.
2025, 43(6): 2028-2038.
doi: 10.14027/j.issn.1000-0550.2023.134
Abstract:
Objective Peperite is a transitional rock type formed by the syngenetic mixing of hot magmatic materials with wet and cold unconsolidated sediments, which has important paleoenvironmental implications. Methods Based on outcrop geological survey and microscopic petrological analysis, typical peperites are recognized in Ediacaran basic volcanic rocks in the northwestern Tarim Basin. These are mainly blocky peperites and fluidal peperites hosted by purplish-red sandy sediments. Results The peperites were mainly formed by the intrusion of magma into water-rich unconsolidated sandy sediments or by the flow of magma on the surface of water-rich unconsolidated sandy sediments. Of these, the thinner magmatic intrusion and the lower surface of the flood basalt mainly formed the fluidal peperites, and the thicker magmatic intrusion developed the blocky peperites. Conclusions The northern margin of the Tarim Craton was still in an intraplate rift setting related to the breakup of the Rodinia supercontinent during the early Ediacaran, and the development of peperite indicates that the basalt eruption in this area took place in a mainly littoral subaqueous sedimentary environment. With the end of volcanic eruption, the northern Tarim Craton transformed into a relatively stable passive continental margin basin or a cratonic basin during the late Ediacaran.
Objective Peperite is a transitional rock type formed by the syngenetic mixing of hot magmatic materials with wet and cold unconsolidated sediments, which has important paleoenvironmental implications. Methods Based on outcrop geological survey and microscopic petrological analysis, typical peperites are recognized in Ediacaran basic volcanic rocks in the northwestern Tarim Basin. These are mainly blocky peperites and fluidal peperites hosted by purplish-red sandy sediments. Results The peperites were mainly formed by the intrusion of magma into water-rich unconsolidated sandy sediments or by the flow of magma on the surface of water-rich unconsolidated sandy sediments. Of these, the thinner magmatic intrusion and the lower surface of the flood basalt mainly formed the fluidal peperites, and the thicker magmatic intrusion developed the blocky peperites. Conclusions The northern margin of the Tarim Craton was still in an intraplate rift setting related to the breakup of the Rodinia supercontinent during the early Ediacaran, and the development of peperite indicates that the basalt eruption in this area took place in a mainly littoral subaqueous sedimentary environment. With the end of volcanic eruption, the northern Tarim Craton transformed into a relatively stable passive continental margin basin or a cratonic basin during the late Ediacaran.
2025, 43(6): 2039-2052.
doi: 10.14027/j.issn.1000-0550.2024.007
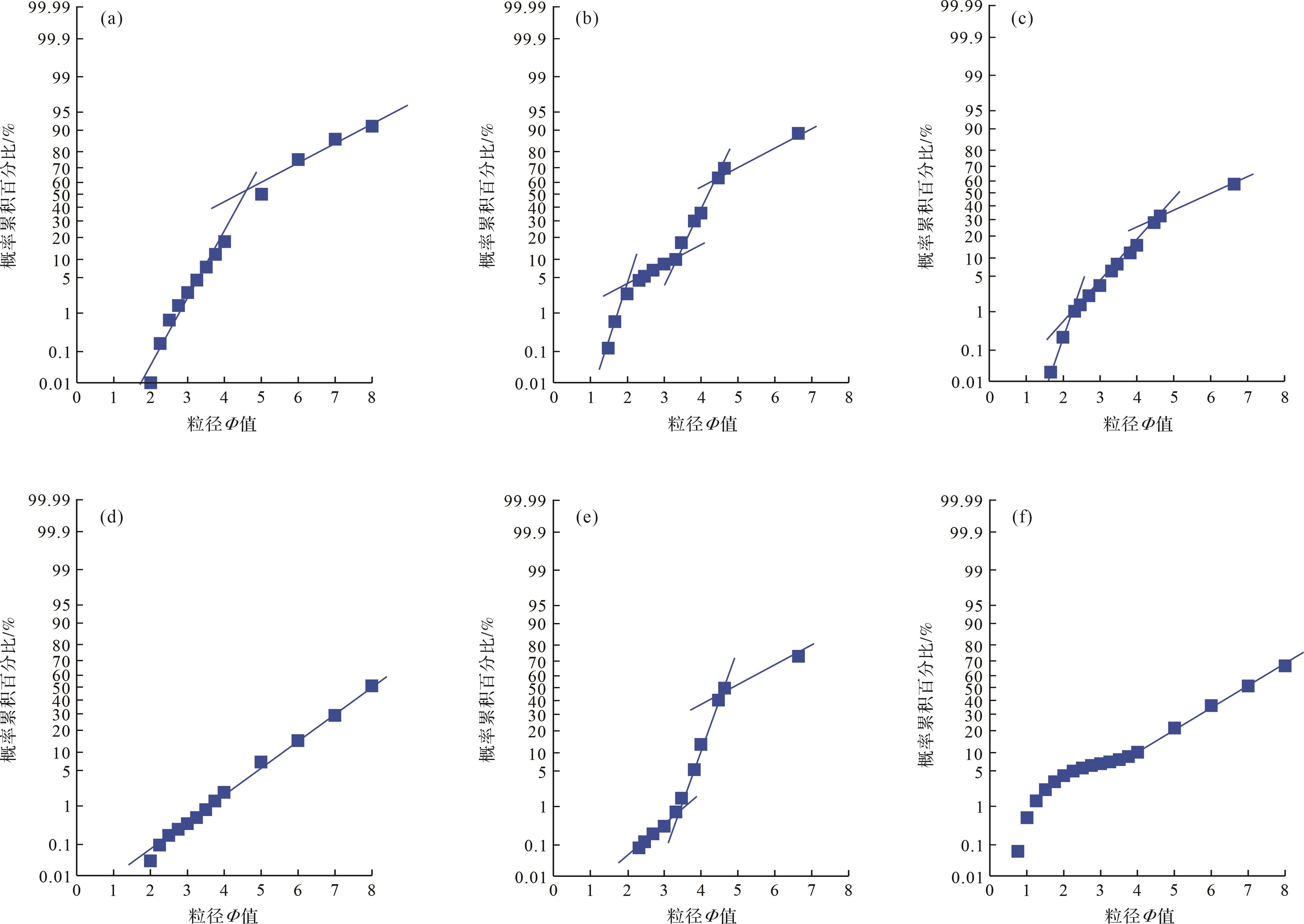
Abstract:
Objective There are many curvilinear ridges that have similar planforms as rivers in the northern and southwestern Qaidam Basin. To investigate their formation mechanism, we conducted research on the fabric of gravel layers to restore the paleo-sedimentary environment of curvilinear ridges. Methods Statistical and morphological analyses were performed on 21 sets of gravel samples from the curvilinear ridges and compared with the gravel layer sediments in the middle reaches of the Han River. Results The ratio of round and sub-round gravels in the curvilinear ridges area ranges from 71.6%-74.0%, and the ratio of discoid gravels ranges from 44.9%-54.0%. The correlation coefficients of the gravel morphological features between the distribution area of curvilinear ridges in the Qaidam Basin and those in the sampling area of the middle reaches of the Han River range from 0.685-0.703. Conclusions The gravels in the curvilinear ridges are fluvial deposits. If based on the modern hydrologic parameters of the Qaidam Basin, the paleocurrent velocity, paleo-discharge, and paleo-annual runoff rate of the river indicated by the curvilinear ridges are 0.217 m/s, 1.39 m3/s, and 0.144 0×108 m3, respectively. The paleo-discharge range of the curvilinear ridges of the Qaidam Basin reconstructed based on the channel width is 14-16 m3/s. Accordingly, the paleo-runoff depth is estimated to be approximately 2 m, and the corresponding paleocurrent velocity, paleo-discharge, and paleo-annual runoff rates are approximately 0.357 m/s, 14.28 m3/s, and 1.480 1×108 m3, respectively.
Objective There are many curvilinear ridges that have similar planforms as rivers in the northern and southwestern Qaidam Basin. To investigate their formation mechanism, we conducted research on the fabric of gravel layers to restore the paleo-sedimentary environment of curvilinear ridges. Methods Statistical and morphological analyses were performed on 21 sets of gravel samples from the curvilinear ridges and compared with the gravel layer sediments in the middle reaches of the Han River. Results The ratio of round and sub-round gravels in the curvilinear ridges area ranges from 71.6%-74.0%, and the ratio of discoid gravels ranges from 44.9%-54.0%. The correlation coefficients of the gravel morphological features between the distribution area of curvilinear ridges in the Qaidam Basin and those in the sampling area of the middle reaches of the Han River range from 0.685-0.703. Conclusions The gravels in the curvilinear ridges are fluvial deposits. If based on the modern hydrologic parameters of the Qaidam Basin, the paleocurrent velocity, paleo-discharge, and paleo-annual runoff rate of the river indicated by the curvilinear ridges are 0.217 m/s, 1.39 m3/s, and 0.144 0×108 m3, respectively. The paleo-discharge range of the curvilinear ridges of the Qaidam Basin reconstructed based on the channel width is 14-16 m3/s. Accordingly, the paleo-runoff depth is estimated to be approximately 2 m, and the corresponding paleocurrent velocity, paleo-discharge, and paleo-annual runoff rates are approximately 0.357 m/s, 14.28 m3/s, and 1.480 1×108 m3, respectively.
2025, 43(6): 2053-2067.
doi: 10.14027/j.issn.1000-0550.2023.133
Abstract:
Objective Lacustrine fine-grained sedimentary rock mixed with clay, felsic, carbonate and analcite minerals, developed in the Fourth member of the Shahejie Formation of the Leijia area in the Western Sag of the Liaohe Depression in the Bohai Bay Basin, is the main carrier of oil and gas in the region. Owing to the complex composition and rapid lateral changes of mixed fine-grained rocks, the reservoirs are highly heterogeneous, which brings certain difficulties to the prediction of high-quality reservoirs. Methods Taking wells Lei 15, Lei 14, and Lei 61 in the Leijia area of the Western Sag as an example, and based on time series analysis method, high-precision carbonate U-Pb dating, and natural gamma ray (GR) logging data, the mixed fine-grained rocks of the Fourth member of the Shahejie Formation were analyzed using cyclostratigraphy. Results (1) The optimal sedimentation rates of wells Lei 15, Lei 14, andl Lei 61 were estimated by Correlation Coefficient(COCO), the optimal sedimentation rates increased sequentially and were 10.57, 11.4, and 13.93 cm/kyr, respectively. (2) We performed spectrum analysis on the paleoclimate proxy indicator (GR) and compared it with the data spectrum analysis results of the standard eccentricity, slope, and precession (ETP) composite curve, identifying the astronomical cycle signals in mixed fine-grained rocks in wells Lei 15, Lei 14, and Lei 61. Then, we used the 405-kyr long eccentricity cycle for astronomical tuning. We set the age 43.4±1.7 Ma at 2 766.61 m in well Lei 14 as the anchor point to establish an absolute astronomical time scale. (3) 6 long eccentricity cycles of 405 kyr and ~17 short eccentricity cycles of ~129 kyr were identified in the Fourth member of the Shahejie Formation. Combining the connection between the Earth's orbital period and high-frequency sequences, a fine stratigraphic division and correlation at the eccentricity scale was established. Conclusions By conducting cyclostratigraphic research on the Fourth member of the Shahejie Formation in the Leijia area, its astronomical cycle signals can be effectively identified. This method quantitatively establishes a fine stratigraphic division and comparison framework with time attributes, which plays an important role in guiding further oil and gas exploration in the area and broadens the applicability of cyclostratigraphy in the Bohai Bay Basin.
Objective Lacustrine fine-grained sedimentary rock mixed with clay, felsic, carbonate and analcite minerals, developed in the Fourth member of the Shahejie Formation of the Leijia area in the Western Sag of the Liaohe Depression in the Bohai Bay Basin, is the main carrier of oil and gas in the region. Owing to the complex composition and rapid lateral changes of mixed fine-grained rocks, the reservoirs are highly heterogeneous, which brings certain difficulties to the prediction of high-quality reservoirs. Methods Taking wells Lei 15, Lei 14, and Lei 61 in the Leijia area of the Western Sag as an example, and based on time series analysis method, high-precision carbonate U-Pb dating, and natural gamma ray (GR) logging data, the mixed fine-grained rocks of the Fourth member of the Shahejie Formation were analyzed using cyclostratigraphy. Results (1) The optimal sedimentation rates of wells Lei 15, Lei 14, andl Lei 61 were estimated by Correlation Coefficient(COCO), the optimal sedimentation rates increased sequentially and were 10.57, 11.4, and 13.93 cm/kyr, respectively. (2) We performed spectrum analysis on the paleoclimate proxy indicator (GR) and compared it with the data spectrum analysis results of the standard eccentricity, slope, and precession (ETP) composite curve, identifying the astronomical cycle signals in mixed fine-grained rocks in wells Lei 15, Lei 14, and Lei 61. Then, we used the 405-kyr long eccentricity cycle for astronomical tuning. We set the age 43.4±1.7 Ma at 2 766.61 m in well Lei 14 as the anchor point to establish an absolute astronomical time scale. (3) 6 long eccentricity cycles of 405 kyr and ~17 short eccentricity cycles of ~129 kyr were identified in the Fourth member of the Shahejie Formation. Combining the connection between the Earth's orbital period and high-frequency sequences, a fine stratigraphic division and correlation at the eccentricity scale was established. Conclusions By conducting cyclostratigraphic research on the Fourth member of the Shahejie Formation in the Leijia area, its astronomical cycle signals can be effectively identified. This method quantitatively establishes a fine stratigraphic division and comparison framework with time attributes, which plays an important role in guiding further oil and gas exploration in the area and broadens the applicability of cyclostratigraphy in the Bohai Bay Basin.
2025, 43(6): 2068-2087.
doi: 10.14027/j.issn.1000-0550.2023.142
Abstract:
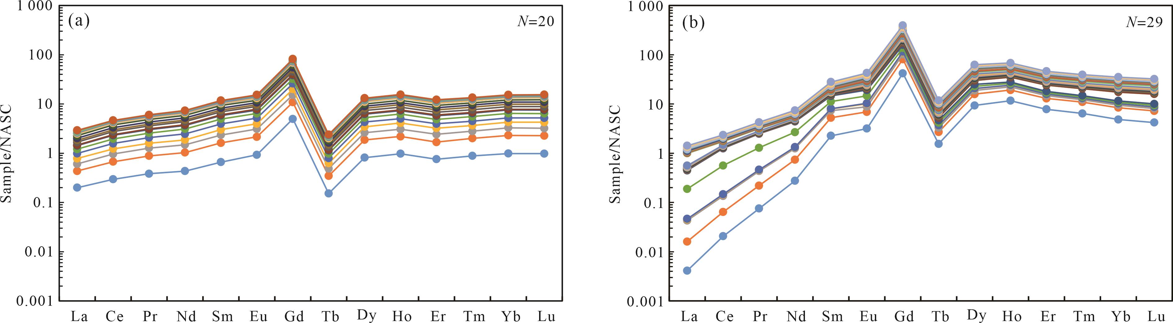
Objective Selective dissolution is common in marine carbonates, and its origin is typically related to meteoric fluids, although other possible origins lack investigation. Methods In this study, the origin of the marine selective dissolution of the Buqu Formation of the well GK-1 in the South Qiangtang Basin of China is investigated based on petrography, stable carbon and oxygen isotopes, and elemental geochemistry. Results Eight sedimentary cycles (C1 to C8 from bottom to top) were recognized from the studied Buqu Formation. Each cycle has limestone in the lower part and dolostone in the upper part. These eight cycles were divided into two types (A and B) according to different carbonate components. The limestone in the type A cycle (C1-C4) is dominated by bioclastic packstone and grainstone, while that in the type B cycle (C5-C8) is dominated by bioclastic wackestone and packstone. Upwards from the type A cycle to the type B cycle, the content of aragonite fossils (gastropods and bivalves) in the limestone decreases and the content of peloids increases. The dolomite in both type A and type B cycles is crystalline dolomite, with ooid ghosts showing selective dissolution pores. Importantly, the overall percentage of selective dissolution pores in type A cycles is significantly higher than that in type B cycles. In terms of geochemistry, the carbon and oxygen isotopes of dolostone are higher than those of the limestone in each cycle. Rare earth elements and yttrium concentrations (0.44×10-6-7.25×10-6) of dolostone and limestone are extremely low, and the Y/Ho ratios (35.63-75.55) are basically within the range of modern seawater. Dolostone exhibits a seawater-like PAAS-normalized REY pattern, showing a left-leaning style with relatively depleted LREE and enriched HREE, while the PAAS-normalized REY pattern of the limestone is relatively flat. Furthermore, Ce/Ce* values of the dolostone range from 0.55 to 0.78 (average 0.63), and the Ce/Ce* value of the limestone ranges from 0.80 to 0.88 (average 0.84). The concentrations of redox-sensitive elements (U, Mo, V) are very low, and the V/(V+Ni) ratios range from 0.01-0.39. In each cycle, Cu and Zn in the dolostone are higher in content than in the limestone, and type A cycles have higher Cu and Zn content overall than type B cycles. Conclusions Based on lithology and sedimentary components, the Buqu Formation of well GK-1 was likely deposited in shallow marine grain-shoal settings, with seawater restricted from type A cycles to type B cycles. Based on comprehensive petrological and geochemical analysis, the selective dissolution herein is interpreted to be produced by early marine diagenesis, rather than meteoric diagenesis or deep burial. During early marine diagenesis, aragonite may be selectively dissolved by undersaturated pore fluids via organic matter decomposition. In the sedimentary cycles, the differential development of selective dissolution is probably controlled by aragonite content, paleoproductivity, and the early marine diagenetic redox boundary. In a single cycle, the dolostone interval is characterized by higher paleoproductivity and more oxic pore water than the limestone interval during early diagenesis, favoring the production of undersaturated fluids and the formation of selective dissolution pores. Compared to type B cycles, type A cycles have higher aragonite content, higher paleoproductivity, and a lower early marine diagenetic redox boundary, thus resulting in the better development of selective dissolution.
Objective Selective dissolution is common in marine carbonates, and its origin is typically related to meteoric fluids, although other possible origins lack investigation. Methods In this study, the origin of the marine selective dissolution of the Buqu Formation of the well GK-1 in the South Qiangtang Basin of China is investigated based on petrography, stable carbon and oxygen isotopes, and elemental geochemistry. Results Eight sedimentary cycles (C1 to C8 from bottom to top) were recognized from the studied Buqu Formation. Each cycle has limestone in the lower part and dolostone in the upper part. These eight cycles were divided into two types (A and B) according to different carbonate components. The limestone in the type A cycle (C1-C4) is dominated by bioclastic packstone and grainstone, while that in the type B cycle (C5-C8) is dominated by bioclastic wackestone and packstone. Upwards from the type A cycle to the type B cycle, the content of aragonite fossils (gastropods and bivalves) in the limestone decreases and the content of peloids increases. The dolomite in both type A and type B cycles is crystalline dolomite, with ooid ghosts showing selective dissolution pores. Importantly, the overall percentage of selective dissolution pores in type A cycles is significantly higher than that in type B cycles. In terms of geochemistry, the carbon and oxygen isotopes of dolostone are higher than those of the limestone in each cycle. Rare earth elements and yttrium concentrations (0.44×10-6-7.25×10-6) of dolostone and limestone are extremely low, and the Y/Ho ratios (35.63-75.55) are basically within the range of modern seawater. Dolostone exhibits a seawater-like PAAS-normalized REY pattern, showing a left-leaning style with relatively depleted LREE and enriched HREE, while the PAAS-normalized REY pattern of the limestone is relatively flat. Furthermore, Ce/Ce* values of the dolostone range from 0.55 to 0.78 (average 0.63), and the Ce/Ce* value of the limestone ranges from 0.80 to 0.88 (average 0.84). The concentrations of redox-sensitive elements (U, Mo, V) are very low, and the V/(V+Ni) ratios range from 0.01-0.39. In each cycle, Cu and Zn in the dolostone are higher in content than in the limestone, and type A cycles have higher Cu and Zn content overall than type B cycles. Conclusions Based on lithology and sedimentary components, the Buqu Formation of well GK-1 was likely deposited in shallow marine grain-shoal settings, with seawater restricted from type A cycles to type B cycles. Based on comprehensive petrological and geochemical analysis, the selective dissolution herein is interpreted to be produced by early marine diagenesis, rather than meteoric diagenesis or deep burial. During early marine diagenesis, aragonite may be selectively dissolved by undersaturated pore fluids via organic matter decomposition. In the sedimentary cycles, the differential development of selective dissolution is probably controlled by aragonite content, paleoproductivity, and the early marine diagenetic redox boundary. In a single cycle, the dolostone interval is characterized by higher paleoproductivity and more oxic pore water than the limestone interval during early diagenesis, favoring the production of undersaturated fluids and the formation of selective dissolution pores. Compared to type B cycles, type A cycles have higher aragonite content, higher paleoproductivity, and a lower early marine diagenetic redox boundary, thus resulting in the better development of selective dissolution.
2025, 43(6): 2088-2101.
doi: 10.14027/j.issn.1000-0550.2023.137
Abstract:
Objective In this study, to redetermine the stratigraphic boundary of the Carboniferous-Permian Taiyuan Formation and Shanxi Formation in the Yichuan area of the Ordos Basin and to solve the problem of sedimentary age attribution of coal-bearing natural gas mudstone section near the boundary of the Taiyuan Formation-Shanxi Formation. Methods We selected the sandstone and mudstone samples of the transition layer between the Taiyuan Formation and Shanxi Formation in the typical coring well Yi 120 to conduct the U-Pb dating of detrital zircon and we used the maximum depositional age ( MDA ) estimation method, combined with previous research results on the zircon age of the Taiyuan Formation-Shanxi Formation in the North China Plate, to constrain the depositional age of the study interval. Results Experiments show that the maximum likelihood age (MLA) of the sandstone and mudstone at the top of the Taiyuan Formation is 298±2 Ma, which represents the age of the latest deposition of the strata. This interval was deposited in the Early Asselian period, which is consistent with the Asselian sedimentary age determined by conodont. The MLAs of the sandstone samples at the bottom of the Shanxi Formation is 295±1 Ma, representing the age of the earliest deposition, which was deposited in the Middle-Late Arthurian period. Conclusions Based on the above research and analysis, we conclude that the boundary between the Taiyuan Formation and Shanxi Formation in the study area should be above the sand-mudstone section at the top of the Taiyuan Formation; that is, the marine sand-mudstone layer at the top of the Taiyuan Formation in the study area should belong to the Taiyuan Formation, which provides a certain basis for the stratigraphic division of the Taiyuan Formation-Shanxi Formation in the study area.
Objective In this study, to redetermine the stratigraphic boundary of the Carboniferous-Permian Taiyuan Formation and Shanxi Formation in the Yichuan area of the Ordos Basin and to solve the problem of sedimentary age attribution of coal-bearing natural gas mudstone section near the boundary of the Taiyuan Formation-Shanxi Formation. Methods We selected the sandstone and mudstone samples of the transition layer between the Taiyuan Formation and Shanxi Formation in the typical coring well Yi 120 to conduct the U-Pb dating of detrital zircon and we used the maximum depositional age ( MDA ) estimation method, combined with previous research results on the zircon age of the Taiyuan Formation-Shanxi Formation in the North China Plate, to constrain the depositional age of the study interval. Results Experiments show that the maximum likelihood age (MLA) of the sandstone and mudstone at the top of the Taiyuan Formation is 298±2 Ma, which represents the age of the latest deposition of the strata. This interval was deposited in the Early Asselian period, which is consistent with the Asselian sedimentary age determined by conodont. The MLAs of the sandstone samples at the bottom of the Shanxi Formation is 295±1 Ma, representing the age of the earliest deposition, which was deposited in the Middle-Late Arthurian period. Conclusions Based on the above research and analysis, we conclude that the boundary between the Taiyuan Formation and Shanxi Formation in the study area should be above the sand-mudstone section at the top of the Taiyuan Formation; that is, the marine sand-mudstone layer at the top of the Taiyuan Formation in the study area should belong to the Taiyuan Formation, which provides a certain basis for the stratigraphic division of the Taiyuan Formation-Shanxi Formation in the study area.
2025, 43(6): 2102-2113.
doi: DOI:10.14027/j.issn.1000-0550.2023.114
Abstract:
Objective The study of the beach-bar sand bodies of the Quaternary Qigequan Formation in the Tainan area of the eastern Qaidam Basin deeply can provide a basis for the exploration prospects of natural gas in the study area and the prediction of favorable exploration zones and exploration targets. Methods Based on the analyses of core observations and drill-log data combined with analyses of thin-sections,grain-size standard deviation,grain-size cumulative proba-bility curves,environmental sensitive grain-size composition and other parameters.These grain-size variations and the hydrodynamic influence of the shore-shallow-lake beach-bar sand bodies of the Qigequan Formation in this area were studied in detail. Results (1) the sedimentary environment during the Qigequan period in the Tainan area was a shore and shallow lake. Beach-bar sand bodies are well developed, with fine grains, and loose, poorly cemented rock which is readily broken. The lithology is mainly fine lithic feldspar sandstone/siltstone of medium-to-poor maturity and medium-to-poor roundness sorting. (2) During the overall deposition period of the Qigequan Formation, the cumulative probability curves of the grain size of the beach-bar sand bodies in the study area occurred in six patterns, mainly a one-hop one-suspension type (64.4%), a multi-segment type (11.9%), and a two-hop one-suspension type (7.5%). (3) During the deposition period, the grain-size standard deviation in the study area revealed four patterns, mainly multimodal (50.0%), followed by bimodal (33.4%), unimodal (8.3%) and trimodal (also 8.3%). Combined with the cumulative curves of grain-size probability and paleogeomorphological analysis, four environmentally sensitive grain-size components were found. The grain sizes from fine to coarse correspond to suspension transport, wave action, coastal current action and storm wave action. Of these, the most important hydrodynamic force was wave action, and the average proportion of the environmentally sensitive grain-size component accounts for 27.9% of the total size range. The suspension effect on grain size averages 15.3%; the coastal current effect averages 11.4%; and the storm wave effect is the weakest (average 2.3%). (4) The study of the plane distributions of the percentage of environmentally sensitive grain size components indicates that the influence of suspension on the development of beach-bar sand bodies is enhanced from the core to the wing of the Tainan anticline, while the influence of wave action is exactly the converse. The influence of coastal flow on the beach-bar sand bodies is concentrated on the eastern and western wings of the anticline. Conclusions The study reveals the plane distribution range of high-quality beach-bar sand bodies in the Tainan area, and provides technical support for natural gas exploration and development in this area.
Objective The study of the beach-bar sand bodies of the Quaternary Qigequan Formation in the Tainan area of the eastern Qaidam Basin deeply can provide a basis for the exploration prospects of natural gas in the study area and the prediction of favorable exploration zones and exploration targets. Methods Based on the analyses of core observations and drill-log data combined with analyses of thin-sections,grain-size standard deviation,grain-size cumulative proba-bility curves,environmental sensitive grain-size composition and other parameters.These grain-size variations and the hydrodynamic influence of the shore-shallow-lake beach-bar sand bodies of the Qigequan Formation in this area were studied in detail. Results (1) the sedimentary environment during the Qigequan period in the Tainan area was a shore and shallow lake. Beach-bar sand bodies are well developed, with fine grains, and loose, poorly cemented rock which is readily broken. The lithology is mainly fine lithic feldspar sandstone/siltstone of medium-to-poor maturity and medium-to-poor roundness sorting. (2) During the overall deposition period of the Qigequan Formation, the cumulative probability curves of the grain size of the beach-bar sand bodies in the study area occurred in six patterns, mainly a one-hop one-suspension type (64.4%), a multi-segment type (11.9%), and a two-hop one-suspension type (7.5%). (3) During the deposition period, the grain-size standard deviation in the study area revealed four patterns, mainly multimodal (50.0%), followed by bimodal (33.4%), unimodal (8.3%) and trimodal (also 8.3%). Combined with the cumulative curves of grain-size probability and paleogeomorphological analysis, four environmentally sensitive grain-size components were found. The grain sizes from fine to coarse correspond to suspension transport, wave action, coastal current action and storm wave action. Of these, the most important hydrodynamic force was wave action, and the average proportion of the environmentally sensitive grain-size component accounts for 27.9% of the total size range. The suspension effect on grain size averages 15.3%; the coastal current effect averages 11.4%; and the storm wave effect is the weakest (average 2.3%). (4) The study of the plane distributions of the percentage of environmentally sensitive grain size components indicates that the influence of suspension on the development of beach-bar sand bodies is enhanced from the core to the wing of the Tainan anticline, while the influence of wave action is exactly the converse. The influence of coastal flow on the beach-bar sand bodies is concentrated on the eastern and western wings of the anticline. Conclusions The study reveals the plane distribution range of high-quality beach-bar sand bodies in the Tainan area, and provides technical support for natural gas exploration and development in this area.
2025, 43(6): 2114-2134.
doi: 10.14027/j.issn.1000-0550.2023.138
Abstract:
Objective The coal-bearing strata of the Carboniferous Taiyuan Formation (C3t) are widely distributed in the Dawangzhuang area of the Jiyang Depression. The high-quality reservoir control factors in the coal-bearing strata have an important impact on oil and gas exploration, but its reservoir characteristics and genetic model are still unclear. Methods Based on thin section identification, cathodoluminescence, scanning electron microscopy, fluid inclusion, C-O isotopes, in⁃situ laser ablation, and other technical methods, combined with burial history and tectonic evolution history, the characteristics and genetic model of high-quality clastic reservoirs in coal measures of the Carboniferous Taiyuan Formation in the Dawangzhuang area of Jiyang Depression were studied. Results The clastic reservoir of the Taiyuan Formation coal measure strata in the Dawangzhuang area of Jiyang Depression is dominated by lithic quartz sandstone, and the reservoir space of high-quality reservoir is dominated by secondary pores, which are primarily interstitial and feldspar dissolution pores formed by atmospheric fresh water and organic acid dissolution. The cements are two phases of quartz overgrowth and two phases of carbonate cements, though they are mainly carbonate cements. The two phases of quartz overgrowth are derived from the pressure solution of quartz particles and the source of feldspar dissolution, respectively. The siderite is a diagenetic carbonate rock formed by precipitation of pore water in the synsedimentary-early diagenetic stage, and the ankerite is related to CO2 formed by decarboxylation of organic acid. Conclusions The sedimentary facies controls the distribution of lithofacies in high-quality reservoirs. The high-quality reservoirs are controlled by the late uplift of atmospheric fresh water leaching and buried organic acid dissolution, as well as tectonic activity. The distance between the high-quality reservoirs and the docking faults should be large to avoid the further precipitation of CO2 produced by decarboxylation, which can form ankerite and destroy the reservoir properties.
Objective The coal-bearing strata of the Carboniferous Taiyuan Formation (C3t) are widely distributed in the Dawangzhuang area of the Jiyang Depression. The high-quality reservoir control factors in the coal-bearing strata have an important impact on oil and gas exploration, but its reservoir characteristics and genetic model are still unclear. Methods Based on thin section identification, cathodoluminescence, scanning electron microscopy, fluid inclusion, C-O isotopes, in⁃situ laser ablation, and other technical methods, combined with burial history and tectonic evolution history, the characteristics and genetic model of high-quality clastic reservoirs in coal measures of the Carboniferous Taiyuan Formation in the Dawangzhuang area of Jiyang Depression were studied. Results The clastic reservoir of the Taiyuan Formation coal measure strata in the Dawangzhuang area of Jiyang Depression is dominated by lithic quartz sandstone, and the reservoir space of high-quality reservoir is dominated by secondary pores, which are primarily interstitial and feldspar dissolution pores formed by atmospheric fresh water and organic acid dissolution. The cements are two phases of quartz overgrowth and two phases of carbonate cements, though they are mainly carbonate cements. The two phases of quartz overgrowth are derived from the pressure solution of quartz particles and the source of feldspar dissolution, respectively. The siderite is a diagenetic carbonate rock formed by precipitation of pore water in the synsedimentary-early diagenetic stage, and the ankerite is related to CO2 formed by decarboxylation of organic acid. Conclusions The sedimentary facies controls the distribution of lithofacies in high-quality reservoirs. The high-quality reservoirs are controlled by the late uplift of atmospheric fresh water leaching and buried organic acid dissolution, as well as tectonic activity. The distance between the high-quality reservoirs and the docking faults should be large to avoid the further precipitation of CO2 produced by decarboxylation, which can form ankerite and destroy the reservoir properties.
2025, 43(6): 2135-2150.
doi: 10.14027/j.issn.1000-0550.2024.011
Abstract:
Objective As hydrocarbon organic matter, oil or natural gas remains in source rocks or reservoirs, and the formation and evolution of bitumen interstitials are closely related to the evolution history of oil reservoirs. It is an important symbol of oil and gas accumulation and transformation processes. Previous studies have conducted many analyses on the types, genesis, and thermal evolution of bitumen components in reservoirs, but the restriction mechanism of bitumen on reservoirs is still unclear. Methods This study takes the Cretaceous Baxigai Formation reservoir in the Yingmai 467 well block in the west of Tabei as an example. With the help of casting thin sections, fluorescent thin sections, and laser Raman experiments, combined with logging parameter identification, the relationship between bitumen and oil and gas reservoir stages was discussed, and the influence of different bitumen types on reservoir quality was identified. Results (1) Based on the main components and formation stages, the bitumen interstitial materials in the study section are divided into two categories; type I is mainly intergranular filling, and most are yellow-brown and brown-black under the fluorescence microscope. The main components are oily and bituminous bitumen, and the bitumen reflectivity is more than 1 %. Type II is distributed on the edge of the pore in the form of bitumen lining. Under the fluorescence microscope, it is mostly orange and blue (white) in color, with colloidal bitumen as the main component. The bitumen reflectivity is low, ranging from 0.42%-0.79%. (2) The bitumen interstitial material in Yingmai 467 well block is mainly type I bitumen. Because the oil and gas in the source rock of the Huangshanjie Formation migrated through the unconformity at the bottom of the Shushanhe Formation, the fault was filled into Brazilian reorganized massive sand layer 2 and the Brazilian reorganized thin sand layer, and gas washing occurred. Type II bitumen was precipitated by retrograde condensation from the source rock oil and gas of the second phase of the Qiakemake Formation along the Cretaceous bottom and the Yingmai 7 fault zone into the Baxigai Formation. It was affected by the thickness of the sand body and mainly distributed in the first layer of massive sand. (3) Type I bitumen has a strong effect on reservoir reconstruction and occupies part of the pore space; type II bitumen has little effect on reservoir porosity. Conclusions It is of practical significance to find out the types of bitumen interstitials in the Cretaceous Baxigai Formation in Yingmai 467 well block in the west of Tabei, and to clarify the influence of different bitumen types on reservoir quality, which is of practical significance to deepen the geological understanding of the study area.
Objective As hydrocarbon organic matter, oil or natural gas remains in source rocks or reservoirs, and the formation and evolution of bitumen interstitials are closely related to the evolution history of oil reservoirs. It is an important symbol of oil and gas accumulation and transformation processes. Previous studies have conducted many analyses on the types, genesis, and thermal evolution of bitumen components in reservoirs, but the restriction mechanism of bitumen on reservoirs is still unclear. Methods This study takes the Cretaceous Baxigai Formation reservoir in the Yingmai 467 well block in the west of Tabei as an example. With the help of casting thin sections, fluorescent thin sections, and laser Raman experiments, combined with logging parameter identification, the relationship between bitumen and oil and gas reservoir stages was discussed, and the influence of different bitumen types on reservoir quality was identified. Results (1) Based on the main components and formation stages, the bitumen interstitial materials in the study section are divided into two categories; type I is mainly intergranular filling, and most are yellow-brown and brown-black under the fluorescence microscope. The main components are oily and bituminous bitumen, and the bitumen reflectivity is more than 1 %. Type II is distributed on the edge of the pore in the form of bitumen lining. Under the fluorescence microscope, it is mostly orange and blue (white) in color, with colloidal bitumen as the main component. The bitumen reflectivity is low, ranging from 0.42%-0.79%. (2) The bitumen interstitial material in Yingmai 467 well block is mainly type I bitumen. Because the oil and gas in the source rock of the Huangshanjie Formation migrated through the unconformity at the bottom of the Shushanhe Formation, the fault was filled into Brazilian reorganized massive sand layer 2 and the Brazilian reorganized thin sand layer, and gas washing occurred. Type II bitumen was precipitated by retrograde condensation from the source rock oil and gas of the second phase of the Qiakemake Formation along the Cretaceous bottom and the Yingmai 7 fault zone into the Baxigai Formation. It was affected by the thickness of the sand body and mainly distributed in the first layer of massive sand. (3) Type I bitumen has a strong effect on reservoir reconstruction and occupies part of the pore space; type II bitumen has little effect on reservoir porosity. Conclusions It is of practical significance to find out the types of bitumen interstitials in the Cretaceous Baxigai Formation in Yingmai 467 well block in the west of Tabei, and to clarify the influence of different bitumen types on reservoir quality, which is of practical significance to deepen the geological understanding of the study area.
2025, 43(6): 2151-2167.
doi: 10.14027/j.issn.1000-0550.2023.131
Abstract:
Objective China possesses abundant terrestrial shale oil resources with significant potential for exploration. Now, substantial breakthroughs have been made in the exploration and development of shale oil in the Shahejie Formation (Es1) in Jiyang Depression, but there are still some problems to be solved in the differences of reservoir properties among black mudstones of different lithofacies. Methods This study focused on the black mudstone of the Shahejie Formation in the Jiyang Depression, southern Bohai Bay Basin. The laminated strata types and combinations, pore types and structures were examined by X-ray diffraction (XRD), rock pyrolysis, fluorescence analysis, scanning electron microscopy (SEM) and low-temperature gas adsorption. Results Five distinctive categories of mineral types were identified: feldspar-quartz lamina, clay mineral-rich lamina, aragonite lamina, micritic calcite-dominated lamina, and organic-rich lamina. Their vertical stacking occurs in three binary layer combinations: organic-rich + micritic calcite, organic-rich + aragonite, and organic-rich + feldspar-quartz. The porosities of the organic-rich + aragonite and organic-rich + feldspar-quartz binary lamina combination mudstones are higher than the other combinations, and possess better pore structure and connectivity. In the organic-rich + aragonite combination, shale oil is present in a free state within interlayer spaces, and is the most mobile. The mobility of the free oil and adsorbed oil in the organic-rich + aragonite mudstone is poorer. The lowest-mobility oil occurs mainly as adsorbed material in the organic-rich + feldspar-quartz combination mudstone. Conclusions The different strata combinations in the mudstone structure influence the porosity, pore structure and hydrocarbon storage capacity of these black mudstones. Based on the findings of this study, shale oil reservoir storage models were developed for each combination to provide a rational foundation for the future extraction of shale oil and gas in the region.
Objective China possesses abundant terrestrial shale oil resources with significant potential for exploration. Now, substantial breakthroughs have been made in the exploration and development of shale oil in the Shahejie Formation (Es1) in Jiyang Depression, but there are still some problems to be solved in the differences of reservoir properties among black mudstones of different lithofacies. Methods This study focused on the black mudstone of the Shahejie Formation in the Jiyang Depression, southern Bohai Bay Basin. The laminated strata types and combinations, pore types and structures were examined by X-ray diffraction (XRD), rock pyrolysis, fluorescence analysis, scanning electron microscopy (SEM) and low-temperature gas adsorption. Results Five distinctive categories of mineral types were identified: feldspar-quartz lamina, clay mineral-rich lamina, aragonite lamina, micritic calcite-dominated lamina, and organic-rich lamina. Their vertical stacking occurs in three binary layer combinations: organic-rich + micritic calcite, organic-rich + aragonite, and organic-rich + feldspar-quartz. The porosities of the organic-rich + aragonite and organic-rich + feldspar-quartz binary lamina combination mudstones are higher than the other combinations, and possess better pore structure and connectivity. In the organic-rich + aragonite combination, shale oil is present in a free state within interlayer spaces, and is the most mobile. The mobility of the free oil and adsorbed oil in the organic-rich + aragonite mudstone is poorer. The lowest-mobility oil occurs mainly as adsorbed material in the organic-rich + feldspar-quartz combination mudstone. Conclusions The different strata combinations in the mudstone structure influence the porosity, pore structure and hydrocarbon storage capacity of these black mudstones. Based on the findings of this study, shale oil reservoir storage models were developed for each combination to provide a rational foundation for the future extraction of shale oil and gas in the region.
2025, 43(6): 2168-2186.
doi: 10.14027/j.issn.1000-0550.2024.017
Abstract:
Objective In the Tainan region of Qinghai oil field, within the middle to upper strata of the Sebei Group, notable beach-bar sedimentary sand bodies form key high-quality reservoirs. The genesis and spatial distribution of these beach-bar sands have long been debated, creating a bottleneck in further exploration and exploitation of the gas field. This scenario underscores an imperative need for in-depth characterization within the Tainan area's beach-bar structures. It's essential to precisely identify the various sedimentary microfacies and to construct an appropriate beach-bar depositional model, which will significantly enhance our understanding and utilization of these vital geological resources. Methods Informed by the principles of sedimentology, this methodology takes into account the varying hydrodynamic conditions prevalent during the formation of beach-bar systems, which consequentially result in differing grain sizes and permeability of the sand bodies. By centering on the median grain size as a pivotal metric, we synthesize a log response template for lithofacies, thereby establishing refined standards and dynamic responses for well-log interpretations of sedimentary microfacies. This advanced approach facilitates a more nuanced and scientifically grounded delineation of beach-bar sedimentary microfacies. Leveraging insights from modern sedimentary analogues and through a meticulous analysis of sand bodies within regions of dense well networks, the study employs horizontal well and production data to validate the rationality of microfacies classifications. Acknowledging the multifaceted genesis of beach-bars, influenced by a spectrum of environmental and geological factors, this research culminates in the proposition of a sophisticated beach-bar depositional model tailored for inland rift lake basins. This model reflects a deep integration of complex formation processes and characteristics unique to such environments. Results In the Tainan region, nestled within the middle and upper stratifications of the Sebei Group, a remarkable differentiation of beach and bar subfacies emerges. These can be intricately divided into distinct microfacies, including the bar core, bar margin, beach core, and beach margin. The bar sands, strategically overlaid on the beach sands, distinctly orient perpendicular to the prevailing northwest winds. Their morphology is characterized by either lens-like or crescent shapes, stretching an impressive length of approximately 1 250 meters and spanning a width of around 250 meters. This results in a linear length-to-width correlation, approximately 5, a ratio that harmoniously aligns with modern sedimentary environments. The beach sands exhibit a seamless, contiguous spread, predominantly extending in a perpendicular fashion relative to the source direction. This pattern becomes particularly pronounced during periods of low water levels. In drawing parallels with the beach-bar deposits found in Tengiz Lake, there is a notable correspondence in the extension direction, distribution patterns, and the critical length-width ratios of the bar sands. This comparative analysis underscores the similarity in sedimentary processes across diverse geographical locales. Furthermore, the abundant supply of source materials lays a robust foundation for the genesis and evolution of these beach-bar structures. A confluence of multifaceted factors, including the nuances of ancient tectonics, the intricacies of paleogeography, the dynamics of ancient monsoons, and the variances in past water depths, collectively weave a complex tapestry that dictates the developmental scale, the morphological characteristics, and the precise geographic localization of these beach-bar formations. Conclusions A "shallow lake, wave modification, oblique-arrangement" depositional model for beach-bar systems is proposed, offering theoretical guidance for identifying beach-bar systems in inland rift lake basins. This model encapsulates the dynamic interplay of wind-driven waves and shallow lake environments in shaping the beach-bar structures, emphasizing the importance of understanding both the physical processes and the sedimentological context in these unique settings. This approach provides a comprehensive framework for analyzing and interpreting beach-bar systems within inland rift basins, enriching the understanding of their formation and distribution.
Objective In the Tainan region of Qinghai oil field, within the middle to upper strata of the Sebei Group, notable beach-bar sedimentary sand bodies form key high-quality reservoirs. The genesis and spatial distribution of these beach-bar sands have long been debated, creating a bottleneck in further exploration and exploitation of the gas field. This scenario underscores an imperative need for in-depth characterization within the Tainan area's beach-bar structures. It's essential to precisely identify the various sedimentary microfacies and to construct an appropriate beach-bar depositional model, which will significantly enhance our understanding and utilization of these vital geological resources. Methods Informed by the principles of sedimentology, this methodology takes into account the varying hydrodynamic conditions prevalent during the formation of beach-bar systems, which consequentially result in differing grain sizes and permeability of the sand bodies. By centering on the median grain size as a pivotal metric, we synthesize a log response template for lithofacies, thereby establishing refined standards and dynamic responses for well-log interpretations of sedimentary microfacies. This advanced approach facilitates a more nuanced and scientifically grounded delineation of beach-bar sedimentary microfacies. Leveraging insights from modern sedimentary analogues and through a meticulous analysis of sand bodies within regions of dense well networks, the study employs horizontal well and production data to validate the rationality of microfacies classifications. Acknowledging the multifaceted genesis of beach-bars, influenced by a spectrum of environmental and geological factors, this research culminates in the proposition of a sophisticated beach-bar depositional model tailored for inland rift lake basins. This model reflects a deep integration of complex formation processes and characteristics unique to such environments. Results In the Tainan region, nestled within the middle and upper stratifications of the Sebei Group, a remarkable differentiation of beach and bar subfacies emerges. These can be intricately divided into distinct microfacies, including the bar core, bar margin, beach core, and beach margin. The bar sands, strategically overlaid on the beach sands, distinctly orient perpendicular to the prevailing northwest winds. Their morphology is characterized by either lens-like or crescent shapes, stretching an impressive length of approximately 1 250 meters and spanning a width of around 250 meters. This results in a linear length-to-width correlation, approximately 5, a ratio that harmoniously aligns with modern sedimentary environments. The beach sands exhibit a seamless, contiguous spread, predominantly extending in a perpendicular fashion relative to the source direction. This pattern becomes particularly pronounced during periods of low water levels. In drawing parallels with the beach-bar deposits found in Tengiz Lake, there is a notable correspondence in the extension direction, distribution patterns, and the critical length-width ratios of the bar sands. This comparative analysis underscores the similarity in sedimentary processes across diverse geographical locales. Furthermore, the abundant supply of source materials lays a robust foundation for the genesis and evolution of these beach-bar structures. A confluence of multifaceted factors, including the nuances of ancient tectonics, the intricacies of paleogeography, the dynamics of ancient monsoons, and the variances in past water depths, collectively weave a complex tapestry that dictates the developmental scale, the morphological characteristics, and the precise geographic localization of these beach-bar formations. Conclusions A "shallow lake, wave modification, oblique-arrangement" depositional model for beach-bar systems is proposed, offering theoretical guidance for identifying beach-bar systems in inland rift lake basins. This model encapsulates the dynamic interplay of wind-driven waves and shallow lake environments in shaping the beach-bar structures, emphasizing the importance of understanding both the physical processes and the sedimentological context in these unique settings. This approach provides a comprehensive framework for analyzing and interpreting beach-bar systems within inland rift basins, enriching the understanding of their formation and distribution.
2025, 43(6): 2187-2201.
doi: 10.14027/j.issn.1000-0550.2024.121
Abstract:
Objective Systematic study of sedimentary systems and models is the foundation for clarifying the development mechanism of high-quality reservoirs in clastic rocks. Methods A systematic study was conducted using drill cores, thin section and paleontological fossil identification, grain size analysis, well-logging and seismic interpretation of the sedimentary system and evolution of the Oligocene in the study area to restore the sedimentary environment of the Paleogene. Results The lithology of the lower part of the Oligocene (Yacheng Formation) is mainly composed of medium coarse sandstone and conglomerate sandstone. The sandstone is poorly sorted, with mineral composition gradually stabilizing and maturity gradually increasing upwards from bottom to top. The cumulative curve of particle size probability shows suspended and jumping characteristics, with extremely low fossil abundance. The sedimentary facies types are mainly fan delta, shore shallow lake and lakeshore plain. The lithology of the upper part of the Oligocene (Lingshui Formation) is mainly composed of fine sandstone and mudstone, with a significant increase in fossil abundance. The sedimentary facies are mainly coastal shallow marine, shallow-water continental shelves and deep-water continental shelves. The study area underwent a transition from marine terrestrial transitional sedi-mentation to shallow marine sedimentation during the Oligocene. During the depositional period of the Yacheng Formation, the basin was experiencing strong faulting and rapid compensation. The main features of the seismic phases are accumulative and chaotic reflection structures. Fault activity in the area led to the formation of a structural pattern with alternating concave and convex features, resulting in shallow water bodies. Shallow lake facies were developed at the center of the depression and fan delta facies are developed on steep slopes and deeper water bodies. Braided river delta facies are present on gentle slopes and shallower water bodies. During the sedimentation period of the Lingshui Formation, the basin was undergoing rapid faulting and under-compensation. The seismic phase is mainly characterized by parallel sub-parallel reflection structures. Fracture activity caused the deepening of sedimentary water bodies. The overall development resulted in both shallow- and deep-water shelf facies in the center of the depression, with sporadic fan delta facies around the periphery. Conclusions The Oligocene in the YA area is a strongly faulted sedimentary system in which the sedimentary facies types and distribution were significantly influenced by tectonic movement. The filling style and sedimentary evolution of the basin reflect its sedimentary pattern during that period of time.
Objective Systematic study of sedimentary systems and models is the foundation for clarifying the development mechanism of high-quality reservoirs in clastic rocks. Methods A systematic study was conducted using drill cores, thin section and paleontological fossil identification, grain size analysis, well-logging and seismic interpretation of the sedimentary system and evolution of the Oligocene in the study area to restore the sedimentary environment of the Paleogene. Results The lithology of the lower part of the Oligocene (Yacheng Formation) is mainly composed of medium coarse sandstone and conglomerate sandstone. The sandstone is poorly sorted, with mineral composition gradually stabilizing and maturity gradually increasing upwards from bottom to top. The cumulative curve of particle size probability shows suspended and jumping characteristics, with extremely low fossil abundance. The sedimentary facies types are mainly fan delta, shore shallow lake and lakeshore plain. The lithology of the upper part of the Oligocene (Lingshui Formation) is mainly composed of fine sandstone and mudstone, with a significant increase in fossil abundance. The sedimentary facies are mainly coastal shallow marine, shallow-water continental shelves and deep-water continental shelves. The study area underwent a transition from marine terrestrial transitional sedi-mentation to shallow marine sedimentation during the Oligocene. During the depositional period of the Yacheng Formation, the basin was experiencing strong faulting and rapid compensation. The main features of the seismic phases are accumulative and chaotic reflection structures. Fault activity in the area led to the formation of a structural pattern with alternating concave and convex features, resulting in shallow water bodies. Shallow lake facies were developed at the center of the depression and fan delta facies are developed on steep slopes and deeper water bodies. Braided river delta facies are present on gentle slopes and shallower water bodies. During the sedimentation period of the Lingshui Formation, the basin was undergoing rapid faulting and under-compensation. The seismic phase is mainly characterized by parallel sub-parallel reflection structures. Fracture activity caused the deepening of sedimentary water bodies. The overall development resulted in both shallow- and deep-water shelf facies in the center of the depression, with sporadic fan delta facies around the periphery. Conclusions The Oligocene in the YA area is a strongly faulted sedimentary system in which the sedimentary facies types and distribution were significantly influenced by tectonic movement. The filling style and sedimentary evolution of the basin reflect its sedimentary pattern during that period of time.
2025, 43(6): 2202-2219.
doi: 10.14027/j.issn.1000-0550.2023.132
Abstract:
Objective Member 1 of the Neogene Shawan Formation is the main target interval in the Chepaizi area of Junggar Basin. There have been different studies on its depositional types and distribution. Methods Based on the previous studies, using mud logging, core logging, and seismic data, and adopting the methods and techniques of sequence stratigraphy, seismic geomorphology, and sedimentology, the sequence stratigraphic framework of the section was established. The depositional faces were investigated, and the geomorphology was restored. Results The First member of the Shawan Formation was divided into one third-order sequence and four fourth-order sequences. The first sand group, the lower part of the second sand group, the upper part of the second sand group, and the third sand group correspond to lowstand system, transgressive system, lower highstand system, and upper highstand system tracts, respectively. In addition, they correspond to the fourth-order sequences: PSS1, PSS2, PSS3, and PSS4, respectively. There were likely two provenances of member 1 of the Neogene Shawan Formation in the Chepaizi area: Zaire Mountain to the northwest and Tianshan Mountain to the south. The sedimentary environment from the northwest provenance belonged to the shallow fan delta, and the sedimentary environment from the south provenance belonged to the braided river delta. There were two different scale shallow fan delta complex sedimentary bodies, with two complex fan deltas in northern Chepaizi uplift. The slope of the northeast Chepaizhi was steeper, the gully scale was smaller, a series of complex sedimentary bodies of steep slope type shallow water fan delta were formed, and the complex fan delta is smaller and has depositional characteristics from gravity current. The sediments are poorly sorted, bearing muddy gravel, with no clear stratigrafication except for fining upward. The slope of the southwest Chepaizi was more moderate, the valley scale was larger, and a series of complex sedimentary bodies of gentle slope type shallow water fan delta were formed. The scale of the composite fan delta is larger and has depositional characteristics from traction current. The sediments are subangular-subround, well sorted, cross-bedded, with the orientation along the long axis of the gravel. In the lowstand and transgressive system tracts, the onlap pinch-out boundaries of the fan delta sedimentary wedge were consistent with the paleogeomorphology. The complex fan delta of the lowstand system tracts was distributed below the structural slope-break zone, reaching in the south and the east of Chepaizi area where the braided river delta reached, and they interacted with each other. The lacustrine range was the smallest during this stage. In transgressive system tracts and lower highstand system tracts, the fan deltas were distributed above the slope-break zone, and the lacustrine range was the largest. In the upper highstand system tracts, the fan deltas were distributed near the structural slope-break zone. Conclusions The paleogeomorphology and the relative lacustrine level change controlled the sedimentary characteristics of the the complex fan delta of the Sha-1 member in the Chepaizi area.
Objective Member 1 of the Neogene Shawan Formation is the main target interval in the Chepaizi area of Junggar Basin. There have been different studies on its depositional types and distribution. Methods Based on the previous studies, using mud logging, core logging, and seismic data, and adopting the methods and techniques of sequence stratigraphy, seismic geomorphology, and sedimentology, the sequence stratigraphic framework of the section was established. The depositional faces were investigated, and the geomorphology was restored. Results The First member of the Shawan Formation was divided into one third-order sequence and four fourth-order sequences. The first sand group, the lower part of the second sand group, the upper part of the second sand group, and the third sand group correspond to lowstand system, transgressive system, lower highstand system, and upper highstand system tracts, respectively. In addition, they correspond to the fourth-order sequences: PSS1, PSS2, PSS3, and PSS4, respectively. There were likely two provenances of member 1 of the Neogene Shawan Formation in the Chepaizi area: Zaire Mountain to the northwest and Tianshan Mountain to the south. The sedimentary environment from the northwest provenance belonged to the shallow fan delta, and the sedimentary environment from the south provenance belonged to the braided river delta. There were two different scale shallow fan delta complex sedimentary bodies, with two complex fan deltas in northern Chepaizi uplift. The slope of the northeast Chepaizhi was steeper, the gully scale was smaller, a series of complex sedimentary bodies of steep slope type shallow water fan delta were formed, and the complex fan delta is smaller and has depositional characteristics from gravity current. The sediments are poorly sorted, bearing muddy gravel, with no clear stratigrafication except for fining upward. The slope of the southwest Chepaizi was more moderate, the valley scale was larger, and a series of complex sedimentary bodies of gentle slope type shallow water fan delta were formed. The scale of the composite fan delta is larger and has depositional characteristics from traction current. The sediments are subangular-subround, well sorted, cross-bedded, with the orientation along the long axis of the gravel. In the lowstand and transgressive system tracts, the onlap pinch-out boundaries of the fan delta sedimentary wedge were consistent with the paleogeomorphology. The complex fan delta of the lowstand system tracts was distributed below the structural slope-break zone, reaching in the south and the east of Chepaizi area where the braided river delta reached, and they interacted with each other. The lacustrine range was the smallest during this stage. In transgressive system tracts and lower highstand system tracts, the fan deltas were distributed above the slope-break zone, and the lacustrine range was the largest. In the upper highstand system tracts, the fan deltas were distributed near the structural slope-break zone. Conclusions The paleogeomorphology and the relative lacustrine level change controlled the sedimentary characteristics of the the complex fan delta of the Sha-1 member in the Chepaizi area.
2025, 43(6): 2220-2236.
doi: 10.14027/j.issn.1000-0550.2023.125
Abstract:
Objective The Santanghu Basin is an important oil and gas exploration area in northern Xinjiang. A thorough understanding of sedimentary facies, sandbody distribution, and associated provenance system within the basin is crucial for guiding the oil and gas exploration and development in the study area. Methods Using core and well logging data, the distribution characteristics and depositional evolution were studied for the Lower to Middle Jurassic Tiaohu-Malang Sags in the Santanghu Basin. Additionally, heavy minerals and detrital U-Pb dating were combined to analyze the provenance for key stratigraphic intervals. Results During the Lower to Middle Jurassic, the Tiaohu-Malang Sags were in braided-river deltaic depositional environments. During the depositional period of the Badaowan Formation, the braided-river deltaic system in the north was more developed and extended far to the south, whereas the southern system had a limited distribution. The Sangonghe Formation was dominated by braided-river delta front and prodelta-shallow lake deposits as the lacustrine basin expanded. As the depocenter migrated southward during the early Xishanyao, a large number of braided-river distributary channels and delta-front sandbodies developed in the north, intersecting with the lower braided-river delta plain and delta front of the southern system. Sediments originated from a mix of short-distance and long-distance source areas. The short-distance sources were the thrust-nappe belts in the northern and southern margins of the basin, whereas the long-distance source likely came from the Edelunjin Mountains, transported into the northeastern part of the Tiaohu Sag and the northern part of the Malang Sag through low paleotopographic areas. Conclusions Analysis of the sedimentary system and the ‘source-to-sink’ system reveals the distribution of sedimentary facies and sandbodies in the Middle Jurassic Tiaohu-Malang Sags. This provides a geological basis for oil and gas exploration in the Santanghu Basin.
Objective The Santanghu Basin is an important oil and gas exploration area in northern Xinjiang. A thorough understanding of sedimentary facies, sandbody distribution, and associated provenance system within the basin is crucial for guiding the oil and gas exploration and development in the study area. Methods Using core and well logging data, the distribution characteristics and depositional evolution were studied for the Lower to Middle Jurassic Tiaohu-Malang Sags in the Santanghu Basin. Additionally, heavy minerals and detrital U-Pb dating were combined to analyze the provenance for key stratigraphic intervals. Results During the Lower to Middle Jurassic, the Tiaohu-Malang Sags were in braided-river deltaic depositional environments. During the depositional period of the Badaowan Formation, the braided-river deltaic system in the north was more developed and extended far to the south, whereas the southern system had a limited distribution. The Sangonghe Formation was dominated by braided-river delta front and prodelta-shallow lake deposits as the lacustrine basin expanded. As the depocenter migrated southward during the early Xishanyao, a large number of braided-river distributary channels and delta-front sandbodies developed in the north, intersecting with the lower braided-river delta plain and delta front of the southern system. Sediments originated from a mix of short-distance and long-distance source areas. The short-distance sources were the thrust-nappe belts in the northern and southern margins of the basin, whereas the long-distance source likely came from the Edelunjin Mountains, transported into the northeastern part of the Tiaohu Sag and the northern part of the Malang Sag through low paleotopographic areas. Conclusions Analysis of the sedimentary system and the ‘source-to-sink’ system reveals the distribution of sedimentary facies and sandbodies in the Middle Jurassic Tiaohu-Malang Sags. This provides a geological basis for oil and gas exploration in the Santanghu Basin.
2025, 43(6): 2237-2248.
doi: 10.14027/j.issn.1000-0550.2023.116
Abstract:
Objective The Shaximiao Formation of Middle Jurassic in the central Sichuan Basin represents a key tight gas reservoir target. Currently, exploration and development of the First member of the Shaximiao Formation remain in early stages, with comprehensive research still limited, especially in systematic provenance studies controlling the distribution of high-quality sand bodies. Methods Integrating petrological analysis and elemental geo-chemistry, this study investigates the provenance of the First member of the Shaximiao Formation in central Sichuan Basin. Results (1) The sandstone of the First member of the Shaximiao Formation is mainly composed of feldspathic litharenite and lithic arkose. The igneous rock fragments are predominantly andesite, which is rarely found in the underlying strata but is common in northeastern and southeastern Sichuan Basin. (2) The dominant heavy minerals are garnet and epidote. The latter is scarce in the lower strata but is well-developed in northeastern and southeastern Sichuan Basin. (3) Discrimination diagrams of F1-F2, SiO2-TiO2, La/Th-Hf and Co/Th-La/Sc indicate that the provenance of the First member of the Shaximiao Formation is mainly felsic volcanic rocks, with minor sedimentary rocks. Conclusions The sandstone of the First member of the Shaximiao Formation in central Sichuan Basin is primarily sourced from the Dabashan Orogenic Belt in the northeastern part of the basin, with limited contribution from surrounding areas in other directions. This understanding provides strong support for delineating favorable tight gas zones and guiding exploration and development activities in the Sichuan Basin.
Objective The Shaximiao Formation of Middle Jurassic in the central Sichuan Basin represents a key tight gas reservoir target. Currently, exploration and development of the First member of the Shaximiao Formation remain in early stages, with comprehensive research still limited, especially in systematic provenance studies controlling the distribution of high-quality sand bodies. Methods Integrating petrological analysis and elemental geo-chemistry, this study investigates the provenance of the First member of the Shaximiao Formation in central Sichuan Basin. Results (1) The sandstone of the First member of the Shaximiao Formation is mainly composed of feldspathic litharenite and lithic arkose. The igneous rock fragments are predominantly andesite, which is rarely found in the underlying strata but is common in northeastern and southeastern Sichuan Basin. (2) The dominant heavy minerals are garnet and epidote. The latter is scarce in the lower strata but is well-developed in northeastern and southeastern Sichuan Basin. (3) Discrimination diagrams of F1-F2, SiO2-TiO2, La/Th-Hf and Co/Th-La/Sc indicate that the provenance of the First member of the Shaximiao Formation is mainly felsic volcanic rocks, with minor sedimentary rocks. Conclusions The sandstone of the First member of the Shaximiao Formation in central Sichuan Basin is primarily sourced from the Dabashan Orogenic Belt in the northeastern part of the basin, with limited contribution from surrounding areas in other directions. This understanding provides strong support for delineating favorable tight gas zones and guiding exploration and development activities in the Sichuan Basin.
2025, 43(6): 2249-2263.
doi: 10.14027/j.issn.1000-0550.2023.136
Abstract:
Objective The pre-salt carbonate reservoir formation process in the Ordos Basin is controversial. Calcite containing hydrocarbon and asphalt inclusions developed in the pre-salt reservoir of the Ordovician Majiagou Formation in the Wusenqi area is an important indicator of the fluid source and hydrocarbon accumulation process. Methods Through core observation, rock thin section identification, cathodoluminescence, rare earth elements, C, O, Sr isotopes, microfluorescence, and laser Raman experiments, calcite development stages were divided, the sources of vein forming fluids were analyzed, and fluid inclusions were studied to reveal the significance of fluid activities associated with hydrocarbons for hydrocarbon accumulation. Results The results show that four stages of calcite veins (C1, C2, C3, and C4) are developed in the carbonate reservoir in the Wusenqi area, and the characteristics and sources of secondary calcite veins are different in different periods. The C1 and C4 vein forming fluids are derived from the dissolved surrounding rocks, and the strontium carbon and oxygen isotopes are consistent with those of Ordovician seawater, and the rare earth partition pattern is characteristic of seawater. C2 calcite veins have extremely negative carbon isotope values, high 87Sr/86Sr values and total rare earth content, positive Eu anomaly, and fluid source from external strata. C3 calcite has a negative carbon isotope value, higher 87Sr/86Sr values, and total rare earth content, and the fluid is also derived from the external formation. In addition, asphaltic inclusions developed on calcite veins of C2 and C3 stages, indicating that oil and gas cracked after entering the reservoir. Conclusions The study area may have experienced two periods of oil and gas charging from external formation sources, and the study of calcite veins is helpful for constraining the process of oil and gas accumulation in the Ordos Basin and other basins.
Objective The pre-salt carbonate reservoir formation process in the Ordos Basin is controversial. Calcite containing hydrocarbon and asphalt inclusions developed in the pre-salt reservoir of the Ordovician Majiagou Formation in the Wusenqi area is an important indicator of the fluid source and hydrocarbon accumulation process. Methods Through core observation, rock thin section identification, cathodoluminescence, rare earth elements, C, O, Sr isotopes, microfluorescence, and laser Raman experiments, calcite development stages were divided, the sources of vein forming fluids were analyzed, and fluid inclusions were studied to reveal the significance of fluid activities associated with hydrocarbons for hydrocarbon accumulation. Results The results show that four stages of calcite veins (C1, C2, C3, and C4) are developed in the carbonate reservoir in the Wusenqi area, and the characteristics and sources of secondary calcite veins are different in different periods. The C1 and C4 vein forming fluids are derived from the dissolved surrounding rocks, and the strontium carbon and oxygen isotopes are consistent with those of Ordovician seawater, and the rare earth partition pattern is characteristic of seawater. C2 calcite veins have extremely negative carbon isotope values, high 87Sr/86Sr values and total rare earth content, positive Eu anomaly, and fluid source from external strata. C3 calcite has a negative carbon isotope value, higher 87Sr/86Sr values, and total rare earth content, and the fluid is also derived from the external formation. In addition, asphaltic inclusions developed on calcite veins of C2 and C3 stages, indicating that oil and gas cracked after entering the reservoir. Conclusions The study area may have experienced two periods of oil and gas charging from external formation sources, and the study of calcite veins is helpful for constraining the process of oil and gas accumulation in the Ordos Basin and other basins.
2025, 43(6): 2264-2281.
doi: 10.14027/j.issn.1000-0550.2023.127
Abstract:
Objective The Dianqianbei Depression is not only an important exploration and producing area of marine shale gas in southern China, but also an important large-super large Mississippi Valley (MVT) type lead-zinc metallogenic area associated with key metals in China. Asphalt or ancient reservoirs with high Pb and Zn contents are constantly found in lead-zinc deposits. It is of great significance to explore the distribution characteristics of trace elements in black shale kerogen in the study area for lead-zinc prospecting. Methods Taking the black shale outcrops in Dashiban, Liangfengao and Maoba areas in the eastern part of the Dianqianbei Depression as the research object, the kerogen in black shale was pretreated by microwave digestion method, and the trace elements in black shale and kerogen were analyzed and tested in combination with petrographic and mineralographic observation. The material contribution of mineralization and the sedimentary environment of black shale were studied by the geochemical characteristics of elements in black shale kerogen. Results The whole rock Pb, Zn, Cd, Bi, Sb, V, Cr, and Ni contents are higher than those in kerogen, and the contents of Ag, Ge, U and Th in kerogen are higher than those in whole rock. The light rare earth is relatively enriched and the heavy rare earth is relatively depleted in the whole rock and kerogen. Eu and part of Ce in the whole rock show weak negative anomalies. The kerogen shows strong Ce and Eu weak negative anomalies, and the total rare earth content is higher than that of the whole rock.Three redox indicators (U/Th, Ni/Co, and V/Cr ) in the kerogen of the Wufeng Formation-Longmaxi Formation showed that the Wufeng Formation was oxygen-poor-anoxic, and the Longmaxi Formation was oxygen-rich-oxygen-poor; the ancient water depth calculated by Co element in the study area is 6.85-54.37 m. The paleoclimate reflected by Sr/Cu is warm and humid, and the Sr/Ba value is less than 0.5, representing the sedimentary environment of brackish water. Furthermore, the Wufeng Formation has greater paleoproductivity than the Longmaxi Formation. Conclusions Wufeng Formation-Longmaxi Formation in the study area are an oxygen-rich-oxygen-poor turbulent sedimentary environment, with a warm and humid climate of brackish water shallow shelf facies sedimentary characteristics. The trace elements in the black shale kerogen can provide a basis for the evaluation of regional prospecting areas.
Objective The Dianqianbei Depression is not only an important exploration and producing area of marine shale gas in southern China, but also an important large-super large Mississippi Valley (MVT) type lead-zinc metallogenic area associated with key metals in China. Asphalt or ancient reservoirs with high Pb and Zn contents are constantly found in lead-zinc deposits. It is of great significance to explore the distribution characteristics of trace elements in black shale kerogen in the study area for lead-zinc prospecting. Methods Taking the black shale outcrops in Dashiban, Liangfengao and Maoba areas in the eastern part of the Dianqianbei Depression as the research object, the kerogen in black shale was pretreated by microwave digestion method, and the trace elements in black shale and kerogen were analyzed and tested in combination with petrographic and mineralographic observation. The material contribution of mineralization and the sedimentary environment of black shale were studied by the geochemical characteristics of elements in black shale kerogen. Results The whole rock Pb, Zn, Cd, Bi, Sb, V, Cr, and Ni contents are higher than those in kerogen, and the contents of Ag, Ge, U and Th in kerogen are higher than those in whole rock. The light rare earth is relatively enriched and the heavy rare earth is relatively depleted in the whole rock and kerogen. Eu and part of Ce in the whole rock show weak negative anomalies. The kerogen shows strong Ce and Eu weak negative anomalies, and the total rare earth content is higher than that of the whole rock.Three redox indicators (U/Th, Ni/Co, and V/Cr ) in the kerogen of the Wufeng Formation-Longmaxi Formation showed that the Wufeng Formation was oxygen-poor-anoxic, and the Longmaxi Formation was oxygen-rich-oxygen-poor; the ancient water depth calculated by Co element in the study area is 6.85-54.37 m. The paleoclimate reflected by Sr/Cu is warm and humid, and the Sr/Ba value is less than 0.5, representing the sedimentary environment of brackish water. Furthermore, the Wufeng Formation has greater paleoproductivity than the Longmaxi Formation. Conclusions Wufeng Formation-Longmaxi Formation in the study area are an oxygen-rich-oxygen-poor turbulent sedimentary environment, with a warm and humid climate of brackish water shallow shelf facies sedimentary characteristics. The trace elements in the black shale kerogen can provide a basis for the evaluation of regional prospecting areas.